Suppr超能文献

预测头颈部神经内分泌癌患者长期总体生存和癌症特异性生存的列线图

Nomograms Forecasting Long-Term Overall and Cancer Specific Survival of Patients With Head and Neck Neuroendocrine Carcinoma.

作者信息

Yan Ouying, Xie Wenji, Teng Haibo, Fu Shengnan, Chen Yanzhu, Liu Feng

机构信息

The Affiliated Cancer Hospital of Xiangya School of Medicine, Central South University/Hunan Cancer Hospital, Changsha, China.

Department of Radiation Oncology, Hunan Cancer Hospital and The Affiliated Cancer Hospital of Xiangya School of Medicine, Central South University, Changsha, China.

出版信息

Front Oncol. 2021 Feb 15;11:619599. doi: 10.3389/fonc.2021.619599. eCollection 2021.

Abstract

BACKGROUND

The purpose of this retrospective analysis was to build and validate nomograms to predict the cancer-specific survival (CSS) and overall survival (OS) of head and neck neuroendocrine carcinoma (HNNEC) patients.

METHODS

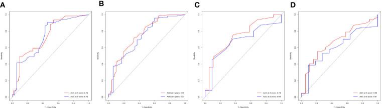
A total of 493 HNNEC patients were selected from the Surveillance, Epidemiology, and End Results (SEER) database between 2004 and 2015, and 74 HNNEC patients were collected from the Affiliated Cancer Hospital of Xiangya School of Medicine, Central South University/Hunan Cancer Hospital (HCH) between 2008 and 2020. Patients from SEER were randomly assigned into training (N=345) and internal validation (N=148) groups, and the independent data group (N=74) from HCH was used for external validation. Independent prognostic factors were collected using an input method in a Cox regression model, and they were then included in nomograms to predict 3-, 5-, and 10-year CSS and OS rates of HNNEC patients. Finally, we evaluated the internal and external validity of the nomograms using the consistency index, while assessing their prediction accuracy using calibration curves. A receiver operating curve (ROC) was also used to measure the performance of the survival models.

RESULTS

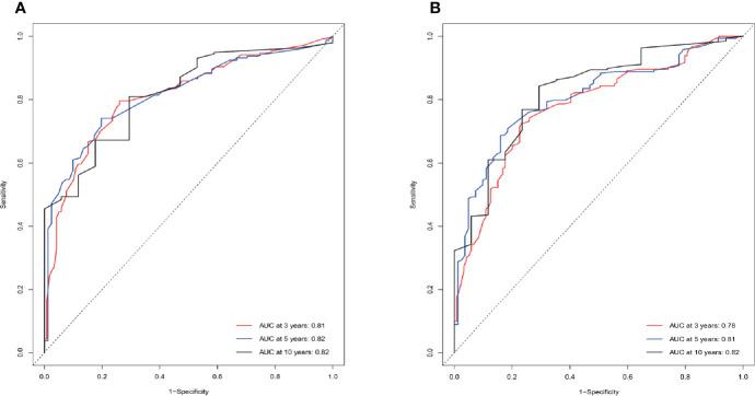
The 3-, 5-, and 10-year nomograms of this analysis demonstrated that M classification had the largest influence on CSS and OS of HNNEC, followed by the AJCC stage, N stage, age at diagnosis, sex/gender, radiation therapy, and marital status. The training validation C-indexes for the CSS and OS models were 0.739 and 0.713, respectively. Those for the internal validation group were 0.726 and 0.703, respectively, and for the external validation group were 0.765 and 0.709, respectively. The area under the ROC curve (AUC) of 3-, 5-, and 10-year CSS and OS models were 0.81, 0.82, 0.82, and 0.78, 0.81, and 0.82, respectively. The C-indexes were all higher than 0.7, indicating the high accuracy ability of our model's survival prediction.

CONCLUSIONS

In this study, prognosis nomograms in HNNEC patients were constructed to predict CSS and OS for the first time. Clinicians can identify patients' survival risk better and help patients understand their survival prognosis for the next 3, 5, and 10 years more clearly by using these nomograms.

摘要

背景

本回顾性分析的目的是构建并验证列线图,以预测头颈部神经内分泌癌(HNNEC)患者的癌症特异性生存(CSS)和总生存(OS)情况。

方法

2004年至2015年间,从监测、流行病学和最终结果(SEER)数据库中选取了493例HNNEC患者,2008年至2020年间,从中南大学湘雅医学院附属肿瘤医院/湖南省肿瘤医院(HCH)收集了74例HNNEC患者。来自SEER的患者被随机分为训练组(N = 345)和内部验证组(N = 148),来自HCH的独立数据组(N = 74)用于外部验证。使用Cox回归模型中的输入方法收集独立预后因素,然后将其纳入列线图,以预测HNNEC患者3年、5年和10年的CSS和OS率。最后,我们使用一致性指数评估列线图的内部和外部有效性,同时使用校准曲线评估其预测准确性。还使用受试者工作特征曲线(ROC)来衡量生存模型的性能。

结果

本分析的3年、5年和10年列线图显示,M分类对HNNEC的CSS和OS影响最大,其次是美国癌症联合委员会(AJCC)分期、N分期、诊断时年龄、性别、放疗和婚姻状况。CSS和OS模型的训练验证C指数分别为0.739和0.713。内部验证组的C指数分别为0.726和0.703,外部验证组的C指数分别为0.765和0.709。3年、5年和10年CSS和OS模型的ROC曲线下面积(AUC)分别为0.81、0.82、0.82和0.78、0.81、0.82。C指数均高于0.7,表明我们模型的生存预测具有较高的准确性。

结论

在本研究中,首次构建了HNNEC患者的预后列线图以预测CSS和OS。临床医生通过使用这些列线图可以更好地识别患者的生存风险,并帮助患者更清楚地了解其未来3年、5年和10年的生存预后。

https://cdn.ncbi.nlm.nih.gov/pmc/blobs/dfc4/7917297/d2f301cc66f5/fonc-11-619599-g001.jpg

文献检索

告别复杂PubMed语法,用中文像聊天一样搜索,搜遍4000万医学文献。AI智能推荐,让科研检索更轻松。

立即免费搜索

文件翻译

保留排版,准确专业,支持PDF/Word/PPT等文件格式,支持 12+语言互译。

免费翻译文档

深度研究

AI帮你快速写综述,25分钟生成高质量综述,智能提取关键信息,辅助科研写作。

立即免费体验