Suppr超能文献

脊髓损伤患者使用体机界面恢复远端手臂运动:概念验证研究。

Recovery of Distal Arm Movements in Spinal Cord Injured Patients with a Body-Machine Interface: A Proof-of-Concept Study.

机构信息

Department of Neuroscience, Rehabilitation, Ophthalmology, Genetics, Maternal and Child Health (DINOGMI), University of Genova, 16132 Genoa, Italy.

Department of Informatics, Bioengineering, Robotics and Systems Engineering (DIBRIS), University of Genoa, 16145 Genoa, Italy.

出版信息

Sensors (Basel). 2021 Mar 23;21(6):2243. doi: 10.3390/s21062243.

Abstract

BACKGROUND

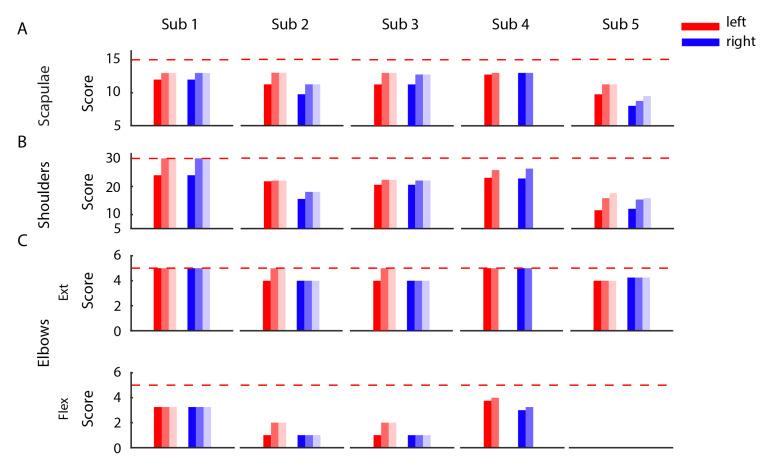
The recovery of upper limb mobility and functions is essential for people with cervical spinal cord injuries (cSCI) to maximize independence in daily activities and ensure a successful return to normality. The rehabilitative path should include a thorough neuromotor evaluation and personalized treatments aimed at recovering motor functions. Body-machine interfaces (BoMI) have been proven to be capable of harnessing residual joint motions to control objects like computer cursors and virtual or physical wheelchairs and to promote motor recovery. However, their therapeutic application has still been limited to shoulder movements. Here, we expanded the use of BoMI to promote the whole arm's mobility, with a special focus on elbow movements. We also developed an instrumented evaluation test and a set of kinematic indicators for assessing residual abilities and recovery.

METHODS

Five inpatient cSCI subjects (four acute, one chronic) participated in a BoMI treatment complementary to their standard rehabilitative routine. The subjects wore a BoMI with sensors placed on both proximal and distal arm districts and practiced for 5 weeks. The BoMI was programmed to promote symmetry between right and left arms use and the forearms' mobility while playing games. To evaluate the effectiveness of the treatment, the subjects' kinematics were recorded while performing an evaluation test that involved functional bilateral arms movements, before, at the end, and three months after training.

RESULTS

At the end of the training, all subjects learned to efficiently use the interface despite being compelled by it to engage their most impaired movements. The subjects completed the training with bilateral symmetry in body recruitment, already present at the end of the familiarization, and they increased the forearm activity. The instrumental evaluation confirmed this. The elbow motion's angular amplitude improved for all subjects, and other kinematic parameters showed a trend towards the normality range.

CONCLUSION

The outcomes are preliminary evidence supporting the efficacy of the proposed BoMI as a rehabilitation tool to be considered for clinical practice. It also suggests an instrumental evaluation protocol and a set of indicators to assess and evaluate motor impairment and recovery in cSCI.

摘要

背景

对于患有颈脊髓损伤(cSCI)的患者来说,上肢运动功能的恢复对于最大限度地提高日常生活的独立性和确保成功回归正常至关重要。康复路径应包括彻底的神经运动评估和个性化治疗,旨在恢复运动功能。人机界面(BoMI)已被证明能够利用残余关节运动来控制计算机光标和虚拟或物理轮椅等物体,并促进运动功能的恢复。然而,其治疗应用仍然仅限于肩部运动。在这里,我们扩展了 BoMI 的使用范围,以促进整个手臂的运动能力,特别关注肘部运动。我们还开发了一种仪器评估测试和一组运动学指标,用于评估残余能力和恢复情况。

方法

五名住院的 cSCI 受试者(四例急性,一例慢性)参与了一项补充标准康复常规的 BoMI 治疗。受试者佩戴带有传感器的 BoMI,传感器分别放置在上臂和下臂区域,并进行了 5 周的练习。BoMI 被编程为通过玩游戏来促进左右手臂使用的对称性和前臂的运动能力。为了评估治疗效果,在训练前、结束时和训练后三个月,对受试者进行评估测试,记录其运动学,该测试涉及双侧手臂的功能运动。

结果

在训练结束时,尽管受试者被迫使用最受损的运动,但他们都学会了高效地使用该接口。受试者在训练结束时已经完成了双侧身体募集的对称性,并且增加了前臂的活动度。仪器评估证实了这一点。所有受试者的肘部运动角度幅度都有所改善,其他运动学参数也显示出向正常范围的趋势。

结论

这些结果初步证明了所提出的 BoMI 作为一种康复工具的有效性,可以考虑将其应用于临床实践。它还提出了一种仪器评估方案和一组指标,用于评估和评估 cSCI 中的运动障碍和恢复情况。

https://cdn.ncbi.nlm.nih.gov/pmc/blobs/33ca/8004832/c82034a08e71/sensors-21-02243-g001.jpg

文献检索

告别复杂PubMed语法,用中文像聊天一样搜索,搜遍4000万医学文献。AI智能推荐,让科研检索更轻松。

立即免费搜索

文件翻译

保留排版,准确专业,支持PDF/Word/PPT等文件格式,支持 12+语言互译。

免费翻译文档

深度研究

AI帮你快速写综述,25分钟生成高质量综述,智能提取关键信息,辅助科研写作。

立即免费体验