• 文献检索
  • 文档翻译
  • 深度研究
  • 学术资讯
  • Suppr Zotero 插件Zotero 插件
  • 邀请有礼
  • 套餐&价格
  • 历史记录
应用&插件
Suppr Zotero 插件Zotero 插件浏览器插件Mac 客户端Windows 客户端微信小程序
定价
高级版会员购买积分包购买API积分包
服务
文献检索文档翻译深度研究API 文档MCP 服务
关于我们
关于 Suppr公司介绍联系我们用户协议隐私条款
关注我们

Suppr 超能文献

核心技术专利:CN118964589B侵权必究
粤ICP备2023148730 号-1Suppr @ 2026

文献检索

告别复杂PubMed语法,用中文像聊天一样搜索,搜遍4000万医学文献。AI智能推荐,让科研检索更轻松。

立即免费搜索

文件翻译

保留排版,准确专业,支持PDF/Word/PPT等文件格式,支持 12+语言互译。

免费翻译文档

深度研究

AI帮你快速写综述,25分钟生成高质量综述,智能提取关键信息,辅助科研写作。

立即免费体验

从 C.A. Meyer 和 Thunberg 中分离的寡肽对雄性小鼠性功能的联合作用。

Combined Effects of Oligopeptides Isolated from C.A. Meyer and Thunberg on Sexual Function in Male Mice.

机构信息

Department of Clinical Nutrition, Peking University People's Hospital, Beijing 100044, China.

Department of Nutrition and Food Hygiene, School of Public Health, Peking University, Beijing 100191, China.

出版信息

Int J Environ Res Public Health. 2021 Feb 28;18(5):2349. doi: 10.3390/ijerph18052349.

DOI:10.3390/ijerph18052349
PMID:33670840
原文链接:https://pmc.ncbi.nlm.nih.gov/articles/PMC7967744/
Abstract

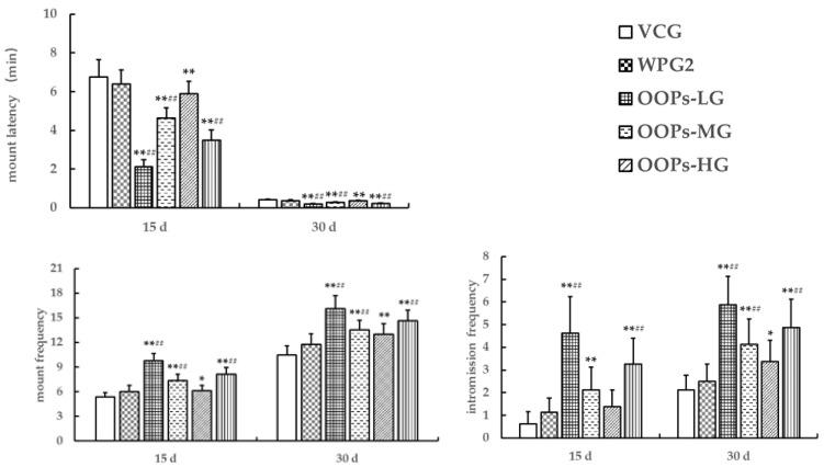
Male sexual debility affects patients' confidence and damages the relationship between the couples and thus affects the stability of the family. This study aimed to investigate the effects of oligopeptides isolated from ginseng and oyster (GOPs and OOPs), separately and in combination, on sexual function in male mice. In the first experiment, male mice were randomly divided into five groups: vehicle control group; whey protein (125.0 mg kg) group; and GOPs 62.5, 125.0, and 250.0 mg kg groups. In the second experiment, male mice were randomly divided into five groups: vehicle control group, whey protein (160.0 mg kg) group, and OOPs 80.0, 160.0, and 320.0 mg kg groups. In the third experiment, male mice were randomly divided into six groups: vehicle control group, whey protein (222.5 mg kg) group, and GOPs + OOPs 62.5 + 160.0, 62.5 + 320.0, and 125.0 + 160.0, 125.0 + 320.0 mg kg groups. Test substances were given by gavage once a day for 30 days. The sexual behavior parameters, serum nitric oxide (NO), testosterone, cyclic guanosine monophosphate (cGMP), and phosphodiesterase-5 (PDE5) concentrations were detected. We found that GOPs at 250.0 mg kg improved male sexual behavior, NO, and testosterone content, whereas GOPs at 62.5 and 125.0 mg kg and OOPs at 80.0, 160, and 320 mg kg did not have significant effects. The combination of 62.5 mg kg GOPs + 160.0 mg kg OOPs and the combination of 125.0 mg kg GOPs + 320.0 mg kg OOPs improved male sexual behavior, serum NO, testosterone, and cGMP contents and decreased PDE5 content. The combination of 62.5 mg kg GOPs and 160.0 mg kg OOPs had the best effects among four combined groups. These results suggested that GOPs in combination with OOPs had the synergistic effects of enhancing male sexual function, probably via elevating serum testosterone, NO, and corpus cavernosum cGMP level and decreasing the corpus cavernosum PDE5 level. GOPs and OOPs could be novel natural agents for improving male sexual function.

摘要

男性性功能障碍会影响患者的信心,破坏夫妻关系,从而影响家庭的稳定性。本研究旨在探讨从人参和牡蛎中分离得到的寡肽(GOPs 和 OOPs)分别和联合应用对雄性小鼠性功能的影响。在第一个实验中,雄性小鼠随机分为五组: vehicle control group(空白对照组);whey protein(乳清蛋白,125.0 mg kg)组;和 GOPs 62.5、125.0、250.0 mg kg 组。在第二个实验中,雄性小鼠随机分为五组: vehicle control group(空白对照组);whey protein(乳清蛋白,160.0 mg kg)组;和 OOPs 80.0、160.0、320.0 mg kg 组。在第三个实验中,雄性小鼠随机分为六组: vehicle control group(空白对照组);whey protein(乳清蛋白,222.5 mg kg)组;和 GOPs + OOPs 62.5 + 160.0、62.5 + 320.0、125.0 + 160.0、125.0 + 320.0 mg kg 组。用灌胃法每天给药一次,共 30 天。检测了性行为参数、血清一氧化氮(NO)、睾酮、环鸟苷酸(cGMP)和磷酸二酯酶-5(PDE5)的浓度。我们发现,250.0 mg kg 的 GOPs 改善了雄性性行为、NO 和睾酮含量,而 62.5 和 125.0 mg kg 的 GOPs 和 80.0、160 和 320 mg kg 的 OOPs 则没有显著影响。62.5 mg kg GOPs + 160.0 mg kg OOPs 和 125.0 mg kg GOPs + 320.0 mg kg OOPs 的联合应用改善了雄性性行为、血清 NO、睾酮和 cGMP 含量,并降低了 PDE5 含量。在四种联合组中,62.5 mg kg GOPs + 160.0 mg kg OOPs 的联合应用效果最好。这些结果表明,GOPs 与 OOPs 的联合应用具有增强雄性性功能的协同作用,可能是通过提高血清睾酮、NO 和海绵体 cGMP 水平,降低海绵体 PDE5 水平。GOPs 和 OOPs 可以成为改善男性性功能的新型天然药物。

https://cdn.ncbi.nlm.nih.gov/pmc/blobs/45cd/7967744/b8b4f0fa17ae/ijerph-18-02349-g010.jpg
https://cdn.ncbi.nlm.nih.gov/pmc/blobs/45cd/7967744/d360b1dabd1d/ijerph-18-02349-g001.jpg
https://cdn.ncbi.nlm.nih.gov/pmc/blobs/45cd/7967744/fd5ef1067806/ijerph-18-02349-g002.jpg
https://cdn.ncbi.nlm.nih.gov/pmc/blobs/45cd/7967744/544a8b64ce91/ijerph-18-02349-g003.jpg
https://cdn.ncbi.nlm.nih.gov/pmc/blobs/45cd/7967744/e0ab7da07492/ijerph-18-02349-g004.jpg
https://cdn.ncbi.nlm.nih.gov/pmc/blobs/45cd/7967744/eb655eab589c/ijerph-18-02349-g005.jpg
https://cdn.ncbi.nlm.nih.gov/pmc/blobs/45cd/7967744/b6d3cb468963/ijerph-18-02349-g006.jpg
https://cdn.ncbi.nlm.nih.gov/pmc/blobs/45cd/7967744/1269e45ab86d/ijerph-18-02349-g007.jpg
https://cdn.ncbi.nlm.nih.gov/pmc/blobs/45cd/7967744/c9497be1da1d/ijerph-18-02349-g008.jpg
https://cdn.ncbi.nlm.nih.gov/pmc/blobs/45cd/7967744/ad553fc97e20/ijerph-18-02349-g009.jpg
https://cdn.ncbi.nlm.nih.gov/pmc/blobs/45cd/7967744/b8b4f0fa17ae/ijerph-18-02349-g010.jpg
https://cdn.ncbi.nlm.nih.gov/pmc/blobs/45cd/7967744/d360b1dabd1d/ijerph-18-02349-g001.jpg
https://cdn.ncbi.nlm.nih.gov/pmc/blobs/45cd/7967744/fd5ef1067806/ijerph-18-02349-g002.jpg
https://cdn.ncbi.nlm.nih.gov/pmc/blobs/45cd/7967744/544a8b64ce91/ijerph-18-02349-g003.jpg
https://cdn.ncbi.nlm.nih.gov/pmc/blobs/45cd/7967744/e0ab7da07492/ijerph-18-02349-g004.jpg
https://cdn.ncbi.nlm.nih.gov/pmc/blobs/45cd/7967744/eb655eab589c/ijerph-18-02349-g005.jpg
https://cdn.ncbi.nlm.nih.gov/pmc/blobs/45cd/7967744/b6d3cb468963/ijerph-18-02349-g006.jpg
https://cdn.ncbi.nlm.nih.gov/pmc/blobs/45cd/7967744/1269e45ab86d/ijerph-18-02349-g007.jpg
https://cdn.ncbi.nlm.nih.gov/pmc/blobs/45cd/7967744/c9497be1da1d/ijerph-18-02349-g008.jpg
https://cdn.ncbi.nlm.nih.gov/pmc/blobs/45cd/7967744/ad553fc97e20/ijerph-18-02349-g009.jpg
https://cdn.ncbi.nlm.nih.gov/pmc/blobs/45cd/7967744/b8b4f0fa17ae/ijerph-18-02349-g010.jpg

相似文献

1
Combined Effects of Oligopeptides Isolated from C.A. Meyer and Thunberg on Sexual Function in Male Mice.从 C.A. Meyer 和 Thunberg 中分离的寡肽对雄性小鼠性功能的联合作用。
Int J Environ Res Public Health. 2021 Feb 28;18(5):2349. doi: 10.3390/ijerph18052349.
2
Ginseng ( Meyer) Oligopeptides Protect Against Binge Drinking-Induced Liver Damage through Inhibiting Oxidative Stress and Inflammation in Rats.人参(Meyer)低聚肽通过抑制氧化应激和炎症来防止大鼠 binge drinking 诱导的肝损伤。
Nutrients. 2018 Nov 4;10(11):1665. doi: 10.3390/nu10111665.
3
Beneficial Effects of Small-Molecule Oligopeptides Isolated from Panax Ginseng C. A. Meyer on Cellular Fates in Oxidative Stress-Induced Damaged Human Umbilical Vein Endothelial Cells and PC-12.从人参 Panax ginseng C. A. Meyer 中分离得到的小分子寡肽对氧化应激损伤的人脐静脉内皮细胞和 PC-12 细胞命运的有益影响
Int J Mol Sci. 2024 Mar 2;25(5):2906. doi: 10.3390/ijms25052906.
4
Beneficial Effects of Small Molecule Oligopeptides Isolated from Panax ginseng Meyer on Pancreatic Beta-Cell Dysfunction and Death in Diabetic Rats.从人参中分离得到的小分子寡肽对糖尿病大鼠胰岛β细胞功能障碍和死亡的有益作用。
Nutrients. 2017 Sep 26;9(10):1061. doi: 10.3390/nu9101061.
5
Bioactive Oligopeptides from Ginseng ( Meyer) Suppress Oxidative Stress-Induced Senescence in Fibroblasts via NAD/SIRT1/PGC-1α Signaling Pathway.人参(Meyer)中的生物活性寡肽通过 NAD/SIRT1/PGC-1α 信号通路抑制成纤维细胞氧化应激诱导的衰老。
Nutrients. 2022 Dec 12;14(24):5289. doi: 10.3390/nu14245289.
6
Anti-Inflammation Effect of Small Molecule Oligopeptides Prepared from C. A. Meyer in Rats.从 C. A. Meyer 制备的小分子寡肽对大鼠的抗炎作用。
Molecules. 2019 Feb 28;24(5):858. doi: 10.3390/molecules24050858.
7
Ginsenoside Rg1 improves male copulatory behavior via nitric oxide/cyclic guanosine monophosphate pathway.人参皂苷 Rg1 通过一氧化氮/环磷酸鸟苷途径改善雄性交配行为。
J Sex Med. 2010 Feb;7(2 Pt 1):743-50. doi: 10.1111/j.1743-6109.2009.01482.x. Epub 2009 Sep 14.
8
Anti-Fatigue Effects of Small Molecule Oligopeptides Isolated from Panax ginseng C. A. Meyer in Mice.从人参(Panax ginseng C. A. Meyer)中分离的小分子寡肽对小鼠的抗疲劳作用
Nutrients. 2016 Dec 13;8(12):807. doi: 10.3390/nu8120807.
9
Anti-fatigue effects of small-molecule oligopeptides isolated from Panax quinquefolium L. in mice.西洋参小分子寡肽对小鼠的抗疲劳作用。
Food Funct. 2018 Aug 15;9(8):4266-4273. doi: 10.1039/c7fo01658a.
10
The anti-hypoxic effects of oat ( L.) oligopeptides in mice.燕麦(L.)寡肽对小鼠的抗缺氧作用。
Am J Transl Res. 2021 Mar 15;13(3):1657-1666. eCollection 2021.

引用本文的文献

1
Nutritional aphrodisiacs: Biochemistry and Pharmacology.营养催情剂:生物化学与药理学
Curr Res Food Sci. 2024 Jun 11;9:100783. doi: 10.1016/j.crfs.2024.100783. eCollection 2024.
2
Effects of Flower Extract on Enhancing Sexual Arousal and Reproductive Performance in Zebrafish.花提取物对斑马鱼增强性唤起和生殖性能的影响。
Molecules. 2022 Mar 29;27(7):2218. doi: 10.3390/molecules27072218.

本文引用的文献

1
Ginseng (Panax ginseng Meyer) oligopeptides regulate innate and adaptive immune responses in mice via increased macrophage phagocytosis capacity, NK cell activity and Th cells secretion.人参(Panax ginseng Meyer)寡肽通过增强巨噬细胞吞噬能力、自然杀伤细胞活性和Th细胞分泌来调节小鼠的固有免疫和适应性免疫反应。
Food Funct. 2017 Oct 1;8(10):3523-3532. doi: 10.1039/c7fo00957g. Epub 2017 Sep 6.
2
Anti-Fatigue Effects of Small Molecule Oligopeptides Isolated from Panax ginseng C. A. Meyer in Mice.从人参(Panax ginseng C. A. Meyer)中分离的小分子寡肽对小鼠的抗疲劳作用
Nutrients. 2016 Dec 13;8(12):807. doi: 10.3390/nu8120807.
3
Effects of two-year testosterone replacement therapy on cognition, emotions and quality of life in young and middle-aged hypogonadal men.
两年睾酮替代疗法对中青年性腺功能减退男性认知、情绪及生活质量的影响
Andrologia. 2017 Apr;49(3). doi: 10.1111/and.12633. Epub 2016 Aug 22.
4
Testosterone replacement therapy improves health-related quality of life for patients with late-onset hypogonadism: a meta-analysis of randomized controlled trials.睾酮替代疗法可改善迟发性性腺功能减退患者与健康相关的生活质量:一项随机对照试验的荟萃分析。
Andrologia. 2017 May;49(4). doi: 10.1111/and.12630. Epub 2016 Jul 8.
5
Kisspeptin in the medial amygdala and sexual behavior in male rats.内侧杏仁核中的亲吻素与雄性大鼠的性行为
Neurosci Lett. 2016 Aug 3;627:13-7. doi: 10.1016/j.neulet.2016.05.042. Epub 2016 May 24.
6
Psychotherapy and phosphodiesterase-5 inhibitor in early rehabilitation after radical prostatectomy: a prospective randomised controlled trial.前列腺癌根治术后早期康复中的心理治疗与磷酸二酯酶-5抑制剂:一项前瞻性随机对照试验。
Andrologia. 2016 Dec;48(10):1183-1187. doi: 10.1111/and.12557. Epub 2016 Apr 6.
7
EMAS position statement: Testosterone replacement therapy in the aging male‏.欧洲更年期与男性老化协会立场声明:老年男性的睾酮替代疗法
Maturitas. 2016 Feb;84:94-9. doi: 10.1016/j.maturitas.2015.11.003. Epub 2015 Nov 10.
8
Prenatal Hypoxia Ischemia Increases Male Rat Sexual Behavior.产前缺氧缺血会增加雄性大鼠的性行为。
J Sex Med. 2015 Oct;12(10):2013-21. doi: 10.1111/jsm.13006.
9
Efficacy of Phosphodiesterase-5 Inhibitor in Men With Premature Ejaculation: A New Systematic Review and Meta-analysis.磷酸二酯酶-5抑制剂治疗早泄男性的疗效:一项新的系统评价和荟萃分析。
Urology. 2015 Nov;86(5):947-54. doi: 10.1016/j.urology.2015.06.051. Epub 2015 Aug 14.
10
Critical Update of the 2010 Endocrine Society Clinical Practice Guidelines for Male Hypogonadism: A Systematic Analysis.2010 年内分泌学会男性性腺功能减退症临床实践指南的重要更新:系统分析。
Mayo Clin Proc. 2015 Aug;90(8):1104-15. doi: 10.1016/j.mayocp.2015.06.002. Epub 2015 Jul 20.