• 文献检索
  • 文档翻译
  • 深度研究
  • 学术资讯
  • Suppr Zotero 插件Zotero 插件
  • 邀请有礼
  • 套餐&价格
  • 历史记录
应用&插件
Suppr Zotero 插件Zotero 插件浏览器插件Mac 客户端Windows 客户端微信小程序
定价
高级版会员购买积分包购买API积分包
服务
文献检索文档翻译深度研究API 文档MCP 服务
关于我们
关于 Suppr公司介绍联系我们用户协议隐私条款
关注我们

Suppr 超能文献

核心技术专利:CN118964589B侵权必究
粤ICP备2023148730 号-1Suppr @ 2026

文献检索

告别复杂PubMed语法,用中文像聊天一样搜索,搜遍4000万医学文献。AI智能推荐,让科研检索更轻松。

立即免费搜索

文件翻译

保留排版,准确专业,支持PDF/Word/PPT等文件格式,支持 12+语言互译。

免费翻译文档

深度研究

AI帮你快速写综述,25分钟生成高质量综述,智能提取关键信息,辅助科研写作。

立即免费体验

来自中药药用甲虫的药物发现见解

Drug Discovery Insights from Medicinal Beetles in Traditional Chinese Medicine.

作者信息

Deyrup Stephen T, Stagnitti Natalie C, Perpetua Mackenzie J, Wong-Deyrup Siu Wah

机构信息

Department of Chemistry and Biochemistry, Siena College, Loudonville, NY 12309, USA.

The RNA Institute and Department of Biological Sciences, University at Albany, State University of New York, Albany, NY 12222, USA.

出版信息

Biomol Ther (Seoul). 2021 Mar 1;29(2):105-126. doi: 10.4062/biomolther.2020.229.

DOI:10.4062/biomolther.2020.229
PMID:33632986
原文链接:https://pmc.ncbi.nlm.nih.gov/articles/PMC7921859/
Abstract

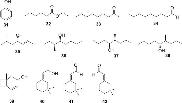
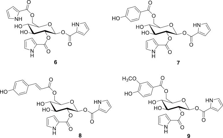
Traditional Chinese medicine (TCM) was the primary source of medical treatment for the people inhabiting East Asia for thousands of years. These ancient practices have incorporated a wide variety of materia medica including plants, animals and minerals. As modern sciences, including natural products chemistry, emerged, there became increasing efforts to explore the chemistry of this materia medica to find molecules responsible for their traditional use. Insects, including beetles have played an important role in TCM. In our survey of texts and review articles on TCM materia medica, we found 48 species of beetles from 34 genera in 14 different families that are used in TCM. This review covers the chemistry known from the beetles used in TCM, or in cases where a species used in these practices has not been chemically studied, we discuss the chemistry of closely related beetles. We also found several documented uses of beetles in Traditional Korean Medicine (TKM), and included them where appropriate. There are 129 chemical constituents of beetles discussed.

摘要

几千年来,传统中医一直是东亚居民的主要医疗来源。这些古老的疗法使用了各种各样的药材,包括植物、动物和矿物质。随着包括天然产物化学在内的现代科学的出现,人们越来越努力地探索这些药材的化学性质,以寻找具有传统用途的分子。昆虫,包括甲虫,在传统中医中发挥了重要作用。在我们对传统中医药材的文献和综述文章的调查中,我们发现14个不同科的34个属的48种甲虫被用于传统中医。这篇综述涵盖了传统中医中使用的甲虫的已知化学性质,或者在这些疗法中使用的物种尚未进行化学研究的情况下,我们讨论了亲缘关系密切的甲虫的化学性质。我们还发现了甲虫在传统韩医中的一些文献记载用途,并在适当的地方纳入了这些用途。本文讨论了甲虫的129种化学成分。

https://cdn.ncbi.nlm.nih.gov/pmc/blobs/59c9/7921859/cbbe582934a4/bt-29-2-105-f20.jpg
https://cdn.ncbi.nlm.nih.gov/pmc/blobs/59c9/7921859/8ad7f5558c4b/bt-29-2-105-f1.jpg
https://cdn.ncbi.nlm.nih.gov/pmc/blobs/59c9/7921859/2603531cde27/bt-29-2-105-f2.jpg
https://cdn.ncbi.nlm.nih.gov/pmc/blobs/59c9/7921859/1a53c223a680/bt-29-2-105-f3.jpg
https://cdn.ncbi.nlm.nih.gov/pmc/blobs/59c9/7921859/fd9496ebc770/bt-29-2-105-f4.jpg
https://cdn.ncbi.nlm.nih.gov/pmc/blobs/59c9/7921859/45c0d926416f/bt-29-2-105-f5.jpg
https://cdn.ncbi.nlm.nih.gov/pmc/blobs/59c9/7921859/0fdf69c45d6a/bt-29-2-105-f6.jpg
https://cdn.ncbi.nlm.nih.gov/pmc/blobs/59c9/7921859/e1e3739d9b87/bt-29-2-105-f7.jpg
https://cdn.ncbi.nlm.nih.gov/pmc/blobs/59c9/7921859/db598fcbefa0/bt-29-2-105-f8.jpg
https://cdn.ncbi.nlm.nih.gov/pmc/blobs/59c9/7921859/59f77012fbe5/bt-29-2-105-f9.jpg
https://cdn.ncbi.nlm.nih.gov/pmc/blobs/59c9/7921859/35e4e764474a/bt-29-2-105-f10.jpg
https://cdn.ncbi.nlm.nih.gov/pmc/blobs/59c9/7921859/d934a360162f/bt-29-2-105-f11.jpg
https://cdn.ncbi.nlm.nih.gov/pmc/blobs/59c9/7921859/8f8248fed02b/bt-29-2-105-f12.jpg
https://cdn.ncbi.nlm.nih.gov/pmc/blobs/59c9/7921859/dee2a3ccefca/bt-29-2-105-f13.jpg
https://cdn.ncbi.nlm.nih.gov/pmc/blobs/59c9/7921859/bafe6ca4b472/bt-29-2-105-f14.jpg
https://cdn.ncbi.nlm.nih.gov/pmc/blobs/59c9/7921859/378807349502/bt-29-2-105-f15.jpg
https://cdn.ncbi.nlm.nih.gov/pmc/blobs/59c9/7921859/440a827dc475/bt-29-2-105-f16.jpg
https://cdn.ncbi.nlm.nih.gov/pmc/blobs/59c9/7921859/5f6e70837226/bt-29-2-105-f17.jpg
https://cdn.ncbi.nlm.nih.gov/pmc/blobs/59c9/7921859/28068575b794/bt-29-2-105-f18.jpg
https://cdn.ncbi.nlm.nih.gov/pmc/blobs/59c9/7921859/b75ca43264f9/bt-29-2-105-f19.jpg
https://cdn.ncbi.nlm.nih.gov/pmc/blobs/59c9/7921859/cbbe582934a4/bt-29-2-105-f20.jpg
https://cdn.ncbi.nlm.nih.gov/pmc/blobs/59c9/7921859/8ad7f5558c4b/bt-29-2-105-f1.jpg
https://cdn.ncbi.nlm.nih.gov/pmc/blobs/59c9/7921859/2603531cde27/bt-29-2-105-f2.jpg
https://cdn.ncbi.nlm.nih.gov/pmc/blobs/59c9/7921859/1a53c223a680/bt-29-2-105-f3.jpg
https://cdn.ncbi.nlm.nih.gov/pmc/blobs/59c9/7921859/fd9496ebc770/bt-29-2-105-f4.jpg
https://cdn.ncbi.nlm.nih.gov/pmc/blobs/59c9/7921859/45c0d926416f/bt-29-2-105-f5.jpg
https://cdn.ncbi.nlm.nih.gov/pmc/blobs/59c9/7921859/0fdf69c45d6a/bt-29-2-105-f6.jpg
https://cdn.ncbi.nlm.nih.gov/pmc/blobs/59c9/7921859/e1e3739d9b87/bt-29-2-105-f7.jpg
https://cdn.ncbi.nlm.nih.gov/pmc/blobs/59c9/7921859/db598fcbefa0/bt-29-2-105-f8.jpg
https://cdn.ncbi.nlm.nih.gov/pmc/blobs/59c9/7921859/59f77012fbe5/bt-29-2-105-f9.jpg
https://cdn.ncbi.nlm.nih.gov/pmc/blobs/59c9/7921859/35e4e764474a/bt-29-2-105-f10.jpg
https://cdn.ncbi.nlm.nih.gov/pmc/blobs/59c9/7921859/d934a360162f/bt-29-2-105-f11.jpg
https://cdn.ncbi.nlm.nih.gov/pmc/blobs/59c9/7921859/8f8248fed02b/bt-29-2-105-f12.jpg
https://cdn.ncbi.nlm.nih.gov/pmc/blobs/59c9/7921859/dee2a3ccefca/bt-29-2-105-f13.jpg
https://cdn.ncbi.nlm.nih.gov/pmc/blobs/59c9/7921859/bafe6ca4b472/bt-29-2-105-f14.jpg
https://cdn.ncbi.nlm.nih.gov/pmc/blobs/59c9/7921859/378807349502/bt-29-2-105-f15.jpg
https://cdn.ncbi.nlm.nih.gov/pmc/blobs/59c9/7921859/440a827dc475/bt-29-2-105-f16.jpg
https://cdn.ncbi.nlm.nih.gov/pmc/blobs/59c9/7921859/5f6e70837226/bt-29-2-105-f17.jpg
https://cdn.ncbi.nlm.nih.gov/pmc/blobs/59c9/7921859/28068575b794/bt-29-2-105-f18.jpg
https://cdn.ncbi.nlm.nih.gov/pmc/blobs/59c9/7921859/b75ca43264f9/bt-29-2-105-f19.jpg
https://cdn.ncbi.nlm.nih.gov/pmc/blobs/59c9/7921859/cbbe582934a4/bt-29-2-105-f20.jpg

相似文献

1
Drug Discovery Insights from Medicinal Beetles in Traditional Chinese Medicine.来自中药药用甲虫的药物发现见解
Biomol Ther (Seoul). 2021 Mar 1;29(2):105-126. doi: 10.4062/biomolther.2020.229.
2
An investigation of the pharmacological applications used for the Ancient Egyptian systemic model 'ra-ib' compared with modern Traditional Chinese Medicine.古埃及全身模型“ra-ib”的药理学应用与现代中医的对比研究。
J Ethnopharmacol. 2021 Jan 30;265:113115. doi: 10.1016/j.jep.2020.113115. Epub 2020 Sep 3.
3
[Geographical views in traditional Chinese medicine].[中医中的地理观]
Zhongguo Zhong Yao Za Zhi. 2022 Dec;47(23):6287-6296. doi: 10.19540/j.cnki.cjcmm.20220624.101.
4
[Species of Chinese materia medica resources based on the fourth national survey of Chinese materia medica resources].基于第四次全国中药资源普查的中药资源种类
Zhongguo Zhong Yao Za Zhi. 2024 Jul;49(13):3409-3413. doi: 10.19540/j.cnki.cjcmm.20240516.101.
5
[Essential procedure and key methods for survey of traditional knowledge related to Chinese materia medica resources].[中药资源传统知识调查的基本程序与关键方法]
Zhongguo Zhong Yao Za Zhi. 2014 Dec;39(24):4728-31.
6
Chinese vegetative materia medica in a venereological treatise by Jean Astruc from 1740.1740 年,让·阿斯特吕克(Jean Astruc)在一本性病学论著中提到了中国的植物性生药。
J Ethnopharmacol. 2016 Jul 1;187:293-301. doi: 10.1016/j.jep.2016.04.055. Epub 2016 Apr 29.
7
[Inheritance on and innovation of traditional Chinese medicine (TCM) flavor theory and TCM flavor standardization principle flavor theory in Compendium of Materia Medica].[《本草纲目》中中药五味理论的传承与创新及中药五味标准化原则]
Zhongguo Zhong Yao Za Zhi. 2015 Dec;40(24):4928-31.
8
[Study on function evaluation of health food containing Chinese materia medica based on data mining].基于数据挖掘的含中药保健食品功能评价研究
Zhongguo Zhong Yao Za Zhi. 2019 Mar;44(5):870-874. doi: 10.19540/j.cnki.cjcmm.20190115.005.
9
Chinese Marine Materia Medica Resources: Status and Potential.中国海洋药物资源:现状与潜力
Mar Drugs. 2016 Mar 3;14(3):46. doi: 10.3390/md14030046.
10
SuperTCM: A biocultural database combining biological pathways and historical linguistic data of Chinese Materia Medica for drug development.超级中医药:一个结合中药生物途径与历史语言数据以用于药物研发的生物文化数据库。
Biomed Pharmacother. 2021 Dec;144:112315. doi: 10.1016/j.biopha.2021.112315. Epub 2021 Oct 15.

引用本文的文献

1
Innovative Application of Medicinal Insects: Employing UHPLC-MS, Bioinformatics, In Silico Studies and Experiments to Elucidate the Multi-Target Hemostatic Mechanism of (Coleoptera: Cerambycidae) Charcoal-Based Medicine.药用昆虫的创新应用:采用超高效液相色谱-质谱联用、生物信息学、计算机模拟研究和实验来阐明(鞘翅目:天牛科)基于木炭的药物的多靶点止血机制。
Pharmaceuticals (Basel). 2025 Mar 27;18(4):479. doi: 10.3390/ph18040479.
2
Gut microbial changes in a specialist blister beetle larvae and their nutritional metabolic characteristics.一种专业斑蝥幼虫的肠道微生物变化及其营养代谢特征。
Ecol Evol. 2024 Aug 22;14(8):e70184. doi: 10.1002/ece3.70184. eCollection 2024 Aug.
3

本文引用的文献

1
Complete mitochondrial genome of the bamboo snout beetle, (Coleoptera: Curculionidae).竹象甲(鞘翅目:象甲科)的完整线粒体基因组
Mitochondrial DNA B Resour. 2018 Jan 5;3(1):88-89. doi: 10.1080/23802359.2017.1422411.
2
Rapid profiling of cantharidin analogs in Mylabris phalerata Pallas by ultra-performance liquid chromatography-quadrupole time-of-flight-tandem mass spectrometry.采用超高效液相色谱-四极杆飞行时间串联质谱法快速分析斑蝥中斑蝥素类似物。
Biomed Chromatogr. 2020 Jun;34(6):e4801. doi: 10.1002/bmc.4801. Epub 2020 Apr 3.
3
Pheromone Composition and Chemical Ecology of Six Species of Cerambycid Beetles in the Subfamily Lamiinae.
decoction alleviates chronic diarrhea of spleen-yang deficiency in mice by altering host metabolome and intestinal microbiota composition.
汤剂通过改变宿主代谢组和肠道微生物群组成来缓解小鼠脾阳虚型慢性腹泻。
Am J Transl Res. 2024 Jun 15;16(6):2248-2262. doi: 10.62347/IHNX2675. eCollection 2024.
4
Chondroprotective effects of larvae as an edible insect on osteoarthritis in mice.幼虫作为一种可食用昆虫对小鼠骨关节炎的软骨保护作用。
Food Sci Nutr. 2023 Oct 6;11(12):7887-7899. doi: 10.1002/fsn3.3706. eCollection 2023 Dec.
5
Atomic structure of a nudivirus occlusion body protein determined from a 70-year-old crystal sample.一种尼多病毒包含体蛋白的原子结构由一个 70 年历史的晶体样本测定。
Nat Commun. 2023 Jul 13;14(1):4160. doi: 10.1038/s41467-023-39819-1.
6
16S rRNA Gene Sequencing Reveals Specific Gut Microbes Common to Medicinal Insects.16S rRNA基因测序揭示药用昆虫共有的特定肠道微生物。
Front Microbiol. 2022 May 16;13:892767. doi: 10.3389/fmicb.2022.892767. eCollection 2022.
7
Antiparasitic Effects of Potentially Toxic Beetles (Tenebrionidae and Meloidae) from Steppe Zones.草原带中具有潜在毒性的甲虫(拟步甲科和芫菁科)的驱虫作用。
Toxins (Basel). 2021 Jul 14;13(7):489. doi: 10.3390/toxins13070489.
信息素组成与 6 种沟胫天牛亚科沟胫天牛属昆虫的化学生态学
J Chem Ecol. 2020 Jan;46(1):30-39. doi: 10.1007/s10886-019-01128-7. Epub 2019 Dec 6.
4
Pre-clinical investigations of β-carboline alkaloids as antidepressant agents: A systematic review.β-咔啉生物碱作为抗抑郁药的临床前研究:系统评价。
Fitoterapia. 2019 Sep;137:104196. doi: 10.1016/j.fitote.2019.104196. Epub 2019 Jun 6.
5
Molecular and functional characterization of odorant-binding protein genes in Holotrichia oblita Faldermann.直翅目昆虫丽蝇蛹集金小蜂气味结合蛋白基因的分子特征与功能研究
Int J Biol Macromol. 2019 Sep 1;136:359-367. doi: 10.1016/j.ijbiomac.2019.06.013. Epub 2019 Jun 5.
6
Acquirement of CRY8DB Transgenic Tall Fescue (Festuca arundinacea Schreb.) by Agrobacterium tumefaciens to Develop Resistance Against Pentodon idiota Herbest.利用农杆菌介导法获得转 CRY8DB 基因高羊茅(Festuca arundinacea Schreb.),以提高对 Pentodon idiota Herbest 的抗性。
Mol Biotechnol. 2019 Jul;61(7):528-540. doi: 10.1007/s12033-019-00183-5.
7
(S)-Sulcatol Is a Pheromone Component for Two Species of Cerambycid Beetles in the Subfamily Lamiinae.(S)-沟角臀萤叶甲醇是沟胫天牛亚科两种天牛的一种信息素成分。
J Chem Ecol. 2019 Jun;45(5-6):447-454. doi: 10.1007/s10886-019-01071-7. Epub 2019 Apr 16.
8
De novo genome assembly of the white-spotted flower chafer (Protaetia brevitarsis).白星花金龟(Protaetia brevitarsis)从头基因组组装。
Gigascience. 2019 Apr 1;8(4). doi: 10.1093/gigascience/giz019.
9
The Ethanol Extract of Larvae, Containing Fatty acids and Amino acids, Exerts Anti-Asthmatic Effects through Inhibition of the GATA-3/Th2 Signaling Pathway in Asthmatic Mice.幼虫的乙醇提取物,含有脂肪酸和氨基酸,通过抑制哮喘小鼠中的 GATA-3/Th2 信号通路发挥抗哮喘作用。
Molecules. 2019 Feb 28;24(5):852. doi: 10.3390/molecules24050852.
10
Microstructure and mechanical properties of rostrum in (Coleoptera: Curculionidae).(鞘翅目:象甲科)喙的微观结构与力学性能
Anim Cells Syst (Seoul). 2017 May 31;21(3):199-206. doi: 10.1080/19768354.2017.1330764. eCollection 2017.