Suppr超能文献

用于早期预测卒中相关并发症的血液生物标志物组合。

Blood Biomarker Panels for the Early Prediction of Stroke-Associated Complications.

机构信息

Neurovascular Research Laboratory Vall d'Hebron Institute of Research (VHIR)Universitat Autònoma de Barcelona Barcelona Spain.

Stroke Unit Hospital Universitari Germans Trias i Pujol Barcelona Spain.

出版信息

J Am Heart Assoc. 2021 Feb;10(5):e018946. doi: 10.1161/JAHA.120.018946. Epub 2021 Feb 26.

Abstract

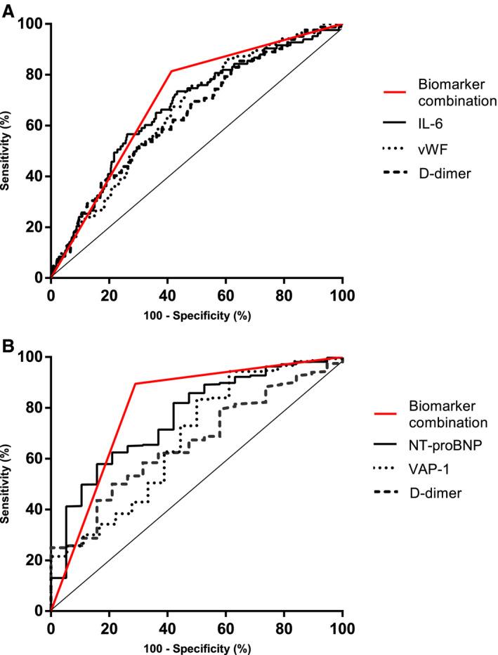
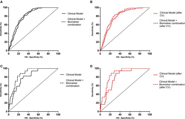
Background Acute decompensated heart failure (ADHF) and respiratory tract infections (RTIs) are potentially life-threatening complications in patients experiencing stroke during hospitalization. We aimed to test whether blood biomarker panels might predict these complications early after admission. Methods and Results Nine hundred thirty-eight patients experiencing ischemic stroke were prospectively recruited in the Stroke-Chip study. Post-stroke complications during hospitalization were retrospectively evaluated. Blood samples were drawn within 6 hours after stroke onset, and 14 biomarkers were analyzed by immunoassays. Biomarker values were normalized using log-transformation and score. PanelomiX algorithm was used to select panels with the best accuracy for predicting ADHF and RTI. Logistic regression models were constructed with the clinical variables and the biomarker panels. The additional predictive value of the panels compared with the clinical model alone was evaluated by receiver operating characteristic curves. An internal validation through a 10-fold cross-validation with 3 repeats was performed. ADHF and RTI occurred in 19 (2%) and 86 (9.1%) cases, respectively. Three-biomarker panels were developed as predictors: vascular adhesion protein-1 >5.67, NT-proBNP (N-terminal pro-B-type natriuretic peptide) >4.98 and d-dimer >5.38 (sensitivity, 89.5%; specificity, 71.7%) for ADHF; and interleukin-6 >3.97, von Willebrand factor >3.67, and d-dimer >4.58 (sensitivity, 82.6%; specificity, 59.8%) for RTI. Both panels independently predicted stroke complications (panel for ADHF: odds ratio [OR] [95% CI], 10.1 [3-52.2]; panel for RTI: OR, 3.73 [1.95-7.14]) after adjustment by clinical confounders. The addition of the panel to clinical predictors significantly improved areas under the curve of the receiver operating characteristic curves in both cases. Conclusions Blood biomarkers could be useful for the early prediction of ADHF and RTI. Future studies should assess the usefulness of these panels in front of patients experiencing stroke with respiratory symptoms such as dyspnea.

摘要

背景

急性失代偿性心力衰竭(ADHF)和呼吸道感染(RTI)是住院期间发生中风患者潜在的危及生命的并发症。我们旨在测试血液生物标志物是否可以在入院后早期预测这些并发症。

方法和结果

前瞻性纳入 938 例缺血性中风患者参加Stroke-Chip 研究。回顾性评估住院期间的中风后并发症。在中风发作后 6 小时内采集血液样本,并通过免疫测定分析 14 种生物标志物。使用对数转换和 评分对生物标志物值进行归一化。PanelomiX 算法用于选择用于预测 ADHF 和 RTI 的最佳准确性的面板。使用逻辑回归模型构建包含临床变量和生物标志物面板的模型。通过接收者操作特征曲线评估面板与单独临床模型相比的附加预测价值。通过 10 倍交叉验证和 3 次重复进行内部验证。ADHF 和 RTI 的发生率分别为 19(2%)和 86(9.1%)。开发了三个生物标志物面板作为预测因子:血管黏附蛋白-1>5.67、NT-proBNP(N 末端 pro-B 型利钠肽)>4.98 和 d-二聚体>5.38(敏感性,89.5%;特异性,71.7%)用于 ADHF;白细胞介素-6>3.97、血管性血友病因子>3.67 和 d-二聚体>4.58(敏感性,82.6%;特异性,59.8%)用于 RTI。两个面板在调整临床混杂因素后均独立预测中风并发症(ADHF 面板:比值比[OR] [95%CI],10.1 [3-52.2];RTI 面板:OR,3.73 [1.95-7.14])。将该面板添加到临床预测因子中显著提高了两种情况下接收者操作特征曲线的曲线下面积。

结论

血液生物标志物可用于早期预测 ADHF 和 RTI。未来的研究应评估这些面板在出现呼吸症状(如呼吸困难)的中风患者中的有用性。

https://cdn.ncbi.nlm.nih.gov/pmc/blobs/5fbd/8174272/87f4d396d827/JAH3-10-e018946-g002.jpg

文献检索

告别复杂PubMed语法,用中文像聊天一样搜索,搜遍4000万医学文献。AI智能推荐,让科研检索更轻松。

立即免费搜索

文件翻译

保留排版,准确专业,支持PDF/Word/PPT等文件格式,支持 12+语言互译。

免费翻译文档

深度研究

AI帮你快速写综述,25分钟生成高质量综述,智能提取关键信息,辅助科研写作。

立即免费体验