• 文献检索
  • 文档翻译
  • 深度研究
  • 学术资讯
  • Suppr Zotero 插件Zotero 插件
  • 邀请有礼
  • 套餐&价格
  • 历史记录
应用&插件
Suppr Zotero 插件Zotero 插件浏览器插件Mac 客户端Windows 客户端微信小程序
定价
高级版会员购买积分包购买API积分包
服务
文献检索文档翻译深度研究API 文档MCP 服务
关于我们
关于 Suppr公司介绍联系我们用户协议隐私条款
关注我们

Suppr 超能文献

核心技术专利:CN118964589B侵权必究
粤ICP备2023148730 号-1Suppr @ 2026

文献检索

告别复杂PubMed语法,用中文像聊天一样搜索,搜遍4000万医学文献。AI智能推荐,让科研检索更轻松。

立即免费搜索

文件翻译

保留排版,准确专业,支持PDF/Word/PPT等文件格式,支持 12+语言互译。

免费翻译文档

深度研究

AI帮你快速写综述,25分钟生成高质量综述,智能提取关键信息,辅助科研写作。

立即免费体验

优化和验证一种用于评估住院患者身体活动的分类算法。

Optimization and Validation of a Classification Algorithm for Assessment of Physical Activity in Hospitalized Patients.

机构信息

Department of Physical Therapy, Maastricht University Medical Center, 6229 HX Maastricht, The Netherlands.

CAPHRI School for Public Health and Primary Care, Maastricht University, 6200 MD Maastricht, The Netherlands.

出版信息

Sensors (Basel). 2021 Feb 27;21(5):1652. doi: 10.3390/s21051652.

DOI:10.3390/s21051652
PMID:33673447
原文链接:https://pmc.ncbi.nlm.nih.gov/articles/PMC7956397/
Abstract

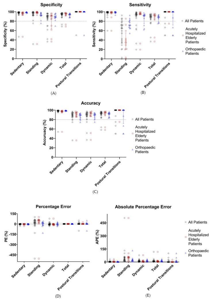
Low amounts of physical activity (PA) and prolonged periods of sedentary activity are common in hospitalized patients. Objective PA monitoring is needed to prevent the negative effects of inactivity, but a suitable algorithm is lacking. The aim of this study is to optimize and validate a classification algorithm that discriminates between sedentary, standing, and dynamic activities, and records postural transitions in hospitalized patients under free-living conditions. Optimization and validation in comparison to video analysis were performed in orthopedic and acutely hospitalized elderly patients with an accelerometer worn on the upper leg. Data segmentation window size (WS), amount of PA threshold (PA Th) and sensor orientation threshold (SO Th) were optimized in 25 patients, validation was performed in another 25. Sensitivity, specificity, accuracy, and (absolute) percentage error were used to assess the algorithm's performance. Optimization resulted in the best performance with parameter settings: WS 4 s, PA Th 4.3 counts per second, SO Th 0.8 g. Validation showed that all activities were classified within acceptable limits (>80% sensitivity, specificity and accuracy, ±10% error), except for the classification of standing activity. As patients need to increase their PA and interrupt sedentary behavior, the algorithm is suitable for classifying PA in hospitalized patients.

摘要

低量的身体活动(PA)和长时间的久坐活动在住院患者中很常见。需要客观的 PA 监测来预防不活动带来的负面影响,但缺乏合适的算法。本研究的目的是优化和验证一种分类算法,该算法可以区分久坐、站立和动态活动,并记录住院患者在自由生活条件下的姿势转换。在矫形和急性住院的老年患者中,将加速度计佩戴在上腿上,与视频分析进行了优化和验证。在 25 名患者中优化了数据分段窗口大小(WS)、PA 阈值(PA Th)和传感器方向阈值(SO Th),在另外 25 名患者中进行了验证。使用灵敏度、特异性、准确性和(绝对)百分比误差来评估算法的性能。优化后的最佳参数设置为:WS 4 秒,PA Th 4.3 计数/秒,SO Th 0.8 g。验证结果表明,除了站立活动的分类外,所有活动都在可接受的范围内(>80%的灵敏度、特异性和准确性,±10%的误差)。由于患者需要增加 PA 并打断久坐行为,因此该算法适合于对住院患者的 PA 进行分类。

https://cdn.ncbi.nlm.nih.gov/pmc/blobs/dccd/7956397/8ae9ee5864e7/sensors-21-01652-g005.jpg
https://cdn.ncbi.nlm.nih.gov/pmc/blobs/dccd/7956397/8a9c1a2448e7/sensors-21-01652-g0A1.jpg
https://cdn.ncbi.nlm.nih.gov/pmc/blobs/dccd/7956397/48304252cb5a/sensors-21-01652-g0A2.jpg
https://cdn.ncbi.nlm.nih.gov/pmc/blobs/dccd/7956397/d5a152e74ba6/sensors-21-01652-g001.jpg
https://cdn.ncbi.nlm.nih.gov/pmc/blobs/dccd/7956397/281c66db76ee/sensors-21-01652-g003.jpg
https://cdn.ncbi.nlm.nih.gov/pmc/blobs/dccd/7956397/950b87d36207/sensors-21-01652-g004.jpg
https://cdn.ncbi.nlm.nih.gov/pmc/blobs/dccd/7956397/8ae9ee5864e7/sensors-21-01652-g005.jpg
https://cdn.ncbi.nlm.nih.gov/pmc/blobs/dccd/7956397/8a9c1a2448e7/sensors-21-01652-g0A1.jpg
https://cdn.ncbi.nlm.nih.gov/pmc/blobs/dccd/7956397/48304252cb5a/sensors-21-01652-g0A2.jpg
https://cdn.ncbi.nlm.nih.gov/pmc/blobs/dccd/7956397/d5a152e74ba6/sensors-21-01652-g001.jpg
https://cdn.ncbi.nlm.nih.gov/pmc/blobs/dccd/7956397/281c66db76ee/sensors-21-01652-g003.jpg
https://cdn.ncbi.nlm.nih.gov/pmc/blobs/dccd/7956397/950b87d36207/sensors-21-01652-g004.jpg
https://cdn.ncbi.nlm.nih.gov/pmc/blobs/dccd/7956397/8ae9ee5864e7/sensors-21-01652-g005.jpg

相似文献

1
Optimization and Validation of a Classification Algorithm for Assessment of Physical Activity in Hospitalized Patients.优化和验证一种用于评估住院患者身体活动的分类算法。
Sensors (Basel). 2021 Feb 27;21(5):1652. doi: 10.3390/s21051652.
2
Optimization and Validation of an Adjustable Activity Classification Algorithm for Assessment of Physical Behavior in Elderly.优化和验证用于评估老年人身体行为的可调节活动分类算法
Sensors (Basel). 2019 Dec 4;19(24):5344. doi: 10.3390/s19245344.
3
Validation of accelerometer wear and nonwear time classification algorithm.计步器佩戴和不佩戴时间分类算法的验证。
Med Sci Sports Exerc. 2011 Feb;43(2):357-64. doi: 10.1249/MSS.0b013e3181ed61a3.
4
Determinants of instrumented sedentary and physical activity behavior in geriatric rehabilitation inpatients: RESORT.老年康复住院患者仪器监测下的久坐和身体活动行为的决定因素:RESORT。
Exp Gerontol. 2021 Oct 15;154:111524. doi: 10.1016/j.exger.2021.111524. Epub 2021 Aug 21.
5
Accelerometry Shows Inpatients With Acute Medical or Surgical Conditions Spend Little Time Upright and Are Highly Sedentary: Systematic Review.加速度计显示,患有急性内科或外科疾病的住院患者直立时间很少,久坐不动:系统评价。
Phys Ther. 2017 Nov 1;97(11):1044-1065. doi: 10.1093/ptj/pzx076.
6
Comparison and validation of accelerometer wear time and non-wear time algorithms for assessing physical activity levels in children and adolescents.比较和验证加速度计佩戴时间和非佩戴时间算法,以评估儿童和青少年的身体活动水平。
BMC Med Res Methodol. 2019 Apr 2;19(1):72. doi: 10.1186/s12874-019-0712-1.
7
Accelerometry assessed physical activity of older adults hospitalized with acute medical illness - an observational study.加速度计评估急性内科疾病住院老年人的身体活动情况 - 一项观察性研究。
BMC Geriatr. 2020 Oct 2;20(1):382. doi: 10.1186/s12877-020-01763-w.
8
Video analysis validation of a real-time physical activity detection algorithm based on a single waist mounted tri-axial accelerometer sensor.基于单个腰部佩戴的三轴加速度计传感器的实时身体活动检测算法的视频分析验证
Annu Int Conf IEEE Eng Med Biol Soc. 2016 Aug;2016:4881-4884. doi: 10.1109/EMBC.2016.7591821.
9
Validity of a Non-Proprietary Algorithm for Identifying Lying Down Using Raw Data from Thigh-Worn Triaxial Accelerometers.使用大腿佩戴三轴加速度计的原始数据识别仰卧的非专利算法的有效性。
Sensors (Basel). 2021 Jan 29;21(3):904. doi: 10.3390/s21030904.
10
Validation of an accelerometer for measurement of activity in frail older people.用于测量体弱老年人活动量的加速度计的验证
Gait Posture. 2018 Oct;66:114-117. doi: 10.1016/j.gaitpost.2018.08.024. Epub 2018 Aug 23.

引用本文的文献

1
Effectiveness of Hospital Fit on Physical Activity in Hospitalized Patients: A Stepped-Wedge Cluster-Randomized Trial and Process Evaluation.医院环境对住院患者身体活动的影响:一项阶梯式楔形群随机试验和过程评估。
Sensors (Basel). 2024 Sep 12;24(18):5920. doi: 10.3390/s24185920.
2
Validation of the Activ8 Activity Monitor for Monitoring Postures, Motions, Transfers, and Steps of Hospitalized Patients.验证 Activ8 活动监测器在监测住院患者的姿势、动作、转移和步数方面的有效性。
Sensors (Basel). 2023 Dec 28;24(1):180. doi: 10.3390/s24010180.
3
A New Index for the Quantitative Evaluation of Surgical Invasiveness Based on Perioperative Patients' Behavior Patterns: Machine Learning Approach Using Triaxial Acceleration.

本文引用的文献

1
Thigh-worn accelerometry for measuring movement and posture across the 24-hour cycle: a scoping review and expert statement.用于测量24小时周期内运动和姿势的大腿佩戴式加速度计:一项范围综述和专家声明
BMJ Open Sport Exerc Med. 2020 Dec 24;6(1):e000874. doi: 10.1136/bmjsem-2020-000874. eCollection 2020.
2
The Effectiveness of Hospital in Motion, a Multidimensional Implementation Project to Improve Patients' Movement Behavior During Hospitalization.“移动医院”的成效:一项旨在改善患者住院期间活动行为的多维度实施项目
Phys Ther. 2020 Dec 7;100(12):2090-2098. doi: 10.1093/ptj/pzaa160.
3
Mobility Action Group: Using Quality Improvement Methods to Create a Culture of Hospital Mobility.
一种基于围手术期患者行为模式的手术侵袭性定量评估新指标:使用三轴加速度的机器学习方法
JMIR Perioper Med. 2023 Nov 14;6:e50188. doi: 10.2196/50188.
4
The Effect of a Smartphone App with an Accelerometer on the Physical Activity Behavior of Hospitalized Patients: A Randomized Controlled Trial.带加速度计的智能手机应用程序对住院患者身体活动行为的影响:一项随机对照试验。
Sensors (Basel). 2023 Oct 25;23(21):8704. doi: 10.3390/s23218704.
5
Identification and Quantification of Activities Common to Intensive Care Patients; Development and Validation of a Dual-Accelerometer-Based Algorithm.识别和量化重症监护患者的常见活动;基于双加速计的算法的开发和验证。
Sensors (Basel). 2023 Feb 3;23(3):1720. doi: 10.3390/s23031720.
6
ProHealth eCoach: user-centered design and development of an eCoach app to promote healthy lifestyle with personalized activity recommendations.ProHealth eCoach:以用户为中心的设计和开发一款电子教练应用程序,通过个性化的活动推荐来促进健康的生活方式。
BMC Health Serv Res. 2022 Sep 4;22(1):1120. doi: 10.1186/s12913-022-08441-0.
7
Pain and Mobilization after Surgery: Comment.术后疼痛与活动:评论
Anesthesiology. 2022 Aug 1;137(2):265-266. doi: 10.1097/ALN.0000000000004248.
8
Fine Detection of Human Motion During Activities of Daily Living as a Clinical Indicator for the Detection and Early Treatment of Chronic Diseases: The E-Mob Project.将日常生活活动中的人体运动精细检测作为慢性病检测和早期治疗的临床指标:电子移动项目。
J Med Internet Res. 2022 Jan 14;24(1):e32362. doi: 10.2196/32362.
行动不便问题管理小组:利用质量改进方法营造医院行动便利化文化。
J Am Geriatr Soc. 2020 Oct;68(10):2373-2381. doi: 10.1111/jgs.16699. Epub 2020 Aug 5.
4
Smartphone App with an Accelerometer Enhances Patients' Physical Activity Following Elective Orthopedic Surgery: A Pilot Study.带加速度计的智能手机应用程序可增强择期骨科手术后患者的身体活动:一项初步研究。
Sensors (Basel). 2020 Aug 2;20(15):4317. doi: 10.3390/s20154317.
5
A scoping review of interventions using accelerometers to measure physical activity or sedentary behaviour during hospitalization.使用加速度计在住院期间测量身体活动或久坐行为的干预措施的范围综述。
Clin Rehabil. 2020 Sep;34(9):1157-1172. doi: 10.1177/0269215520932965. Epub 2020 Jun 10.
6
Feasibility of Measuring Sedentary Time Using Data From a Thigh-Worn Accelerometer.使用大腿佩戴的加速度计数据测量久坐时间的可行性。
Am J Epidemiol. 2020 Sep 1;189(9):963-971. doi: 10.1093/aje/kwaa047.
7
Optimization and Validation of an Adjustable Activity Classification Algorithm for Assessment of Physical Behavior in Elderly.优化和验证用于评估老年人身体行为的可调节活动分类算法
Sensors (Basel). 2019 Dec 4;19(24):5344. doi: 10.3390/s19245344.
8
How much do hospitalized adults move? A systematic review and meta-analysis.住院成年人的活动量有多少?系统评价和荟萃分析。
Appl Nurs Res. 2020 Feb;51:151189. doi: 10.1016/j.apnr.2019.151189. Epub 2019 Sep 3.
9
Validity of three accelerometers to investigate lying, sitting, standing and walking.三种加速度计测量躺、坐、站和走的有效性研究。
PLoS One. 2019 May 23;14(5):e0217545. doi: 10.1371/journal.pone.0217545. eCollection 2019.
10
Standardizing Analytic Methods and Reporting in Activity Monitor Validation Studies.活动监测仪验证研究中分析方法和报告的标准化。
Med Sci Sports Exerc. 2019 Aug;51(8):1767-1780. doi: 10.1249/MSS.0000000000001966.