Noori Shokoofe, Rezaei Tavirani Mostafa, Deravi Niloofar, Mahboobi Rabbani Mohammad Ismaiil, Zarghi Afshin
Department of Biochemistry, School of Medicine, Shahid Beheshti University of Medical Sciences, Tehran, Iran.
Proteomics Research Center, School of Paramedical Sciences, Shahid Beheshti University of Medical Sciences, Tehran, Iran.
Iran J Pharm Res. 2020 Summer;19(3):122-133. doi: 10.22037/ijpr.2020.113103.14112.
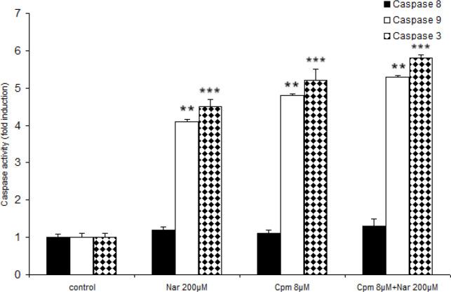
Naringenin is a natural compound with potential anti-cancer effects against several cancer types. Also, its precise molecular mechanisms regarding tumor growth suppression has not been completely elucidated. In the current study the apoptosis-inducing and anti-proliferative effects of Naringenin together with cyclophosphamide were studied in breast cancer cells and the participation of JAK2/STAT3 pathway was investigated. In this regard, MDA-MB-231 breast cancer cells were cultured and hence, treated with different concentrations of Naringenin. Apoptosis was measured via flowcytometric analysis of annexin V binding and cell viability was assessed via MTT assay. Protein and gene expression were investigated via Western blotting and real-time PCR, respectively. The function of caspase enzymes were also assessed. The results exhibited that Naringenin triggered apoptosis and markedly decreased cell viability. Furthermore its coadministration with cyclophosphamide improved its anti-tumor properties. Moreover, Naringenin up-regulated the expression of BAX while decreased the expression of Bcl-2. Caspases 3 and 9 were activated by Naringenin, an influence, which was augmented via cyclophosphamide. Docking studies revealed an interaction between Naringenin and STAT3 that was confirmed via attenuation of STAT3 phosphorylation subsequent to treating the cells with Naringenin. Furthermore, Naringenin exhibited the capacity to suppress the function of IL-6 in modulating apoptosis-associated genes expression. Overall, these results indicated that a Naringenin- cyclophosphamide combination impairs proliferation signaling and induces apoptosis to a greater extent than either compound alone and can serve as a potent chemotherapeutic regimen for breast cancer treatment.
柚皮素是一种对多种癌症类型具有潜在抗癌作用的天然化合物。此外,其抑制肿瘤生长的确切分子机制尚未完全阐明。在本研究中,研究了柚皮素与环磷酰胺在乳腺癌细胞中的诱导凋亡和抗增殖作用,并研究了JAK2/STAT3信号通路的参与情况。在这方面,培养了MDA-MB-231乳腺癌细胞,并用不同浓度的柚皮素进行处理。通过膜联蛋白V结合的流式细胞术分析测量细胞凋亡,通过MTT法评估细胞活力。分别通过蛋白质印迹和实时PCR研究蛋白质和基因表达。还评估了半胱天冬酶的功能。结果表明,柚皮素可引发细胞凋亡并显著降低细胞活力。此外,它与环磷酰胺联合使用可改善其抗肿瘤特性。此外,柚皮素上调了BAX的表达,同时降低了Bcl-2的表达。柚皮素激活了半胱天冬酶3和9,环磷酰胺增强了这种作用。对接研究揭示了柚皮素与STAT3之间的相互作用,在用柚皮素处理细胞后,STAT3磷酸化的减弱证实了这一相互作用。此外,柚皮素表现出抑制IL-6调节凋亡相关基因表达功能的能力。总体而言,这些结果表明,柚皮素-环磷酰胺组合比单独使用任何一种化合物都能更大程度地损害增殖信号并诱导细胞凋亡,可作为一种有效的乳腺癌化疗方案。