• 文献检索
  • 文档翻译
  • 深度研究
  • 学术资讯
  • Suppr Zotero 插件Zotero 插件
  • 邀请有礼
  • 套餐&价格
  • 历史记录
应用&插件
Suppr Zotero 插件Zotero 插件浏览器插件Mac 客户端Windows 客户端微信小程序
定价
高级版会员购买积分包购买API积分包
服务
文献检索文档翻译深度研究API 文档MCP 服务
关于我们
关于 Suppr公司介绍联系我们用户协议隐私条款
关注我们

Suppr 超能文献

核心技术专利:CN118964589B侵权必究
粤ICP备2023148730 号-1Suppr @ 2026

文献检索

告别复杂PubMed语法,用中文像聊天一样搜索,搜遍4000万医学文献。AI智能推荐,让科研检索更轻松。

立即免费搜索

文件翻译

保留排版,准确专业,支持PDF/Word/PPT等文件格式,支持 12+语言互译。

免费翻译文档

深度研究

AI帮你快速写综述,25分钟生成高质量综述,智能提取关键信息,辅助科研写作。

立即免费体验

银(I)-杂环卡宾配合物:具有广谱抗菌活性的胜利之选。

Silver (I) -Heterocyclic Carbene Complexes: A Winning and Broad Spectrum of Antimicrobial Properties.

机构信息

Institute of Crystallography (IC) CNR, Via Amendola 122/O, 70126 Bari, Italy.

Department of Biology, University of Naples "Federico II", via Cynthia, 80143 Naples, Italy.

出版信息

Int J Mol Sci. 2021 Mar 2;22(5):2497. doi: 10.3390/ijms22052497.

DOI:10.3390/ijms22052497
PMID:33801394
原文链接:https://pmc.ncbi.nlm.nih.gov/articles/PMC7958610/
Abstract

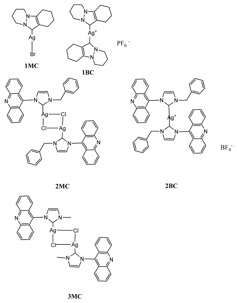
The evolution of antibacterial resistance has arisen as the main downside in fighting bacterial infections pushing researchers to develop novel, more potent and multimodal alternative drugs.Silver and its complexes have long been used as antimicrobial agents in medicine due to the lack of silver resistance and the effectiveness at low concentration as well as to their low toxicities compared to the most commonly used antibiotics. -Heterocyclic Carbenes (NHCs) have been extensively employed to coordinate transition metals mainly for catalytic chemistry. However, more recently, NHC ligands have been applied as carrier molecules for metals in anticancer applications. In the present study we selected from literature two NHC-carbene based on acridinescaffoldand detailed nonclassicalpyrazole derived mono NHC-Ag neutral and bis NHC-Ag cationic complexes. Their inhibitor effect on bacterial strains Gram-negative and positivewas evaluated. Imidazolium NHC silver complex containing the acridine chromophore showed effectiveness at extremely low MIC values. Although pyrazole NHC silver complexes are less active than the acridine NHC-silver, they represent the first example of this class of compounds with antimicrobial properties. Moreover all complexesare not toxic and they show not significant activity againstmammalian cells (Hek lines) after 4 and 24 h. Based on our experimental evidence, we are confident that this promising class of complexes could represent a valuable starting point for developing candidates for the treatment of bacterial infections, delivering great effectiveness and avoiding the development of resistance mechanisms.

摘要

抗菌耐药性的出现是抗菌感染斗争的主要弊端之一,促使研究人员开发新型、更有效、多模式的替代药物。由于缺乏银耐药性,且在低浓度下有效,并且与最常用的抗生素相比毒性较低,因此银及其复合物长期以来一直被用作医学中的抗菌剂。杂环卡宾(NHCs)已被广泛用于配位过渡金属,主要用于催化化学。然而,最近,NHC 配体已被应用于金属在抗癌应用中的载体分子。在本研究中,我们从文献中选择了两种基于吖啶骨架的 NHC-碳烯,并详细研究了非经典吡唑衍生的单 NHC-Ag 中性和双 NHC-Ag 阳离子配合物。评估了它们对革兰氏阴性和阳性菌菌株的抑制作用。含有吖啶发色团的咪唑 NHC 银配合物显示出在极低 MIC 值下的有效性。尽管吡唑 NHC 银配合物的活性不如吖啶 NHC-银配合物,但它们代表了具有抗菌特性的此类化合物的首例。此外,所有复合物均无毒,并且在 4 和 24 小时后对哺乳动物细胞(Hek 系)没有显著的活性。根据我们的实验证据,我们有信心,这种有前途的配合物类别可能成为治疗细菌感染的候选药物的有价值起点,提供巨大的疗效并避免耐药机制的发展。

https://cdn.ncbi.nlm.nih.gov/pmc/blobs/9e47/7958610/3e20478521d2/ijms-22-02497-g003.jpg
https://cdn.ncbi.nlm.nih.gov/pmc/blobs/9e47/7958610/dc72bf1999cb/ijms-22-02497-sch001.jpg
https://cdn.ncbi.nlm.nih.gov/pmc/blobs/9e47/7958610/8e23b1248286/ijms-22-02497-sch002.jpg
https://cdn.ncbi.nlm.nih.gov/pmc/blobs/9e47/7958610/26c21006257b/ijms-22-02497-g001.jpg
https://cdn.ncbi.nlm.nih.gov/pmc/blobs/9e47/7958610/47029082bae6/ijms-22-02497-g002.jpg
https://cdn.ncbi.nlm.nih.gov/pmc/blobs/9e47/7958610/3e20478521d2/ijms-22-02497-g003.jpg
https://cdn.ncbi.nlm.nih.gov/pmc/blobs/9e47/7958610/dc72bf1999cb/ijms-22-02497-sch001.jpg
https://cdn.ncbi.nlm.nih.gov/pmc/blobs/9e47/7958610/8e23b1248286/ijms-22-02497-sch002.jpg
https://cdn.ncbi.nlm.nih.gov/pmc/blobs/9e47/7958610/26c21006257b/ijms-22-02497-g001.jpg
https://cdn.ncbi.nlm.nih.gov/pmc/blobs/9e47/7958610/47029082bae6/ijms-22-02497-g002.jpg
https://cdn.ncbi.nlm.nih.gov/pmc/blobs/9e47/7958610/3e20478521d2/ijms-22-02497-g003.jpg

相似文献

1
Silver (I) -Heterocyclic Carbene Complexes: A Winning and Broad Spectrum of Antimicrobial Properties.银(I)-杂环卡宾配合物:具有广谱抗菌活性的胜利之选。
Int J Mol Sci. 2021 Mar 2;22(5):2497. doi: 10.3390/ijms22052497.
2
Recent Developments in the Medicinal Applications of Silver-NHC Complexes and Imidazolium Salts.银-NHC配合物和咪唑盐在医学应用中的最新进展
Molecules. 2017 Jul 27;22(8):1263. doi: 10.3390/molecules22081263.
3
Silver(I) complexes of mono- and bidentate N-heterocyclic carbene ligands: synthesis, crystal structures, and in vitro antibacterial and anticancer studies.单核和双齿 N-杂环卡宾配体的银(I)配合物:合成、晶体结构以及体外抗菌和抗癌研究。
Eur J Med Chem. 2015 Jan 27;90:82-92. doi: 10.1016/j.ejmech.2014.11.005. Epub 2014 Nov 4.
4
Structure-Activity Relationships in NHC-Silver Complexes as Antimicrobial Agents.NHC-银配合物作为抗菌剂的结构-活性关系。
Molecules. 2023 May 30;28(11):4435. doi: 10.3390/molecules28114435.
5
Silver-N-heterocyclic carbene complexes-catalyzed multicomponent reactions: Synthesis, spectroscopic characterization, density functional theory calculations, and antibacterial study.银-杂环卡宾配合物催化的多组分反应:合成、光谱表征、密度泛函理论计算和抗菌研究。
Arch Pharm (Weinheim). 2021 Sep;354(9):e2100111. doi: 10.1002/ardp.202100111. Epub 2021 Jun 15.
6
Synthesis and characterization of nitrile functionalized silver(I)-N-heterocyclic carbene complexes: DNA binding, cleavage studies, antibacterial properties and mosquitocidal activity against the dengue vector, Aedes albopictus.腈基官能化的银(I)-N-杂环卡宾配合物的合成与表征:DNA结合、切割研究、抗菌性能以及对登革热传播媒介白纹伊蚊的灭蚊活性。
Eur J Med Chem. 2018 Apr 25;150:601-615. doi: 10.1016/j.ejmech.2018.03.029. Epub 2018 Mar 13.
7
Novel benzyl-substituted N-heterocyclic carbene-silver acetate complexes: synthesis, cytotoxicity and antibacterial studies.新型苄基取代的 N-杂环卡宾-醋酸银配合物的合成、细胞毒性及抗菌研究。
Metallomics. 2011 Jan;3(1):74-88. doi: 10.1039/c0mt00034e. Epub 2010 Dec 6.
8
Design, Synthesis and Bioactivity Evaluation of Ag(I)-, Au(I)- and Au(III)-Quinoxaline-Wingtip N-Heterocyclic Carbene Complexes Against Antibiotic Resistant Bacterial Pathogens.设计、合成及喹喔啉翼端 N-杂环卡宾配合物的银(I)、金(I)和金(III)的生物活性评价 对抗生素耐药的细菌病原体。
ChemMedChem. 2024 Oct 16;19(20):e202400236. doi: 10.1002/cmdc.202400236. Epub 2024 Aug 20.
9
Synthesis, characterization and antimicrobial activities of novel silver(I) complexes with coumarin substituted N-heterocyclic carbene ligands.新型含香豆素取代的N-杂环卡宾配体的银(I)配合物的合成、表征及抗菌活性
Bioorg Med Chem. 2016 Feb 15;24(4):643-50. doi: 10.1016/j.bmc.2015.12.032. Epub 2015 Dec 18.
10
Well-defined N-heterocyclic carbene silver halides of 1-cyclohexyl-3-arylmethylimidazolylidenes: synthesis, structure and catalysis in A3-reaction of aldehydes, amines and alkynes.定义明确的 1-环己基-3-芳基甲基咪唑啉亚基 N-杂环卡宾卤化银:醛、胺和炔烃 A3 反应中的合成、结构和催化作用。
Dalton Trans. 2011 Mar 7;40(9):2046-52. doi: 10.1039/c0dt01074j. Epub 2011 Jan 24.

引用本文的文献

1
Silver -Heterocyclic Carbene (NHC) Complexes as Antimicrobial and/or Anticancer Agents.银-杂环卡宾(NHC)配合物作为抗菌和/或抗癌剂
Pharmaceuticals (Basel). 2024 Dec 25;18(1):9. doi: 10.3390/ph18010009.
2
Antimicrobial Activity and Mode of Action of N-Heterocyclic Carbene Silver(I) Complexes.N-杂环卡宾银(I)配合物的抗菌活性及作用方式
Molecules. 2024 Dec 28;30(1):76. doi: 10.3390/molecules30010076.
3
Heteroleptic Coumarin-Based Silver(I) Complexes: Possible New Antimicrobial Agents.基于异质配体香豆素的银(I)配合物:可能的新型抗菌剂。

本文引用的文献

1
Characterisation of EFV12 a bio-active small peptide produced by the human intestinal isolate SF1109.鉴定 SF1109 这一人源肠道分离菌所产生的具有生物活性的小分子肽 EFV12。
Benef Microbes. 2020 Dec 2;11(8):815-824. doi: 10.3920/BM2020.0124. Epub 2020 Nov 27.
2
Novel fast-acting pyrazole/pyridine-functionalized N-heterocyclic carbene silver complexes assembled with nanoparticles show enhanced safety and efficacy as anticancer therapeutics.新型快速作用的吡唑/吡啶功能化 N-杂环卡宾银配合物与纳米颗粒组装,显示出增强的安全性和作为抗癌治疗剂的疗效。
Dalton Trans. 2020 Feb 25;49(8):2505-2516. doi: 10.1039/c9dt04751d.
3
Human apolipoprotein E as a reservoir of cryptic bioactive peptides: The case of ApoE 133-167.
Molecules. 2024 Dec 15;29(24):5917. doi: 10.3390/molecules29245917.
4
Antimicrobial Activity of Water-Soluble Silver Complexes Bearing C-Scorpionate Ligands.含碳-蝎形配体的水溶性银配合物的抗菌活性
Antibiotics (Basel). 2024 Jul 13;13(7):647. doi: 10.3390/antibiotics13070647.
5
Silver Organometallics that are Highly Potent Thioredoxin and Glutathione Reductase Inhibitors: Exploring the Correlations of Solution Chemistry with the Strong Antibacterial Effects.高效的硫氧还蛋白和谷胱甘肽还原酶抑制剂的有机银配合物:探究溶液化学与强抗菌作用的相关性。
ACS Infect Dis. 2024 May 10;10(5):1753-1766. doi: 10.1021/acsinfecdis.4c00104. Epub 2024 Apr 12.
6
NHCs silver complexes as potential antimicrobial agents.N-杂环卡宾银配合物作为潜在的抗菌剂。
Inorganica Chim Acta. 2024 Apr 1;563. doi: 10.1016/j.ica.2023.121899. Epub 2023 Dec 27.
7
subsp. (Guss.) Jalas Essential Oil: An Ally against Oral Pathogens and Mouth Health.亚种(Guss.)Jalas 精油:对抗口腔病原体和口腔健康的盟友。
Molecules. 2023 Jun 16;28(12):4803. doi: 10.3390/molecules28124803.
8
Structure-Activity Relationships in NHC-Silver Complexes as Antimicrobial Agents.NHC-银配合物作为抗菌剂的结构-活性关系。
Molecules. 2023 May 30;28(11):4435. doi: 10.3390/molecules28114435.
9
Biological Activities of Ruthenium NHC Complexes: An Update.钌氮杂环卡宾配合物的生物活性:最新进展。
Antibiotics (Basel). 2023 Feb 9;12(2):365. doi: 10.3390/antibiotics12020365.
10
and Display Differential Proteomic Responses to the Silver(I) Compound, SBC3.并展示对银(I)化合物SBC3的差异蛋白质组学反应。
Antibiotics (Basel). 2023 Feb 8;12(2):348. doi: 10.3390/antibiotics12020348.
人类载脂蛋白E作为潜在生物活性肽的储存库:载脂蛋白E 133-167的案例
J Pept Sci. 2018 Jul;24(7):e3095. doi: 10.1002/psc.3095. Epub 2018 Jun 14.
4
New insights in Au-NHCs complexes as anticancer agents.金-氮杂环卡宾配合物作为抗癌剂的新见解。
Eur J Med Chem. 2018 Feb 25;146:709-746. doi: 10.1016/j.ejmech.2018.01.065. Epub 2018 Jan 31.
5
Novel human bioactive peptides identified in Apolipoprotein B: Evaluation of their therapeutic potential.载脂蛋白B中鉴定出的新型人类生物活性肽:其治疗潜力评估
Biochem Pharmacol. 2017 Apr 15;130:34-50. doi: 10.1016/j.bcp.2017.01.009. Epub 2017 Jan 25.
6
N-heterocyclic carbene metal complexes as bio-organometallic antimicrobial and anticancer drugs.作为生物有机金属抗菌和抗癌药物的氮杂环卡宾金属配合物
Future Med Chem. 2015;7(10):1305-33. doi: 10.4155/fmc.15.61.
7
The development and catalytic uses of N-heterocyclic carbene gold complexes.N-杂环卡宾金配合物的发展与催化应用。
Acc Chem Res. 2011 Feb 15;44(2):91-100. doi: 10.1021/ar1000764. Epub 2010 Oct 28.
8
Gold(I) analogues of a platinum-acridine antitumor agent are only moderately cytotoxic but show potent activity against Mycobacterium tuberculosis.一种铂 - 吖啶抗肿瘤药物的金(I)类似物仅具有中等细胞毒性,但对结核分枝杆菌显示出强效活性。
J Med Chem. 2009 Nov 12;52(21):6519-22. doi: 10.1021/jm9012856.
9
The medicinal applications of imidazolium carbene-metal complexes.咪唑鎓卡宾-金属配合物的医学应用。
Chem Rev. 2009 Aug;109(8):3859-84. doi: 10.1021/cr800500u.
10
Beyond conventional N-heterocyclic carbenes: abnormal, remote, and other classes of NHC ligands with reduced heteroatom stabilization.超越传统的N-杂环卡宾:具有降低的杂原子稳定性的异常、远程及其他类别的NHC配体
Chem Rev. 2009 Aug;109(8):3445-78. doi: 10.1021/cr8005087.