Suppr超能文献

基于计算机断层扫描影像组学的列线图在接受全脑放疗的非小细胞肺癌脑转移生存预测中的应用

Computer Tomography Radiomics-Based Nomogram in the Survival Prediction for Brain Metastases From Non-Small Cell Lung Cancer Underwent Whole Brain Radiotherapy.

作者信息

Zhang Ji, Jin Juebin, Ai Yao, Zhu Kecheng, Xiao Chengjian, Xie Congying, Jin Xiance

机构信息

Department of Radiotherapy Center, The First Affiliated Hospital of Wenzhou Medical University, Wenzhou, China.

Department of Radiation and Medical Oncology, The Second Affiliated Hospital of Wenzhou Medical University, Wenzhou, China.

出版信息

Front Oncol. 2021 Feb 11;10:610691. doi: 10.3389/fonc.2020.610691. eCollection 2020.

Abstract

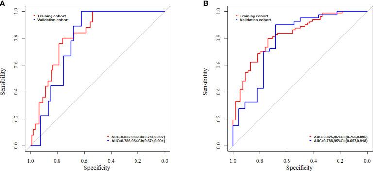
Prognostic parameters and models were believed to be helpful in improving the treatment outcome for patients with brain metastasis (BM). The purpose of this study was to investigate the feasibility of computer tomography (CT) radiomics based nomogram to predict the survival of patients with BM from non-small cell lung cancer (NSCLC) treated with whole brain radiotherapy (WBRT). A total of 195 patients with BM from NSCLC who underwent WBRT from January 2012 to December 2016 were retrospectively reviewed. Radiomics features were extracted and selected from pretherapeutic CT images with least absolute shrinkage and selection operator (LASSO) regression. A nomogram was developed and evaluated by integrating radiomics features and clinical factors to predict the survival of individual patient. Five radiomics features were screened out from 105 radiomics features according to the LASSO Cox regression. According to the optimal cutoff value of radiomics score (Rad-score), patients were stratified into low-risk (Rad-score <= -0.14) and high-risk (Rad-score > -0.14) groups. Multivariable analysis indicated that sex, karnofsky performance score (KPS) and Rad-score were independent predictors for overall survival (OS). The concordance index (C-index) of the nomogram in the training cohort and validation cohort was 0.726 and 0.660, respectively. An area under curve (AUC) of 0.786 and 0.788 was achieved for the short-term and long-term survival prediction, respectively. In conclusion, the nomogram based on radiomics features from CT images and clinical factors was feasible to predict the OS of BM patients from NSCLC who underwent WBRT.

摘要

预后参数和模型被认为有助于改善脑转移(BM)患者的治疗结果。本研究的目的是探讨基于计算机断层扫描(CT)影像组学的列线图预测接受全脑放疗(WBRT)的非小细胞肺癌(NSCLC)脑转移患者生存情况的可行性。回顾性分析了2012年1月至2016年12月期间接受WBRT的195例NSCLC脑转移患者。通过最小绝对收缩和选择算子(LASSO)回归从治疗前CT图像中提取并选择影像组学特征。通过整合影像组学特征和临床因素开发并评估列线图,以预测个体患者的生存情况。根据LASSO Cox回归从105个影像组学特征中筛选出5个影像组学特征。根据影像组学评分(Rad-score)的最佳临界值,将患者分为低风险(Rad-score <= -0.14)和高风险(Rad-score > -0.14)组。多变量分析表明,性别、卡诺夫斯基功能状态评分(KPS)和Rad-score是总生存(OS)的独立预测因素。训练队列和验证队列中列线图的一致性指数(C-index)分别为0.726和0.660。短期和长期生存预测的曲线下面积(AUC)分别为0.786和0.788。总之,基于CT图像影像组学特征和临床因素的列线图可用于预测接受WBRT的NSCLC脑转移患者的OS。

https://cdn.ncbi.nlm.nih.gov/pmc/blobs/e061/7905101/5f061d1d09d7/fonc-10-610691-g001.jpg

文献AI研究员

20分钟写一篇综述,助力文献阅读效率提升50倍。

立即体验

用中文搜PubMed

大模型驱动的PubMed中文搜索引擎

马上搜索

文档翻译

学术文献翻译模型,支持多种主流文档格式。

立即体验