Suppr超能文献

基于光学相干断层扫描(OCT)数据的光线追踪人工晶状体(IOL)计算与基于反射测量法的传统IOL计算公式在有近视激光视力矫正史患者中的屈光精度比较

Refractive Precision of Ray Tracing IOL Calculations Based on OCT Data versus Traditional IOL Calculation Formulas Based on Reflectometry in Patients with a History of Laser Vision Correction for Myopia.

作者信息

Gjerdrum Bjørn, Gundersen Kjell Gunnar, Lundmark Per Olof, Aakre Bente Monica

机构信息

Department of Optometry, Radiography and Lighting Design, University of South-Eastern Norway, Kongsberg, Norway.

Ifocus Eye Clinic, Haugesund, Norway.

出版信息

Clin Ophthalmol. 2021 Feb 26;15:845-857. doi: 10.2147/OPTH.S298007. eCollection 2021.

Abstract

PURPOSE

To compare the refractive predictability of ray tracing IOL calculations based on OCT data versus traditional IOL calculation formulas based on reflectometry in patients with a history of previous myopic laser vision correction (LVC).

PATIENTS AND METHODS

This was a prospective interventional single-arm study of IOL calculations for cataract and refractive lens exchange (RLE) patients with a history of myopic LVC. Preoperative biometric data were collected using an optical low coherence reflectometry (OLCR) device (Haag-Streit Lenstar 900) and two optical coherence tomography (OCT) devices (Tomey Casia SS-1000 and Heidelberg Engineering Anterion). Traditional post LVC formulas (Barret True-K no-history and Haigis-L) with reflectometry data, and ray tracing IOL calculation software (OKULIX, Panopsis GmbH, Mainz, Germany) with OCT data were used to calculate IOL power. Follow-up examination was 2 to 3 months after surgery. The main outcome measure, refractive prediction error (RPE), was calculated as the achieved postoperative refraction minus the predicted refraction.

RESULTS

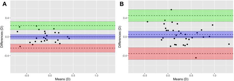
We found that the best ray tracing combination (Anterion-OKULIX) resulted in an arithmetic prediction error statistically significantly lower than that achieved with the best formula calculation (Barret True-K no-history) (-0.13 D and -0.32 D, respectively, adjusted = 0.01), while the Barret TK NH had the lowest SD. The absolute prediction error was 0.26 D and 0.35 D for Anterion-OKULIX and Barret TK NH, respectively, but this was not statistically significantly different. The Anterion-OKULIX calculation also had the highest percentage of eyes within ± 0.25, compared to both formulas and within ±0.50 and ±0.75 compared to the Haigis-L ( = 0.03).

CONCLUSION

Ray tracing calculation based on OCT data from the Anterion device can yield similar or better results than traditional post LVC formulas. Ray tracing calculations are based on individual measurements and do not rely on the ocular history of the patient and are therefore applicable for any patient, also without previous refractive surgery.

摘要

目的

比较基于光学相干断层扫描(OCT)数据的光线追踪人工晶状体(IOL)计算与基于反射测量法的传统IOL计算公式在有近视性激光视力矫正(LVC)病史患者中的屈光预测准确性。

患者与方法

这是一项针对有近视性LVC病史的白内障和屈光性晶状体置换(RLE)患者进行IOL计算的前瞻性干预单臂研究。术前生物测量数据使用光学低相干反射测量(OLCR)设备(Haag-Streit Lenstar 900)以及两台光学相干断层扫描(OCT)设备(Tomey Casia SS-1000和海德堡工程公司的Anterion)收集。使用带有反射测量数据的传统LVC术后公式(Barret True-K无病史公式和Haigis-L公式)以及带有OCT数据的光线追踪IOL计算软件(OKULIX,德国美因茨的Panopsis GmbH公司)来计算IOL度数。术后2至3个月进行随访检查。主要观察指标,屈光预测误差(RPE),计算方法为术后实际屈光度数减去预测屈光度数。

结果

我们发现最佳的光线追踪组合(Anterion-OKULIX)导致的算术预测误差在统计学上显著低于最佳公式计算(Barret True-K无病史公式)所得到的误差(分别为-0.13D和-0.32D,校正P = 0.01),而Barret TK NH的标准差最低。Anterion-OKULIX和Barret TK NH的绝对预测误差分别为0.26D和0.35D,但这在统计学上无显著差异。与两种公式相比,Anterion-OKULIX计算在±0.25范围内的眼数百分比最高,与Haigis-L公式相比在±0.50和±0.75范围内的眼数百分比也最高(P = 0.03)。

结论

基于Anterion设备的OCT数据进行光线追踪计算可产生与传统LVC术后公式相似或更好的结果。光线追踪计算基于个体测量,不依赖患者的眼部病史,因此适用于任何患者,包括未曾接受过屈光手术的患者。

https://cdn.ncbi.nlm.nih.gov/pmc/blobs/7123/7924114/e6e6196b27a9/OPTH-15-845-g0001.jpg

文献AI研究员

20分钟写一篇综述,助力文献阅读效率提升50倍。

立即体验

用中文搜PubMed

大模型驱动的PubMed中文搜索引擎

马上搜索

文档翻译

学术文献翻译模型,支持多种主流文档格式。

立即体验