• 文献检索
  • 文档翻译
  • 深度研究
  • 学术资讯
  • Suppr Zotero 插件Zotero 插件
  • 邀请有礼
  • 套餐&价格
  • 历史记录
应用&插件
Suppr Zotero 插件Zotero 插件浏览器插件Mac 客户端Windows 客户端微信小程序
定价
高级版会员购买积分包购买API积分包
服务
文献检索文档翻译深度研究API 文档MCP 服务
关于我们
关于 Suppr公司介绍联系我们用户协议隐私条款
关注我们

Suppr 超能文献

核心技术专利:CN118964589B侵权必究
粤ICP备2023148730 号-1Suppr @ 2026

文献检索

告别复杂PubMed语法,用中文像聊天一样搜索,搜遍4000万医学文献。AI智能推荐,让科研检索更轻松。

立即免费搜索

文件翻译

保留排版,准确专业,支持PDF/Word/PPT等文件格式,支持 12+语言互译。

免费翻译文档

深度研究

AI帮你快速写综述,25分钟生成高质量综述,智能提取关键信息,辅助科研写作。

立即免费体验

评估人体测量指标和血脂参数以预测墨西哥成年人的代谢综合征

Evaluation of Anthropometric Indices and Lipid Parameters to Predict Metabolic Syndrome Among Adults in Mexico.

作者信息

Datta Banik Sudip, Pacheco-Pantoja Elda, Lugo Roberto, Gómez-de-Regil Lizzette, Chim Aké Rodolfo, Méndez González Rosa María, Gutiérrez Solis Ana Ligia

机构信息

Center for Research and Advanced Studies (Cinvestav-IPN), Merida, Yucatan, Mexico.

School of Medicine, Health Sciences Division, Universidad Anáhuac Mayab, Merida, Yucatan, Mexico.

出版信息

Diabetes Metab Syndr Obes. 2021 Feb 16;14:691-701. doi: 10.2147/DMSO.S281894. eCollection 2021.

DOI:10.2147/DMSO.S281894
PMID:33623404
原文链接:https://pmc.ncbi.nlm.nih.gov/articles/PMC7896767/
Abstract

BACKGROUND

Metabolic syndrome (MetS) is a cluster of conditions that increases the risk of cardiovascular disease (CVD) and is related to genetic background, dietary habits, and lifestyle. Anthropometric indices and lipid parameters have been shown to be simple and useful tools in clinical practice for predicting MetS. The aim of the present study was to evaluate the differential magnitudes of anthropometric characteristics (waist circumference and body mass index [BMI]) and lipid parameters, namely, lipid accumulation product (LAP), cardiometabolic index (CMI), and Castelli Risk Index (CRI-I), to estimate MetS, usingappropriate cut-off values, among adults from a public hospital in Yucatan, Mexico.

METHODS

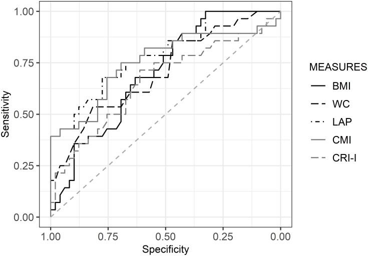
A cross-sectional study among 250 adults (77 men, 173 women) was carried out in the Regional High Speciality Hospital of the Yucatan Peninsula (HRAEPY) in Merida, Yucatan. MetS was diagnosed using standard criteria (central obesity, arterial hypertension, hyperglycemia, and dyslipidemia), and derived parameters (LAP, CMI, and CRI-I) were calculated. Binary logistic regression analysis-based receiver operating characteristics (ROC) curves were used to predict MetS.

RESULTS

Of the 250 participants, 48% had MetS. High prevalences of overweight (35.2%) and obesity (48.8%) were found in the sample. The CMI and LAP were found to be the best parameters in the prediction of MetS in men and women. The optimal cut-off values of the parameters were higher in men and decreased with advancing age.

CONCLUSION

The CMI and LAP were shown to be the most effective indicators to diagnose MetS among adults from Yucatan, Mexico.

摘要

背景

代谢综合征(MetS)是一组会增加心血管疾病(CVD)风险的病症,与遗传背景、饮食习惯和生活方式有关。人体测量指标和血脂参数已被证明是临床实践中预测MetS的简单且有用的工具。本研究的目的是评估人体测量特征(腰围和体重指数[BMI])和血脂参数,即脂质蓄积产物(LAP)、心脏代谢指数(CMI)和卡斯泰利风险指数(CRI-I)的差异幅度,以使用适当的临界值在墨西哥尤卡坦半岛一家公立医院的成年人中估计MetS。

方法

在尤卡坦州梅里达市的尤卡坦半岛地区高级专科医院(HRAEPY)对250名成年人(77名男性,173名女性)进行了横断面研究。采用标准标准(中心性肥胖、动脉高血压、高血糖和血脂异常)诊断MetS,并计算衍生参数(LAP、CMI和CRI-I)。基于二元逻辑回归分析的受试者工作特征(ROC)曲线用于预测MetS。

结果

在250名参与者中,48%患有MetS。样本中超重(35.2%)和肥胖(48.8%)的患病率较高。发现CMI和LAP是预测男性和女性MetS的最佳参数。这些参数的最佳临界值在男性中较高,且随年龄增长而降低。

结论

CMI和LAP被证明是诊断墨西哥尤卡坦半岛成年人MetS的最有效指标。

https://cdn.ncbi.nlm.nih.gov/pmc/blobs/3379/7896767/af1fa077f000/DMSO-14-691-g0005.jpg
https://cdn.ncbi.nlm.nih.gov/pmc/blobs/3379/7896767/b3c1e5382a4e/DMSO-14-691-g0001.jpg
https://cdn.ncbi.nlm.nih.gov/pmc/blobs/3379/7896767/879881fddcf1/DMSO-14-691-g0002.jpg
https://cdn.ncbi.nlm.nih.gov/pmc/blobs/3379/7896767/45c321327768/DMSO-14-691-g0003.jpg
https://cdn.ncbi.nlm.nih.gov/pmc/blobs/3379/7896767/3231795cbabe/DMSO-14-691-g0004.jpg
https://cdn.ncbi.nlm.nih.gov/pmc/blobs/3379/7896767/af1fa077f000/DMSO-14-691-g0005.jpg
https://cdn.ncbi.nlm.nih.gov/pmc/blobs/3379/7896767/b3c1e5382a4e/DMSO-14-691-g0001.jpg
https://cdn.ncbi.nlm.nih.gov/pmc/blobs/3379/7896767/879881fddcf1/DMSO-14-691-g0002.jpg
https://cdn.ncbi.nlm.nih.gov/pmc/blobs/3379/7896767/45c321327768/DMSO-14-691-g0003.jpg
https://cdn.ncbi.nlm.nih.gov/pmc/blobs/3379/7896767/3231795cbabe/DMSO-14-691-g0004.jpg
https://cdn.ncbi.nlm.nih.gov/pmc/blobs/3379/7896767/af1fa077f000/DMSO-14-691-g0005.jpg

相似文献

1
Evaluation of Anthropometric Indices and Lipid Parameters to Predict Metabolic Syndrome Among Adults in Mexico.评估人体测量指标和血脂参数以预测墨西哥成年人的代谢综合征
Diabetes Metab Syndr Obes. 2021 Feb 16;14:691-701. doi: 10.2147/DMSO.S281894. eCollection 2021.
2
Comparison of visceral, general and central obesity indices in the prediction of metabolic syndrome in maintenance hemodialysis patients.比较维持性血液透析患者内脏型肥胖、全身型肥胖和中心型肥胖指数对代谢综合征的预测价值。
Eat Weight Disord. 2020 Jun;25(3):727-734. doi: 10.1007/s40519-019-00678-9. Epub 2019 Apr 9.
3
Association between metabolic scores for visceral fat and chronic kidney disease: A cross-sectional study.内脏脂肪代谢评分与慢性肾脏病的关系:一项横断面研究。
Front Endocrinol (Lausanne). 2022 Dec 5;13:1052736. doi: 10.3389/fendo.2022.1052736. eCollection 2022.
4
Cardiometabolic syndrome among general adult population in Ghana: The role of lipid accumulation product, waist circumference-triglyceride index, and triglyceride-glucose index as surrogate indicators.加纳普通成年人群中的心脏代谢综合征:脂质蓄积产物、腰围-甘油三酯指数和甘油三酯-葡萄糖指数作为替代指标的作用。
Health Sci Rep. 2023 Jul 11;6(7):e1419. doi: 10.1002/hsr2.1419. eCollection 2023 Jul.
5
Predicting metabolic syndrome by obesity- and lipid-related indices in mid-aged and elderly Chinese: a population-based cross-sectional study.基于人群的中老年人群肥胖和血脂相关指标与代谢综合征相关性的横断面研究。
Front Endocrinol (Lausanne). 2023 Jul 28;14:1201132. doi: 10.3389/fendo.2023.1201132. eCollection 2023.
6
The lipid accumulation product is a powerful tool to diagnose metabolic dysfunction-associated fatty liver disease in the United States adults.脂滴蓄积产物是诊断美国成年人代谢功能障碍相关脂肪性肝病的有力工具。
Front Endocrinol (Lausanne). 2022 Nov 4;13:977625. doi: 10.3389/fendo.2022.977625. eCollection 2022.
7
Diagnostic performance using obesity and lipid-related indices and atherogenic index of plasma to predict metabolic syndrome in the adult sudanese population.利用肥胖和血脂相关指标及血浆致动脉粥样硬化指数预测苏丹成年人代谢综合征的诊断性能。
Niger J Clin Pract. 2023 May;26(5):617-624. doi: 10.4103/njcp.njcp_692_22.
8
Anthropometric indices and cut-off points for screening of metabolic syndrome among South African taxi drivers.南非出租车司机代谢综合征筛查的人体测量指数及切点
Front Nutr. 2022 Aug 11;9:974749. doi: 10.3389/fnut.2022.974749. eCollection 2022.
9
Comparisons of conventional and novel anthropometric obesity indices to predict metabolic syndrome among vegetarians in Malaysia.比较传统和新型人体测量肥胖指数预测马来西亚素食者代谢综合征的情况。
Sci Rep. 2020 Nov 30;10(1):20861. doi: 10.1038/s41598-020-78035-5.
10
Anthropometric Cutoffs for Increased Cardiometabolic Risk Among Lebanese Adults: A Cross-Sectional Study.黎巴嫩成年人中心血管代谢风险增加的人体测量学切点:一项横断面研究。
Metab Syndr Relat Disord. 2019 Dec;17(10):486-493. doi: 10.1089/met.2019.0033. Epub 2019 Sep 30.

引用本文的文献

1
Identification of Metabolite Biomarkers Associated With Dietary Patterns in Individuals With Mild Cognitive Impairment and Dementia From Yucatan.尤卡坦半岛轻度认知障碍和痴呆患者中与饮食模式相关的代谢物生物标志物的鉴定
Food Sci Nutr. 2025 Aug 28;13(9):e70859. doi: 10.1002/fsn3.70859. eCollection 2025 Sep.
2
Association of cardiometabolic index with all-cause and cause-specific mortality among overweight and obese adults: a cohort study.超重和肥胖成年人中心血管代谢指数与全因死亡率及特定病因死亡率的关联:一项队列研究
Front Cardiovasc Med. 2025 Jun 19;12:1610257. doi: 10.3389/fcvm.2025.1610257. eCollection 2025.
3
Association Between Cardiometabolic Index and Blood Pressure: A Cross-Sectional Analysis of the NHANES 2015-2018 Data.

本文引用的文献

1
Exposure-weighted scoring for metabolic syndrome and the risk of myocardial infarction and stroke: a nationwide population-based study.基于全国人群的研究:代谢综合征的暴露加权评分与心肌梗死和中风风险。
Cardiovasc Diabetol. 2020 Sep 29;19(1):153. doi: 10.1186/s12933-020-01129-x.
2
The prevalence of metabolic syndrome and its association with body fat distribution in middle-aged individuals from Indonesia and the Netherlands: a cross-sectional analysis of two population-based studies.印度尼西亚和荷兰中年人群代谢综合征的患病率及其与体脂分布的关联:两项基于人群研究的横断面分析
Diabetol Metab Syndr. 2020 Jan 7;12:2. doi: 10.1186/s13098-019-0503-1. eCollection 2020.
3
心脏代谢指数与血压之间的关联:对2015 - 2018年美国国家健康与营养检查调查(NHANES)数据的横断面分析
Rev Cardiovasc Med. 2025 May 20;26(5):37359. doi: 10.31083/RCM37359. eCollection 2025 May.
4
The association between the cardiac metabolic index and rapid kidney function decline and CKD in individuals with different glucose metabolism statuses: results from the China health and retirement longitudinal study.不同糖代谢状态个体中心脏代谢指数与肾功能快速下降及慢性肾脏病的关联:中国健康与养老追踪调查结果
Lipids Health Dis. 2025 Apr 23;24(1):153. doi: 10.1186/s12944-025-02572-z.
5
Cardiometabolic index predicts cardiovascular events in aging population: a machine learning-based risk prediction framework from a large-scale longitudinal study.心脏代谢指数可预测老年人群心血管事件:一项基于机器学习的大规模纵向研究风险预测框架
Front Endocrinol (Lausanne). 2025 Apr 1;16:1551779. doi: 10.3389/fendo.2025.1551779. eCollection 2025.
6
Predictive Capacity of Different Indicators of Adiposity for Metabolic Syndrome in Adults in the City of Trujillo, Peru.秘鲁特鲁希略市成年人中不同肥胖指标对代谢综合征的预测能力
Medicina (Kaunas). 2025 Feb 27;61(3):419. doi: 10.3390/medicina61030419.
7
Predictive Accuracy of Biochemical and Anthropometric Indices for Metabolic Syndrome in Children with Obesity: A Comparative Study.肥胖儿童代谢综合征生化及人体测量指标的预测准确性:一项比较研究。
Life (Basel). 2025 Jan 31;15(2):216. doi: 10.3390/life15020216.
8
Perspective from NHANES data: synergistic effects of visceral adiposity index and lipid accumulation products on diabetes risk.基于美国国家健康与营养检查调查(NHANES)数据的视角:内脏脂肪指数与脂质蓄积产物对糖尿病风险的协同作用
Sci Rep. 2025 Jan 2;15(1):258. doi: 10.1038/s41598-024-84034-7.
9
Identification of metabolic syndrome using lipid accumulation product and cardiometabolic index based on NHANES data from 2005 to 2018.基于2005年至2018年美国国家健康与营养检查调查(NHANES)数据,使用脂质蓄积产物和心脏代谢指数识别代谢综合征
Nutr Metab (Lond). 2024 Nov 20;21(1):96. doi: 10.1186/s12986-024-00864-2.
10
Age Differences in the Correlation Between the Cardiometabolic Index and Chronic Kidney Disease Risk in Adults With Hypertension.高血压成年患者中心血管代谢指数与慢性肾脏病风险相关性的年龄差异
J Clin Hypertens (Greenwich). 2024 Dec;26(12):1457-1465. doi: 10.1111/jch.14917. Epub 2024 Nov 8.
Usefulness Of Surrogate Markers Of Body Fat Distribution For Predicting Metabolic Syndrome In Middle-Aged And Older Korean Populations.
身体脂肪分布替代指标对预测韩国中老年人群代谢综合征的有用性
Diabetes Metab Syndr Obes. 2019 Nov 1;12:2251-2259. doi: 10.2147/DMSO.S217628. eCollection 2019.
4
General and Abdominal Adiposity and Mortality in Mexico City: A Prospective Study of 150 000 Adults.墨西哥城的一般和腹部肥胖与死亡率:一项对 15 万成年人的前瞻性研究。
Ann Intern Med. 2019 Sep 17;171(6):397-405. doi: 10.7326/M18-3502. Epub 2019 Aug 13.
5
Lipid accumulation product and visceral adiposity ındex: two new indices to predict metabolic syndrome in chronic kidney disease.脂堆积产物和内脏脂肪指数:预测慢性肾脏病代谢综合征的两个新指标。
Eur Rev Med Pharmacol Sci. 2019 Mar;23(5):2167-2173. doi: 10.26355/eurrev_201903_17262.
6
Anthropometric parameter that best predict metabolic syndrome in South west Nigeria.在尼日利亚西南部最能预测代谢综合征的人体测量参数。
Diabetes Metab Syndr. 2019 Jan-Feb;13(1):48-54. doi: 10.1016/j.dsx.2018.08.009. Epub 2018 Aug 10.
7
Performance of Waist-To-Height Ratio, Waist Circumference, and Body Mass Index in Discriminating Cardio-Metabolic Risk Factors in a Sample of School-Aged Mexican Children.腰高比、腰围和身体质量指数在鉴别墨西哥学龄儿童心血管代谢危险因素中的表现。
Nutrients. 2018 Dec 1;10(12):1850. doi: 10.3390/nu10121850.
8
Optimal cut-off for obesity and markers of metabolic syndrome for Ethiopian adults.埃塞俄比亚成年人肥胖和代谢综合征标志物的最佳切点。
Nutr J. 2018 Nov 22;17(1):109. doi: 10.1186/s12937-018-0416-0.
9
Value of reduced glomerular filtration rate assessment with cardiometabolic index: insights from a population-based Chinese cohort.基于中国人群的研究:用心脏代谢指数评估肾小球滤过率降低的价值。
BMC Nephrol. 2018 Oct 25;19(1):294. doi: 10.1186/s12882-018-1098-8.
10
Estimate of prevalent diabetes from cardiometabolic index in general Chinese population: a community-based study.基于社区人群的研究:中心代谢指数估算中国一般人群的糖尿病患病率。
Lipids Health Dis. 2018 Oct 12;17(1):236. doi: 10.1186/s12944-018-0886-2.