Suppr超能文献

用于电气连接的环氧谷氨酸与Sn-3.0 Ag-0.5 Cu焊粉反应的热化学机理

Thermochemical Mechanism of the Epoxy-Glutamic Acid Reaction with Sn-3.0 Ag-0.5 Cu Solder Powder for Electrical Joining.

作者信息

Choi Gwang-Mun, Jang Ki-Seok, Choi Kwang-Seong, Joo Jiho, Yun Ho-Gyeong, Lee Chanmi, Eom Yong-Sung

机构信息

ICT Creative Research Laboratory/Materials & Components Research Division/Emerging Materials Research Section at Electronics and Telecommunications Research Institute (ETRI), 218 Gajeong-ro, Yuseong-gu, Daejeon 34129, Korea.

出版信息

Polymers (Basel). 2021 Mar 20;13(6):957. doi: 10.3390/polym13060957.

Abstract

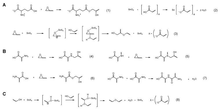
An epoxy-based solder paste (ESP) is a promising alternative to conventional solder pastes to improve the reliability of fine-pitch electrical joining because the epoxy encapsulates the solder joint. However, development of an appropriate epoxy formulation and investigation of its reaction mechanism with solder powder is challenging. In this study, we demonstrate a newly designed ESP consisting of diglycidyl ether of bisphenol F (DGEBF) resin, Sn-3.0 Ag-0.5 Cu (SAC305) solder powder, and L-glutamic acid (Glu), which is a proteinogenic amino acid for biosynthesis of proteins in living systems. The mechanism of the thermochemical reaction was explored and tentatively proposed, which reveals that the products of the reaction between SAC305 and Glu function as catalysts for the etherification of epoxides and alcohols produced by chemical bonding between DGEBF and Glu, consequently leading to highly crosslinked polymeric networks and an enhancement of impact resistance. Our findings provide further insight into the mechanism of the reaction between various formulations comprising an epoxy, amino acid, and solder powder, and their potential use as ESPs for electrical joining.

摘要

基于环氧树脂的焊膏(ESP)是一种很有前景的传统焊膏替代品,可提高细间距电气连接的可靠性,因为环氧树脂会包裹焊点。然而,开发合适的环氧树脂配方并研究其与焊锡粉的反应机理具有挑战性。在本研究中,我们展示了一种新设计的ESP,它由双酚F二缩水甘油醚(DGEBF)树脂、Sn-3.0 Ag-0.5 Cu(SAC305)焊锡粉和L-谷氨酸(Glu)组成,L-谷氨酸是生物系统中蛋白质生物合成的一种蛋白质ogenic氨基酸。探索并初步提出了热化学反应机理,结果表明SAC305与Glu反应的产物充当了由DGEBF与Glu之间化学键合产生的环氧化物和醇醚化反应的催化剂,从而导致高度交联的聚合物网络并提高抗冲击性。我们的研究结果为包含环氧树脂、氨基酸和焊锡粉的各种配方之间的反应机理及其作为电气连接ESP的潜在用途提供了进一步的见解。

https://cdn.ncbi.nlm.nih.gov/pmc/blobs/18b8/8003902/00b89c7c319e/polymers-13-00957-g001.jpg

文献检索

告别复杂PubMed语法,用中文像聊天一样搜索,搜遍4000万医学文献。AI智能推荐,让科研检索更轻松。

立即免费搜索

文件翻译

保留排版,准确专业,支持PDF/Word/PPT等文件格式,支持 12+语言互译。

免费翻译文档

深度研究

AI帮你快速写综述,25分钟生成高质量综述,智能提取关键信息,辅助科研写作。

立即免费体验