• 文献检索
  • 文档翻译
  • 深度研究
  • 学术资讯
  • Suppr Zotero 插件Zotero 插件
  • 邀请有礼
  • 套餐&价格
  • 历史记录
应用&插件
Suppr Zotero 插件Zotero 插件浏览器插件Mac 客户端Windows 客户端微信小程序
定价
高级版会员购买积分包购买API积分包
服务
文献检索文档翻译深度研究API 文档MCP 服务
关于我们
关于 Suppr公司介绍联系我们用户协议隐私条款
关注我们

Suppr 超能文献

核心技术专利:CN118964589B侵权必究
粤ICP备2023148730 号-1Suppr @ 2026

文献检索

告别复杂PubMed语法,用中文像聊天一样搜索,搜遍4000万医学文献。AI智能推荐,让科研检索更轻松。

立即免费搜索

文件翻译

保留排版,准确专业,支持PDF/Word/PPT等文件格式,支持 12+语言互译。

免费翻译文档

深度研究

AI帮你快速写综述,25分钟生成高质量综述,智能提取关键信息,辅助科研写作。

立即免费体验

用于高效捕获……的乳酸菌种类和菌株的选择

Selection of Lactic Acid Bacteria Species and Strains for Efficient Trapping of .

作者信息

Alawamleh Amani, Ðurović Gordana, Maddalena Giuseppe, Guzzon Raffaele, Ganassi Sonia, Hashmi Maaz Maqsood, Wäckers Felix, Anfora Gianfranco, Cristofaro Antonio De

机构信息

Department of Agricultural, Environmental and Food Sciences, University of Molise, Via De Sanctis, 86100 Campobasso, Italy.

Biobest Group NV, Ilse Velden, 2260 Westerlo, Belgium.

出版信息

Insects. 2021 Feb 11;12(2):153. doi: 10.3390/insects12020153.

DOI:10.3390/insects12020153
PMID:33670332
原文链接:https://pmc.ncbi.nlm.nih.gov/articles/PMC7918454/
Abstract

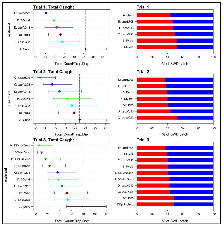
(1) Monitoring of is based on the use of effective traps and baits. The current baits are insufficient to provide efficient monitoring. The use of bacteria as bio-catalyzers to produce bioactive volatiles may improve flies' attraction. Thus, we conducted this work to improve Droskidrink bait's attractiveness using lactic acid bacteria. (2) Different baits that were based on the use of Droskidrink were assessed for flies' attraction in a Droso-Trap in a vineyard. , spp., and spp. were used. The performance of the most attractive species, , inoculated into Droskidrink was assessed in laboratory tests. The responses of female flies to volatiles produced by Droskidrink with strains were recorded by electroantennography. (3) Preliminary field assessment of baits recorded as the most attractive species. Three strain groups showed adaptation to test conditions. Volatiles extracted by the headspace of baits inoculated with , elicited electroantennographic responses from fly antennae. (4) Droskidrink inoculated with is a highly attractive bait for monitoring. These findings will be useful for improving the attractiveness of commercial baits based on the utilization of LAB volatiles in a strain-dependent manner.

摘要

(1) 对[某种昆虫,原文未明确]的监测基于使用有效的诱捕器和诱饵。目前的诱饵不足以提供高效的监测。利用细菌作为生物催化剂来产生生物活性挥发物可能会提高对苍蝇的吸引力。因此,我们开展这项工作,利用乳酸菌来提高德罗斯基饮料诱饵的吸引力。(2) 在葡萄园的德罗索诱捕器中,评估了基于使用德罗斯基饮料的不同诱饵对苍蝇的吸引力。使用了[具体昆虫种类,原文未明确写出]、[具体昆虫种类,原文未明确写出]和[具体昆虫种类,原文未明确写出]。在实验室测试中评估了接种到德罗斯基饮料中的最具吸引力的物种[具体物种,原文未明确写出]的性能。通过触角电图记录了雌蝇对含有[具体菌株数量,原文未明确写出]菌株的德罗斯基饮料产生的挥发物的反应。(3) 诱饵的初步田间评估记录了[具体昆虫种类,原文未明确写出]为最具吸引力的物种。三个菌株组表现出对测试条件的适应性。用接种了[具体昆虫种类,原文未明确写出]的诱饵顶空提取的挥发物引起了苍蝇触角的触角电图反应。(4) 接种了[具体菌株,原文未明确写出]的德罗斯基饮料是一种用于监测的极具吸引力的诱饵。这些发现将有助于以菌株依赖的方式利用乳酸菌挥发物来提高[某种商业诱饵,原文未明确写出]诱饵的吸引力。

https://cdn.ncbi.nlm.nih.gov/pmc/blobs/5dc1/7918454/233c80a44938/insects-12-00153-g003.jpg
https://cdn.ncbi.nlm.nih.gov/pmc/blobs/5dc1/7918454/831817c300ef/insects-12-00153-g001.jpg
https://cdn.ncbi.nlm.nih.gov/pmc/blobs/5dc1/7918454/492b963f93a2/insects-12-00153-g002.jpg
https://cdn.ncbi.nlm.nih.gov/pmc/blobs/5dc1/7918454/233c80a44938/insects-12-00153-g003.jpg
https://cdn.ncbi.nlm.nih.gov/pmc/blobs/5dc1/7918454/831817c300ef/insects-12-00153-g001.jpg
https://cdn.ncbi.nlm.nih.gov/pmc/blobs/5dc1/7918454/492b963f93a2/insects-12-00153-g002.jpg
https://cdn.ncbi.nlm.nih.gov/pmc/blobs/5dc1/7918454/233c80a44938/insects-12-00153-g003.jpg

相似文献

1
Selection of Lactic Acid Bacteria Species and Strains for Efficient Trapping of .用于高效捕获……的乳酸菌种类和菌株的选择
Insects. 2021 Feb 11;12(2):153. doi: 10.3390/insects12020153.
2
Liquid Baits with Increase Captures of .能增加捕获量的液体诱饵。
Insects. 2021 Jan 13;12(1):66. doi: 10.3390/insects12010066.
3
Comparison of a synthetic chemical lure and standard fermented baits for trapping Drosophila suzukii (Diptera: Drosophilidae).用于诱捕铃木氏果蝇(双翅目:果蝇科)的合成化学诱饵与标准发酵诱饵的比较
Environ Entomol. 2013 Oct;42(5):1052-60. doi: 10.1603/EN13154.
4
Agricultural-Grade Apple Cider Vinegar Is Remarkably Attractive to (Diptera: Drosophiliadae) in Mexico.农业级苹果醋对墨西哥的(双翅目:果蝇科)具有显著吸引力。
Insects. 2020 Jul 15;11(7):448. doi: 10.3390/insects11070448.
5
Evaluation of Monitoring Traps and Lures for (Diptera: Drosophilidae) in Berry Plantings in Florida.佛罗里达州浆果种植园中用于监测果蝇(双翅目:果蝇科)的诱捕器和诱饵的评估
Insects. 2019 Sep 24;10(10):313. doi: 10.3390/insects10100313.
6
Effect of trap design, bait type, and age on captures of Drosophila suzukii (Diptera: Drosophilidae) in berry crops.陷阱设计、诱饵类型和年龄对浆果作物中草莓果实蝇(双翅目:果蝇科)捕获的影响。
J Econ Entomol. 2014 Aug;107(4):1508-18. doi: 10.1603/ec13538.
7
Behavioral and Antennal Responses of Drosophila suzukii (Diptera: Drosophilidae) to Volatiles From Fruit Extracts.铃木果蝇(双翅目:果蝇科)对水果提取物挥发物的行为和触角反应
Environ Entomol. 2015 Apr;44(2):356-67. doi: 10.1093/ee/nvv013. Epub 2015 Mar 16.
8
Efficacy and Species Specificity of Baits and Lures for Spotted-Wing Drosophila, Drosophila suzukii (Diptera: Drosophilidae).实蝇引诱剂和诱饵的功效及其物种特异性,以黑腹果蝇,果蝇 suzukii(双翅目:果蝇科)为例。
J Econ Entomol. 2022 Aug 10;115(4):1036-1045. doi: 10.1093/jee/toac020.
9
Separate and combined Hanseniaspora uvarum and Metschnikowia pulcherrima metabolic volatiles are attractive to Drosophila suzukii in the laboratory and field.实验室和田间试验均表明,分开和组合的汉逊德巴利酵母和酒香酵母的代谢挥发物对水果实蝇有吸引力。
Sci Rep. 2021 Jan 13;11(1):1201. doi: 10.1038/s41598-020-79691-3.
10
Chemical and Electrophysiological Characterisation of Headspace Volatiles from Yeasts Attractive to Drosophila suzukii.酵母头部空间挥发物的化学和电生理特性分析及其对果蝇的吸引力。
J Chem Ecol. 2024 Nov;50(11):830-846. doi: 10.1007/s10886-024-01494-x. Epub 2024 May 1.

引用本文的文献

1
Microbial Metabolites: A Sustainable Approach to Combat Plant Pests.微生物代谢产物:一种防治植物害虫的可持续方法。
Metabolites. 2025 Jun 19;15(6):418. doi: 10.3390/metabo15060418.
2
Lactic acid bacteria: A sustainable solution against phytopathogenic agents.乳酸菌:一种对抗植物病原体的可持续解决方案。
Environ Microbiol Rep. 2024 Dec;16(6):e70021. doi: 10.1111/1758-2229.70021.
3
Application of Lactic Acid Bacteria (LAB) in Sustainable Agriculture: Advantages and Limitations.乳酸菌(LAB)在可持续农业中的应用:优势与局限性。

本文引用的文献

1
Liquid Baits with Increase Captures of .能增加捕获量的液体诱饵。
Insects. 2021 Jan 13;12(1):66. doi: 10.3390/insects12010066.
2
Olfactory Preference of Shifts between Fruit and Fermentation Cues over the Season: Effects of Physiological Status.季节间水果和发酵气味线索转换的嗅觉偏好:生理状态的影响
Insects. 2019 Jul 6;10(7):200. doi: 10.3390/insects10070200.
3
Gut microbiota affects development and olfactory behavior in .肠道微生物群影响 的发育和嗅觉行为。
Int J Mol Sci. 2022 Jul 14;23(14):7784. doi: 10.3390/ijms23147784.
4
Mass Trapping , What Would It Take? A Two-Year Field Study on Trap Interference.大规模诱捕,需要什么条件?一项关于诱捕干扰的两年实地研究
Insects. 2022 Feb 28;13(3):240. doi: 10.3390/insects13030240.
5
Behavioral Manipulation for Pest Control.害虫防治的行为操纵
Insects. 2021 Mar 26;12(4):287. doi: 10.3390/insects12040287.
J Exp Biol. 2019 Mar 1;222(Pt 5):jeb192500. doi: 10.1242/jeb.192500.
4
Fructophilic Lactic Acid Bacteria, a Unique Group of Fructose-Fermenting Microbes.嗜果糖乳酸杆菌:一类独特的果糖发酵微生物。
Appl Environ Microbiol. 2018 Sep 17;84(19). doi: 10.1128/AEM.01290-18. Print 2018 Oct 1.
5
A Multiple-Choice Bioassay Approach for Rapid Screening of Key Attractant Volatiles.一种用于快速筛选关键引诱挥发性物质的多项选择生物测定方法。
Environ Entomol. 2018 Aug 11;47(4):946-950. doi: 10.1093/ee/nvy054.
6
Improved capture of Drosophila suzukii by a trap baited with two attractants in the same device.在同一装置中使用两种引诱剂诱捕果蝇,可提高其捕获率。
PLoS One. 2017 Nov 17;12(11):e0188350. doi: 10.1371/journal.pone.0188350. eCollection 2017.
7
Adjusting the scent ratio: using genetically modified Vitis vinifera plants to manipulate European grapevine moth behaviour.调整香味比例:利用基因改良的欧亚葡萄(Vitis vinifera)植物来操纵欧洲葡萄根瘤蚜的行为。
Plant Biotechnol J. 2018 Jan;16(1):264-271. doi: 10.1111/pbi.12767. Epub 2017 Jul 18.
8
Sub-optimal pH Preadaptation Improves the Survival of Strains and the Malic Acid Consumption in Wine-Like Medium.亚最佳pH值预适应提高了菌株的存活率以及在类葡萄酒培养基中苹果酸的消耗。
Front Microbiol. 2017 Mar 22;8:470. doi: 10.3389/fmicb.2017.00470. eCollection 2017.
9
Development of an Attract-and-Kill Strategy for Drosophila suzukii (Diptera: Drosophilidae): Evaluation of Attracticidal Spheres Under Laboratory and Field Conditions.铃木氏果蝇(双翅目:果蝇科)诱捕杀灭策略的开发:实验室和田间条件下诱杀球的评估
J Econ Entomol. 2017 Apr 1;110(2):535-542. doi: 10.1093/jee/tow319.
10
Laboratory Bioassays with Three Different Substrates to Test the Efficacy of Insecticides against Various Stages of Drosophila suzukii (Diptera: Drosophilidae).使用三种不同基质进行实验室生物测定,以测试杀虫剂对铃木氏果蝇各发育阶段(双翅目:果蝇科)的防治效果。
J Insect Sci. 2017 Jan 27;17(1). doi: 10.1093/jisesa/iew100. Print 2017 Jan.