Suppr超能文献

肝脂肪变性预示着结直肠癌肝转移患者更高的复发率。

Hepatic Steatosis Predicts Higher Incidence of Recurrence in Colorectal Cancer Liver Metastasis Patients.

作者信息

Chen Haiyan, Dai Siqi, Fang Yimin, Chen Liubo, Jiang Kai, Wei Qichun, Ding Kefeng

机构信息

Department of Radiation Oncology, Key Laboratory of Cancer Prevention and Intervention, Ministry of Education, The Second Affiliated Hospital, Zhejiang University School of Medicine, Hangzhou, China.

Zhejiang University Cancer Center, Hangzhou, China.

出版信息

Front Oncol. 2021 Mar 9;11:631943. doi: 10.3389/fonc.2021.631943. eCollection 2021.

Abstract

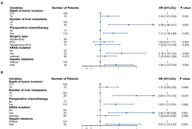
Colorectal liver metastasis (CRLM) is the major cause of death due to colorectal cancer. Although great efforts have been made in treatment of CRLM, about 60-70% of patients will develop hepatic recurrence. Hepatic steatosis was reported to provide fertile soil for metastasis. However, whether hepatic steatosis predicts higher incidence of CRLM recurrence is not clear. Therefore, we aimed to determine the role of hepatic steatosis in CRLM recurrence in the present study. Consecutive CRLM patients undergoing curative treatment were retrospectively enrolled and CT liver-spleen attenuation ratio was used to detect the presence of hepatic steatosis. In patients with hepatic steatosis, we also detected the presence of fibrosis. Besides, a systematic literature search was performed to do meta-analysis to further analyze the association between hepatic steatosis and CRLM recurrence. A total of 195 eligible patients were included in our center. Patients with hepatic steatosis had a significantly worse overall ( = 0.0049) and hepatic recurrence-free survival (RFS) ( = 0.0012). Univariate and multivariate analysis confirmed its essential role in prediction of RFS. Besides, hepatic fibrosis is associated with worse overall RFS ( = 0.039) and hepatic RFS ( = 0.048). In meta-analysis, we included other four studies, with a total of 1,370 patients in the case group, and 3,735 patients in the control group. The odds ratio was 1.98 (95% CI: 1.25-3.14, = 0.004), indicating that patients with steatosis had a significantly higher incidence of CRLM recurrence. In summary, patients with hepatic steatosis had a significantly worse overall and hepatic RFS and it's associated with higher incidence of CRLM recurrence.

摘要

结直肠癌肝转移(CRLM)是结直肠癌导致死亡的主要原因。尽管在CRLM的治疗方面已付出巨大努力,但约60 - 70%的患者会出现肝复发。据报道,肝脂肪变性为转移提供了有利条件。然而,肝脂肪变性是否预示CRLM复发的更高发生率尚不清楚。因此,在本研究中我们旨在确定肝脂肪变性在CRLM复发中的作用。对接受根治性治疗的连续性CRLM患者进行回顾性纳入,并使用肝脏 - 脾脏CT衰减比来检测肝脂肪变性的存在。对于有肝脂肪变性的患者,我们还检测了纤维化的存在。此外,进行了系统的文献检索以进行荟萃分析,进一步分析肝脂肪变性与CRLM复发之间的关联。我们中心共纳入了195例符合条件的患者。有肝脂肪变性的患者总体生存率(P = 0.0049)和无肝复发生存率(RFS)(P = 0.0012)明显更差。单因素和多因素分析证实了其在预测RFS中的重要作用。此外,肝纤维化与总体RFS更差(P = 0.039)和肝RFS更差(P = 0.048)相关。在荟萃分析中,我们纳入了其他四项研究,病例组共有1370例患者,对照组有3735例患者。优势比为1.98(95%可信区间:1.25 - 3.14,P = 0.004),表明有脂肪变性的患者CRLM复发率明显更高。总之,有肝脂肪变性的患者总体和肝RFS明显更差,且与CRLM复发率更高相关。

https://cdn.ncbi.nlm.nih.gov/pmc/blobs/6656/7986714/7701429817e5/fonc-11-631943-g0001.jpg

文献检索

告别复杂PubMed语法,用中文像聊天一样搜索,搜遍4000万医学文献。AI智能推荐,让科研检索更轻松。

立即免费搜索

文件翻译

保留排版,准确专业,支持PDF/Word/PPT等文件格式,支持 12+语言互译。

免费翻译文档

深度研究

AI帮你快速写综述,25分钟生成高质量综述,智能提取关键信息,辅助科研写作。

立即免费体验