Hemodialysis Center, The Affiliated Wuxi People's Hospital of Nanjing Medical University, 214000 Wuxi, China.
Nursing Department, The Affiliated Wuxi People's Hospital of Nanjing Medical University, 214000 Wuxi, China.
Biomed Res Int. 2021 Feb 4;2021:6627650. doi: 10.1155/2021/6627650. eCollection 2021.
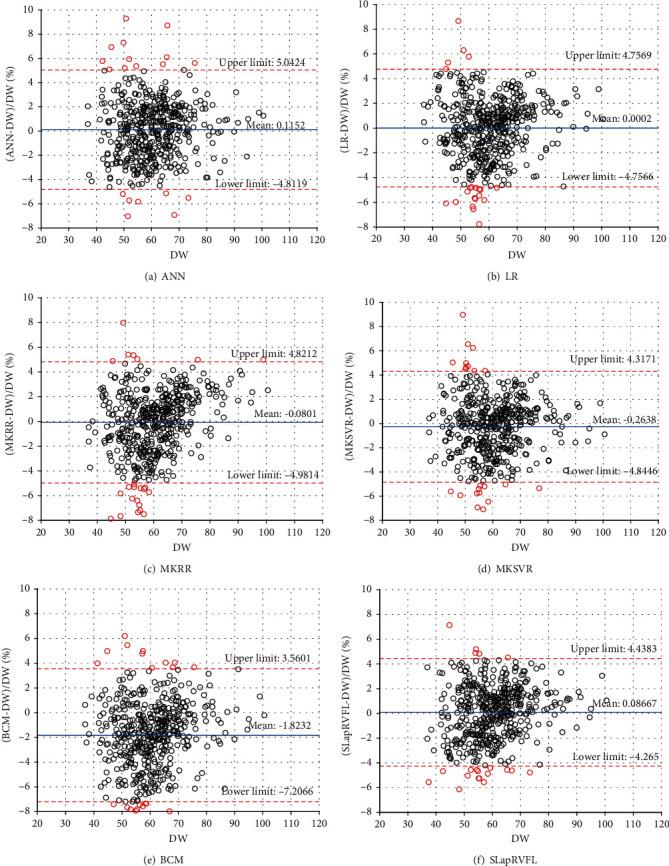
Dry weight is the normal weight of hemodialysis patients after hemodialysis. If the amount of water in diabetes is too much (during hemodialysis), the patient will experience hypotension and shock symptoms. Therefore, the correct assessment of the patient's dry weight is clinically important. These methods all rely on professional instruments and technicians, which are time-consuming and labor-intensive. To avoid this limitation, we hope to use machine learning methods on patients. This study collected demographic and anthropometric data of 476 hemodialysis patients, including age, gender, blood pressure (BP), body mass index (BMI), years of dialysis (YD), and heart rate (HR). We propose a Sparse Laplacian regularized Random Vector Functional Link (SLapRVFL) neural network model on the basis of predecessors. When we evaluate the prediction performance of the model, we fully compare SLapRVFL with the Body Composition Monitor (BCM) instrument and other models. The Root Mean Square Error (RMSE) of SLapRVFL is 1.3136, which is better than other methods. The SLapRVFL neural network model could be a viable alternative of dry weight assessment.
干体重是血液透析患者透析后的正常体重。如果糖尿病患者的水量过多(在血液透析过程中),患者会出现低血压和休克症状。因此,正确评估患者的干体重在临床上非常重要。这些方法都依赖于专业的仪器和技术人员,既费时又费力。为了避免这种局限性,我们希望在患者身上使用机器学习方法。本研究收集了 476 名血液透析患者的人口统计学和人体测量学数据,包括年龄、性别、血压(BP)、体重指数(BMI)、透析年限(YD)和心率(HR)。我们在前人的基础上提出了稀疏拉普拉斯正则化随机向量功能链接(SLapRVFL)神经网络模型。在评估模型的预测性能时,我们充分比较了 SLapRVFL 与身体成分监测仪(BCM)仪器和其他模型。SLapRVFL 的均方根误差(RMSE)为 1.3136,优于其他方法。SLapRVFL 神经网络模型可以作为干体重评估的一种可行替代方法。