Suppr超能文献

采烤期低温胁迫对烤烟品质及烘烤特性的影响。

Cold stress in the harvest period: effects on tobacco leaf quality and curing characteristics.

机构信息

Yunnan Academy of Tobacco Agricultural Sciences, Kunming, Yunnan, People's Republic of China.

Dali Tobacco Monopoly Bureau of Yunnan Province, Dali, Yunnan, People's Republic of China.

出版信息

BMC Plant Biol. 2021 Mar 8;21(1):131. doi: 10.1186/s12870-021-02895-w.

Abstract

BACKGROUND

Weather change in high-altitude areas subjects mature tobacco (Nicotiana tabacum L.) to cold stress, which damages tobacco leaf yield and quality. A brupt diurnal temperature differences (the daily temperature dropping more than 20 °C) along with rainfall in tobacco-growing areas at an altitude above 2450 m, caused cold stress to field-grown tobacco.

RESULTS

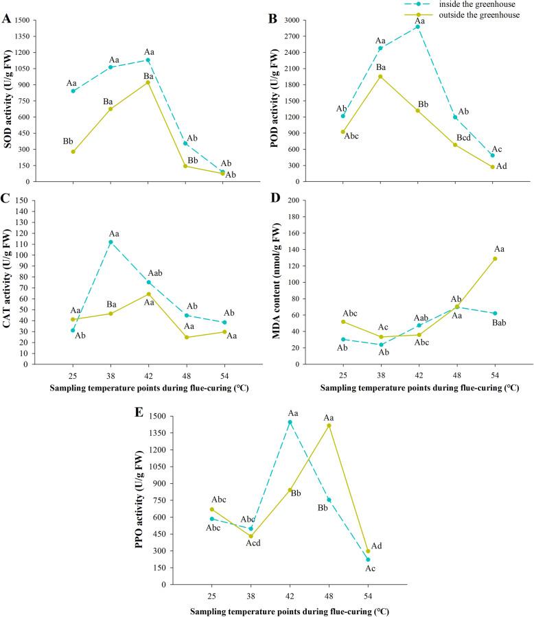
After the flue-cured tobacco suffered cold stress in the field, the surface color of tobacco leaves changed and obvious large browning areas were appeared, and the curing availability was extremely poor. Further research found the quality of fresh tobacco leaves, the content of key chemical components, and the production quality were greatly reduced by cold stress. We hypothesize that cold stress in high altitude environments destroyed the antioxidant enzyme system of mature flue-cured tobacco. Therefore, the quality of fresh tobacco leaves, the content of key chemical components, and the production quality were greatly reduced by cold stress.

CONCLUSION

This study confirmed that cold stress in high-altitude tobacco areas was the main reason for the browning of tobacco leaves during the tobacco curing process. This adverse environment seriously damaged the quality of tobacco leaves, but can be mitigated by pay attention to the weather forecast and pick tobacco leaves in advance.

摘要

背景

高海拔地区的天气变化会导致成熟烟草(Nicotiana tabacum L.)遭受冷胁迫,从而损害烟叶的产量和质量。在海拔 2450 米以上的烟草种植区,白天和夜晚的温度差异很大(每天温度下降超过 20°C),并且伴有降雨,这会导致田间生长的烟草遭受冷胁迫。

结果

田间烤制的烤烟遭受冷胁迫后,烟叶表面颜色发生变化,出现明显的大面积褐斑,烘烤可用性极差。进一步的研究发现,冷胁迫极大地降低了新鲜烟叶的质量、关键化学成分的含量和生产质量。我们假设高海拔环境中的冷胁迫破坏了成熟烤烟的抗氧化酶系统。因此,冷胁迫极大地降低了新鲜烟叶的质量、关键化学成分的含量和生产质量。

结论

本研究证实,高海拔烟草区的冷胁迫是烟草烘烤过程中烟叶变褐的主要原因。这种不利的环境严重损害了烟叶的质量,但可以通过关注天气预报和提前采摘烟叶来缓解。

https://cdn.ncbi.nlm.nih.gov/pmc/blobs/322f/7941949/8973a2f38e1a/12870_2021_2895_Fig1_HTML.jpg

文献AI研究员

20分钟写一篇综述,助力文献阅读效率提升50倍。

立即体验

用中文搜PubMed

大模型驱动的PubMed中文搜索引擎

马上搜索

文档翻译

学术文献翻译模型,支持多种主流文档格式。

立即体验