• 文献检索
  • 文档翻译
  • 深度研究
  • 学术资讯
  • Suppr Zotero 插件Zotero 插件
  • 邀请有礼
  • 套餐&价格
  • 历史记录
应用&插件
Suppr Zotero 插件Zotero 插件浏览器插件Mac 客户端Windows 客户端微信小程序
定价
高级版会员购买积分包购买API积分包
服务
文献检索文档翻译深度研究API 文档MCP 服务
关于我们
关于 Suppr公司介绍联系我们用户协议隐私条款
关注我们

Suppr 超能文献

核心技术专利:CN118964589B侵权必究
粤ICP备2023148730 号-1Suppr @ 2026

文献检索

告别复杂PubMed语法,用中文像聊天一样搜索,搜遍4000万医学文献。AI智能推荐,让科研检索更轻松。

立即免费搜索

文件翻译

保留排版,准确专业,支持PDF/Word/PPT等文件格式,支持 12+语言互译。

免费翻译文档

深度研究

AI帮你快速写综述,25分钟生成高质量综述,智能提取关键信息,辅助科研写作。

立即免费体验

尿钙卫蛋白、中性粒细胞明胶酶相关脂质运载蛋白和肾损伤分子-1 在鉴别主要炎症与非炎症稳定慢性肾脏病中的作用。

Urinary calprotectin, NGAL, and KIM-1 in the differentiation of primarily inflammatory vs. non-inflammatory stable chronic kidney diseases.

机构信息

Medical Department I, University Hospital Marien Hospital Herne, Ruhr-University of Bochum, Bochum, Germany.

Department of Nephrology, Charité - Campus Benjamin Franklin, Berlin, Germany.

出版信息

Ren Fail. 2021 Dec;43(1):417-424. doi: 10.1080/0886022X.2021.1885442.

DOI:10.1080/0886022X.2021.1885442
PMID:33663323
原文链接:https://pmc.ncbi.nlm.nih.gov/articles/PMC7939572/
Abstract

INTRODUCTION

It has been demonstrated that urinary neutrophil gelatinase-associated lipocalin (NGAL) and calprotectin are helpful biomarkers in the differentiation of intrinsic and prerenal acute kidney injury.

OBJECTIVE

The present cross-sectional study investigates, whether urinary biomarkers are able to differentiate primarily inflammatory from non-inflammatory entities in chronic kidney disease (CKD).

METHODS

Urinary calprotectin, NGAL, and kidney injury molecule-1 (KIM-1) concentrations were assessed in a study population of 143 patients with stable CKD and 29 healthy controls. Stable renal function was defined as an eGFR fluctuation ≤5 ml/min/1.73 m in the past 12 months. Pyuria, metastatic carcinoma, and renal transplantation were regarded as exclusion criteria. Diabetic nephropathy, hypertensive nephropathy, and polycystic kidney disease were categorized as 'primarily non-inflammatory renal diseases' (NIRD), whereas glomerulonephritis and vasculitis were regarded as 'primarily inflammatory renal diseases' (IRD).

RESULTS

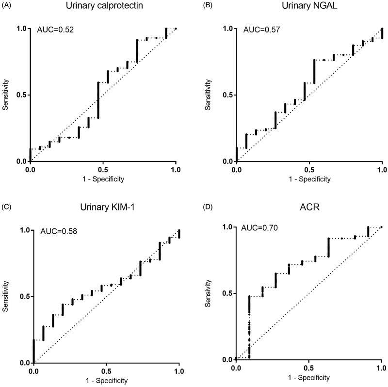
Urinary calprotectin and NGAL concentrations significantly differed between CKD and healthy controls ( < 0.05 each), whereas KIM-1 concentrations did not ( = 0.84). The three biomarkers did neither show significant differences in-between the individual entities, nor the two categories of IRD vs. NIRD (calprotectin 155.7 vs. 96.99 ng/ml; NGAL 14 896 vs. 11 977 pg/ml; KIM-1 1388 vs. 1009 pg/ml;  > 0.05 each). Albumin exceeds the diagnostic power of the investigated biomarkers by far.

CONCLUSIONS

The urinary biomarkers calprotectin, NGAL, and KIM-1 have no diagnostic value in the differentiation of primarily inflammatory vs. non-inflammatory etiologies of CKD.

摘要

简介

已有研究表明,尿中性粒细胞明胶酶相关脂质运载蛋白(NGAL)和钙卫蛋白有助于区分肾前性和肾性急性肾损伤。

目的

本横断面研究旨在探讨尿生物标志物是否能区分慢性肾脏病(CKD)患者的原发性炎症和非炎症实体。

方法

研究人群包括 143 例稳定 CKD 患者和 29 名健康对照者,检测其尿钙卫蛋白、NGAL 和肾损伤分子-1(KIM-1)浓度。稳定的肾功能定义为过去 12 个月内 eGFR 波动≤5ml/min/1.73m。尿脓细胞、转移性癌和肾移植被视为排除标准。糖尿病肾病、高血压肾病和多囊肾病归类为“主要非炎症性肾脏疾病”(NIRD),而肾小球肾炎和血管炎则归类为“主要炎症性肾脏疾病”(IRD)。

结果

CKD 患者和健康对照组的尿钙卫蛋白和 NGAL 浓度差异有统计学意义(均<0.05),而 KIM-1 浓度差异无统计学意义(=0.84)。这三种生物标志物在个体实体之间或 IRD 与 NIRD 两组之间均无显著差异(钙卫蛋白 155.7 与 96.99ng/ml;NGAL 14896 与 11977pg/ml;KIM-1 1388 与 1009pg/ml;均>0.05)。白蛋白远远超过了所研究生物标志物的诊断能力。

结论

尿生物标志物钙卫蛋白、NGAL 和 KIM-1 对区分 CKD 的主要炎症和非炎症病因无诊断价值。

https://cdn.ncbi.nlm.nih.gov/pmc/blobs/4c41/7939572/d12838a48a1d/IRNF_A_1885442_F0003_B.jpg
https://cdn.ncbi.nlm.nih.gov/pmc/blobs/4c41/7939572/1ad9c7b3dc5f/IRNF_A_1885442_F0001_B.jpg
https://cdn.ncbi.nlm.nih.gov/pmc/blobs/4c41/7939572/80237759a938/IRNF_A_1885442_F0002_B.jpg
https://cdn.ncbi.nlm.nih.gov/pmc/blobs/4c41/7939572/d12838a48a1d/IRNF_A_1885442_F0003_B.jpg
https://cdn.ncbi.nlm.nih.gov/pmc/blobs/4c41/7939572/1ad9c7b3dc5f/IRNF_A_1885442_F0001_B.jpg
https://cdn.ncbi.nlm.nih.gov/pmc/blobs/4c41/7939572/80237759a938/IRNF_A_1885442_F0002_B.jpg
https://cdn.ncbi.nlm.nih.gov/pmc/blobs/4c41/7939572/d12838a48a1d/IRNF_A_1885442_F0003_B.jpg

相似文献

1
Urinary calprotectin, NGAL, and KIM-1 in the differentiation of primarily inflammatory vs. non-inflammatory stable chronic kidney diseases.尿钙卫蛋白、中性粒细胞明胶酶相关脂质运载蛋白和肾损伤分子-1 在鉴别主要炎症与非炎症稳定慢性肾脏病中的作用。
Ren Fail. 2021 Dec;43(1):417-424. doi: 10.1080/0886022X.2021.1885442.
2
Prognostic Value of Urinary Calprotectin, NGAL and KIM-1 in Chronic Kidney Disease.尿钙卫蛋白、中性粒细胞明胶酶相关脂质运载蛋白和肾损伤分子-1在慢性肾脏病中的预后价值
Kidney Blood Press Res. 2018;43(4):1255-1262. doi: 10.1159/000492407. Epub 2018 Aug 3.
3
Urinary biomarkers for the differentiation of prerenal and intrinsic pediatric acute kidney injury.用于鉴别小儿肾前性和肾性急性肾损伤的尿液生物标志物。
Pediatr Nephrol. 2016 Dec;31(12):2353-2363. doi: 10.1007/s00467-016-3418-1. Epub 2016 Jun 11.
4
Urinary calprotectin, kidney injury molecule-1, and neutrophil gelatinase-associated lipocalin for the prediction of adverse outcome in pediatric acute kidney injury.尿钙卫蛋白、肾损伤分子-1和中性粒细胞明胶酶相关脂质运载蛋白用于预测小儿急性肾损伤的不良结局
Eur J Pediatr. 2017 Jun;176(6):745-755. doi: 10.1007/s00431-017-2907-y. Epub 2017 Apr 14.
5
Calprotectin and neutrophil gelatinase-associated lipocalin in the differentiation of pre-renal and intrinsic acute kidney injury.钙卫蛋白和中性粒细胞明胶酶相关脂质运载蛋白在肾前性和内源性急性肾损伤的鉴别诊断中的作用。
Acta Physiol (Oxf). 2013 Apr;207(4):700-8. doi: 10.1111/apha.12064. Epub 2013 Feb 14.
6
Performance of urinary kidney injury molecule-1, neutrophil gelatinase-associated lipocalin, and N-acetyl-β-D-glucosaminidase to predict chronic kidney disease progression and adverse outcomes.尿肾损伤分子-1、中性粒细胞明胶酶相关脂质运载蛋白和N-乙酰-β-D-氨基葡萄糖苷酶预测慢性肾脏病进展及不良结局的效能
Braz J Med Biol Res. 2017 Mar 30;50(5):e6106. doi: 10.1590/1414-431X20176106.
7
Biomarkers in the prediction of contrast media induced nephropathy - the BITCOIN study.对比剂诱导肾病的预测生物标志物——BITCOIN 研究。
PLoS One. 2020 Jul 16;15(7):e0234921. doi: 10.1371/journal.pone.0234921. eCollection 2020.
8
Urine NGAL and KIM-1: tubular injury markers in acute lymphoblastic leukemia survivors.尿中性粒细胞明胶酶相关脂质运载蛋白和肾损伤分子 1:急性淋巴细胞白血病幸存者的肾小管损伤标志物。
Cancer Chemother Pharmacol. 2020 Dec;86(6):741-749. doi: 10.1007/s00280-020-04164-3. Epub 2020 Oct 14.
9
Urinary Biomarkers KIM-1 and NGAL for Detection of Chronic Kidney Disease of Uncertain Etiology (CKDu) among Agricultural Communities in Sri Lanka.用于检测斯里兰卡农业社区病因不明的慢性肾脏病(CKDu)的尿液生物标志物KIM-1和中性粒细胞明胶酶相关脂质运载蛋白(NGAL)
PLoS Negl Trop Dis. 2016 Sep 19;10(9):e0004979. doi: 10.1371/journal.pntd.0004979. eCollection 2016 Sep.
10
Associations of urinary levels of kidney injury molecule 1 (KIM-1) and neutrophil gelatinase-associated lipocalin (NGAL) with kidney function decline in the Multi-Ethnic Study of Atherosclerosis (MESA).尿肾损伤分子 1(KIM-1)和中性粒细胞明胶酶相关脂质运载蛋白(NGAL)水平与动脉粥样硬化多民族研究(MESA)中肾功能下降的关系。
Am J Kidney Dis. 2012 Dec;60(6):904-11. doi: 10.1053/j.ajkd.2012.05.014. Epub 2012 Jun 30.

引用本文的文献

1
Application of biomarkers in the diagnosis of kidney disease.生物标志物在肾脏疾病诊断中的应用。
Front Med (Lausanne). 2025 Apr 30;12:1560222. doi: 10.3389/fmed.2025.1560222. eCollection 2025.
2
A Multimodal Fuzzy Approach in Evaluating Pediatric Chronic Kidney Disease Using Kidney Biomarkers.一种使用肾脏生物标志物评估小儿慢性肾脏病的多模态模糊方法。
Diagnostics (Basel). 2024 Jul 30;14(15):1648. doi: 10.3390/diagnostics14151648.
3
Urinary proteomics reveals biological processes related to acute kidney injury in Bothrops atrox envenomings.

本文引用的文献

1
Meta-Analysis: Urinary Calprotectin for Discrimination of Intrinsic and Prerenal Acute Kidney Injury.荟萃分析:尿钙卫蛋白用于鉴别内在性和肾前性急性肾损伤
J Clin Med. 2019 Jan 10;8(1):74. doi: 10.3390/jcm8010074.
2
Prognostic Value of Urinary Calprotectin, NGAL and KIM-1 in Chronic Kidney Disease.尿钙卫蛋白、中性粒细胞明胶酶相关脂质运载蛋白和肾损伤分子-1在慢性肾脏病中的预后价值
Kidney Blood Press Res. 2018;43(4):1255-1262. doi: 10.1159/000492407. Epub 2018 Aug 3.
3
Biomarkers in acute kidney injury - pathophysiological basis and clinical performance.
尿蛋白质组学揭示了矛头蝮蛇咬伤相关的急性肾损伤的生物学过程。
PLoS Negl Trop Dis. 2024 Mar 27;18(3):e0012072. doi: 10.1371/journal.pntd.0012072. eCollection 2024 Mar.
4
Therapeutic targeting of chronic kidney disease-associated DAMPs differentially contributing to vascular pathology.靶向治疗与慢性肾脏病相关 DAMPs,以差异化地改善血管病变。
Front Immunol. 2023 Oct 2;14:1240679. doi: 10.3389/fimmu.2023.1240679. eCollection 2023.
5
The Review of Current Knowledge on Neutrophil Gelatinase-Associated Lipocalin (NGAL).中性粒细胞明胶酶相关脂质运载蛋白 (NGAL) 的研究现状综述。
Int J Mol Sci. 2023 Jun 21;24(13):10470. doi: 10.3390/ijms241310470.
6
LncRNA SNHG1 knockdown inhibits hyperglycemia induced ferroptosis via miR-16-5p/ACSL4 axis to alleviate diabetic nephropathy.长链非编码 RNA SNHG1 敲低通过 miR-16-5p/ACSL4 轴抑制高糖诱导的铁死亡,从而减轻糖尿病肾病。
J Diabetes Investig. 2023 Sep;14(9):1056-1069. doi: 10.1111/jdi.14036. Epub 2023 Jun 14.
7
Perfusate Neutrophil Gelatinase-Associated Lipocalin, Kidney Injury Molecular-1, Liver-Type Fatty Acid Binding Protein, and Interleukin-18 as Potential Biomarkers to Predict Delayed Graft Function and Long-Term Prognosis in Kidney Transplant Recipients: A Single-Center Retrospective Study.灌注液中性粒细胞明胶酶相关载脂蛋白、肾损伤分子-1、肝型脂肪酸结合蛋白和白细胞介素-18 作为预测肾移植受者延迟肾功能和长期预后的潜在生物标志物:一项单中心回顾性研究。
Med Sci Monit. 2023 Mar 4;29:e938758. doi: 10.12659/MSM.938758.
8
Urine N-terminal pro-B-type natriuretic peptide and plasma proenkephalin are promising biomarkers for early diagnosis of cardiorenal syndrome type 1 in acute decompensated heart failure: a prospective, double-center, observational study in real-world.尿 N 末端 B 型利钠肽原和血浆 proenkephalin 是急性失代偿性心力衰竭中 1 型心肾综合征早期诊断有前途的生物标志物:一项前瞻性、双中心、真实世界观察研究。
Ren Fail. 2022 Dec;44(1):1486-1497. doi: 10.1080/0886022X.2022.2114367.
急性肾损伤中的生物标志物——病理生理基础与临床应用
Acta Physiol (Oxf). 2017 Mar;219(3):554-572. doi: 10.1111/apha.12764. Epub 2016 Aug 25.
4
Urinary biomarkers for the differentiation of prerenal and intrinsic pediatric acute kidney injury.用于鉴别小儿肾前性和肾性急性肾损伤的尿液生物标志物。
Pediatr Nephrol. 2016 Dec;31(12):2353-2363. doi: 10.1007/s00467-016-3418-1. Epub 2016 Jun 11.
5
Urinary Calprotectin Differentiates Between Prerenal and Intrinsic Acute Renal Allograft Failure.尿钙卫蛋白可区分肾移植术前和肾内急性移植肾失功。
Transplantation. 2017 Feb;101(2):387-394. doi: 10.1097/TP.0000000000001124.
6
Renal Biopsy in 2015--From Epidemiology to Evidence-Based Indications.2015年的肾活检——从流行病学到循证指征
Am J Nephrol. 2016;43(1):1-19. doi: 10.1159/000444026. Epub 2016 Feb 5.
7
Urinary Biomarkers Improve the Diagnosis of Intrinsic Acute Kidney Injury in Coronary Care Units.尿生物标志物改善冠心病监护病房中急性肾损伤的诊断
Medicine (Baltimore). 2015 Oct;94(40):e1703. doi: 10.1097/MD.0000000000001703.
8
Immune Mechanisms in Arterial Hypertension.动脉高血压中的免疫机制
J Am Soc Nephrol. 2016 Mar;27(3):677-86. doi: 10.1681/ASN.2015050562. Epub 2015 Aug 28.
9
[Plasma NGAL and ADPKD progression].[血浆中性粒细胞明胶酶相关脂质运载蛋白与常染色体显性多囊肾病进展]
G Ital Nefrol. 2015 May-Jun;32(3).
10
Exploring urinary biomarkers in autosomal dominant polycystic kidney disease.探索常染色体显性多囊肾病中的尿液生物标志物。
Clin Exp Nephrol. 2015 Oct;19(5):968-73. doi: 10.1007/s10157-014-1078-7. Epub 2014 Dec 28.