Suppr超能文献

InGaAs发光二极管的逐步退化:对非辐射寿命的影响及缺陷特性的提取

Gradual Degradation of InGaAs LEDs: Impact on Non-Radiative Lifetime and Extraction of Defect Characteristics.

作者信息

Buffolo Matteo, Magri Alessandro, De Santi Carlo, Meneghesso Gaudenzio, Zanoni Enrico, Meneghini Matteo

机构信息

Department of Information Engineering, University of Padova, 3513 Padova, Italy.

出版信息

Materials (Basel). 2021 Feb 27;14(5):1114. doi: 10.3390/ma14051114.

Abstract

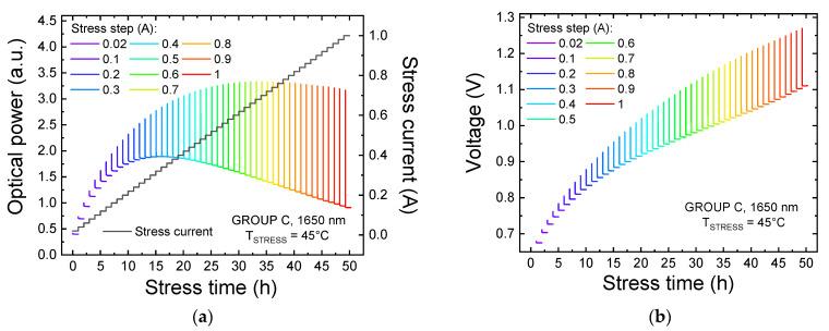
We present a detailed analysis of the gradual degradation mechanisms of InGaAs Light-Emitting Diodes (LEDs) tuned for optical emission in the 1.45-1.65 μm range. Specifically, we propose a simple and effective methodology for estimating the relative changes in non-radiative lifetime, and a procedure for extracting the properties of defects responsible for Shockley-Read-Hall recombination. By means of a series of accelerated aging experiments, during which we evaluated the variations of the optical and electrical characteristics of three different families of LEDs, we were able to identify the root causes of device degradation. Specifically, the experimental results show that, both for longer stress time at moderate currents or for short-term stress under high injection levels, all the devices are affected: (i) by a partial recovery of the optical emission at the nominal bias current; and (ii) by a decrease in the emission in low-bias regime. This second process was deeply investigated, and was found to be related to the decrease in the non-radiative Shockley-Read-Hall (SRH) lifetime due to the generation/propagation of defects within the active region of the LEDs. Devices tuned for longer-wavelength emission exhibited a second degradation process, which was found to modify the carrier injection dynamics and further speed-up optical degradation in the low bias regime. These processes were ascribed to the effects of a second non-radiative recombination center, whose formation within the active region of the device was induced by the aging procedure. Through mathematical analysis of the degradation data, we could quantify the percentage variation in SRH lifetime, and identify the activation energy of the related defects.

摘要

我们对调谐用于1.45 - 1.65μm范围内光发射的InGaAs发光二极管(LED)的逐步退化机制进行了详细分析。具体而言,我们提出了一种简单有效的方法来估计非辐射寿命的相对变化,以及一种提取负责肖克利 - 里德 - 霍尔复合的缺陷特性的程序。通过一系列加速老化实验,在此期间我们评估了三种不同系列LED的光学和电学特性的变化,我们能够确定器件退化的根本原因。具体来说,实验结果表明,无论是在中等电流下较长的应力时间还是在高注入水平下的短期应力,所有器件都受到影响:(i)在标称偏置电流下光发射部分恢复;(ii)在低偏置状态下发射减少。对第二个过程进行了深入研究,发现它与由于LED有源区内缺陷的产生/传播导致的非辐射肖克利 - 里德 - 霍尔(SRH)寿命的减少有关。调谐用于更长波长发射的器件表现出第二个退化过程,发现该过程会改变载流子注入动力学并在低偏置状态下进一步加速光学退化。这些过程归因于第二个非辐射复合中心的影响,其在器件有源区内的形成是由老化过程诱导的。通过对退化数据的数学分析,我们可以量化SRH寿命的百分比变化,并确定相关缺陷的激活能。

https://cdn.ncbi.nlm.nih.gov/pmc/blobs/690e/7957727/adc94564951c/materials-14-01114-g001a.jpg

文献AI研究员

20分钟写一篇综述,助力文献阅读效率提升50倍。

立即体验

用中文搜PubMed

大模型驱动的PubMed中文搜索引擎

马上搜索

文档翻译

学术文献翻译模型,支持多种主流文档格式。

立即体验