Suppr超能文献

一种结合物理、放射生物学和剂量学品质因数来设计和评估硼中子俘获治疗(BNCT)中子束的新方法。

A Novel Approach to Design and Evaluate BNCT Neutron Beams Combining Physical, Radiobiological, and Dosimetric Figures of Merit.

作者信息

Postuma Ian, González Sara, Herrera Maria S, Provenzano Lucas, Ferrarini Michele, Magni Chiara, Protti Nicoletta, Fatemi Setareh, Vercesi Valerio, Battistoni Giuseppe, Anselmi Tamburini Umberto, Liu Yuan Hao, Kankaanranta Leena, Koivunoro Hanna, Altieri Saverio, Bortolussi Silva

机构信息

Istituto Nazionale di Fisica Nucleare (INFN), Unit of Pavia, via Bassi 6, 27100 Pavia, Italy.

Comisión Nacional de Energía Atómica (CNEA), Avenida General Paz 1499, Villa Maipú, Buenos Aires B1650, Argentina.

出版信息

Biology (Basel). 2021 Feb 26;10(3):174. doi: 10.3390/biology10030174.

Abstract

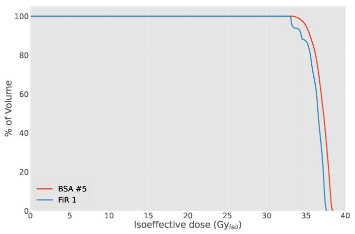
(1) Background:The quality of neutron beams for Boron Neutron Capture Therapy (BNCT) is currently defined by its physical characteristics in air. Recommendations exist to define whether a designed beam is useful for clinical treatment. This work presents a new way to evaluate neutron beams based on their clinical performance and on their safety, employing radiobiological quantities. (2) Methods: The case study is a neutron beam for deep-seated tumors from a 5 MeV proton beam coupled to a beryllium target. Physical Figures of Merit were used to design five beams; however, they did not allow a clear ranking of their quality in terms of therapeutic potential. The latter was then evaluated based on in-phantom dose distributions and on the calculation of the Uncomplicated Tumor Control Probability (UTCP). The safety of the beams was also evaluated calculating the in-patient out-of-beam dosimetry. (3) Results: All the beams ensured a UTCP comparable to the one of a clinical beam in phantom; the safety criterion allowed to choose the best candidate. When this was tested in the treatment planning of a real patient treated in Finland, the UTCP was still comparable to the one of the clinical beam. (4) Conclusions: Even when standard physical recommendations are not met, radiobiological and dosimetric criteria demonstrate to be a valid tool to select an effective and safe beam for patient treatment.

摘要

(1) 背景:硼中子俘获疗法(BNCT)的中子束质量目前由其在空气中的物理特性定义。现有关于确定设计的束流是否适用于临床治疗的建议。本研究提出了一种基于临床性能和安全性,利用放射生物学量来评估中子束的新方法。(2) 方法:案例研究是一个由5兆电子伏质子束与铍靶耦合产生的用于深部肿瘤的中子束。使用物理品质因数设计了五束中子束;然而,它们无法根据治疗潜力对其质量进行明确排序。随后基于模体中的剂量分布和简单肿瘤控制概率(UTCP)的计算对后者进行评估。还通过计算患者体外束流剂量学来评估束流的安全性。(3) 结果:所有束流在模体中确保了与临床束流相当的UTCP;安全标准允许选择最佳候选束流。当在芬兰治疗的一名真实患者的治疗计划中对其进行测试时,UTCP仍与临床束流相当。(4) 结论:即使不符合标准物理建议,放射生物学和剂量学标准也证明是选择有效且安全的束流用于患者治疗的有效工具。

https://cdn.ncbi.nlm.nih.gov/pmc/blobs/3044/7996903/cd9c70cf7c73/biology-10-00174-g001.jpg

文献AI研究员

20分钟写一篇综述,助力文献阅读效率提升50倍。

立即体验

用中文搜PubMed

大模型驱动的PubMed中文搜索引擎

马上搜索

文档翻译

学术文献翻译模型,支持多种主流文档格式。

立即体验