Paulsen Thoresen Petter, Lange Heiko, Crestini Claudia, Rova Ulrika, Matsakas Leonidas, Christakopoulos Paul
Biochemical Process Engineering, Division of Chemical Engineering, Department of Civil, Environmental and Natural Resources Engineering, Luleå University of Technology, SE-971-87 Luleå, Sweden.
Department of Pharmacy, University of Naples'Federico II', Via Domenico Montesano 49, 80131 Naples, Italy.
ACS Omega. 2021 Feb 1;6(6):4374-4385. doi: 10.1021/acsomega.0c05719. eCollection 2021 Feb 16.
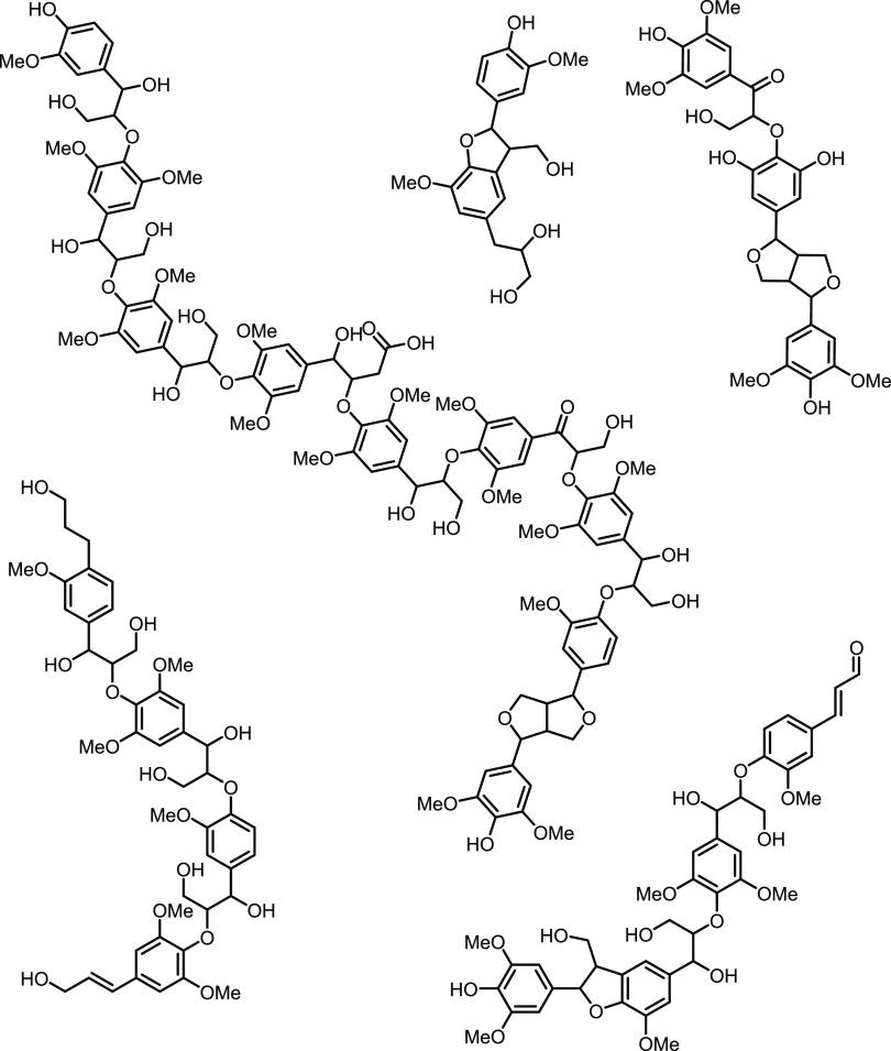
Organosolv pretreatment represents one of the most promising biomass valorization strategies for renewable carbon-based products; meanwhile, there is an overall lack of holistic approach to how extraction conditions affect the suitable end-usages. In this context, lignin extracted from silver birch ( L.) by a novel hybrid organosolv/steam-explosion treatment at varying process conditions (EtOH %; time; catalyst %) was analyzed by quantitative NMR (H-C HSQC; C NMR; P NMR), gel permeation chromatography, Fourier transform infrared (FT-IR), Pyr-gas chromatography-mass spectroscopy (GC/MS), and thermogravimetric analysis, and the physicochemical characteristics of the lignins were discussed regarding their potential usages. Characteristic lignin interunit bonding motifs, such as β--4', β-β', and β-5', were found to dominate in the extracted lignins, with their abundance varying with treatment conditions. Low-molecular-weight lignins with fairly unaltered characteristics were generated via extraction with the highest ethanol content potentially suitable for subsequent production of free phenolics. Furthermore, β-β' and β-5' structures were predominant at higher acid catalyst contents and prolonged treatment times. Higher acid catalyst content led to oxidation and ethoxylation of side-chains, with the concomitant gradual disappearance of -hydroxycinnamyl alcohol and cinnamaldehyde. This said, the increasing application of acid generated a broad set of lignin characteristics with potential applications such as antioxidants, carbon fiber, nanoparticles, and water remediation purposes.
有机溶剂预处理是可再生碳基产品最具前景的生物质增值策略之一;与此同时,对于提取条件如何影响合适的最终用途,整体上缺乏全面的方法。在此背景下,通过在不同工艺条件(乙醇百分比、时间、催化剂百分比)下采用新型混合有机溶剂/蒸汽爆破处理从白桦(L.)中提取的木质素,采用定量核磁共振(H-C HSQC、C NMR、P NMR)、凝胶渗透色谱法、傅里叶变换红外光谱(FT-IR)、热重-气相色谱-质谱联用(Pyr-GC/MS)和热重分析进行了分析,并讨论了木质素的物理化学特性及其潜在用途。发现特征性的木质素单元间键合模式,如β-O-4'、β-β'和β-5',在提取的木质素中占主导地位,其丰度随处理条件而变化。通过使用最高乙醇含量进行提取生成了具有相当未改变特性的低分子量木质素,可能适用于后续游离酚类的生产。此外,在较高酸催化剂含量和较长处理时间下,β-β'和β-5'结构占主导。较高的酸催化剂含量导致侧链氧化和乙氧基化,同时对羟基肉桂醇和肉桂醛逐渐消失。也就是说,酸的应用增加产生了一系列具有潜在应用的木质素特性,如抗氧化剂、碳纤维、纳米颗粒和水修复用途。