Departamento de Ingeniería Química y Textil, Facultad de Ciencias Químicas, Universidad de Salamanca, 37008 Salamanca, Spain.
Int J Mol Sci. 2021 Mar 19;22(6):3161. doi: 10.3390/ijms22063161.
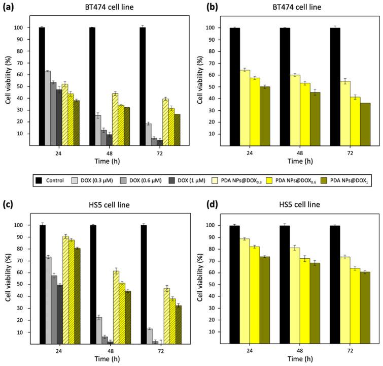
Ferroptosis is gaining followers as mechanism of selective killing cancer cells in a non-apoptotic manner, and novel nanosystems capable of inducing this iron-dependent death are being increasingly developed. Among them, polydopamine nanoparticles (PDA NPs) are arousing interest, since they have great capability of chelating iron. In this work, PDA NPs were loaded with Fe at different pH values to assess the importance that the pH may have in determining their therapeutic activity and selectivity. In addition, doxorubicin was also loaded to the nanoparticles to achieve a synergist effect. The in vitro assays that were performed with the BT474 and HS5 cell lines showed that, when Fe was adsorbed in PDA NPs at pH values close to which Fe(OH) begins to be formed, these nanoparticles had greater antitumor activity and selectivity despite having chelated a smaller amount of Fe. Otherwise, it was demonstrated that Fe could be released in the late endo/lysosomes thanks to their acidic pH and their Ca content, and that when Fe was co-transported with doxorubicin, the therapeutic activity of PDA NPs was enhanced. Thus, reported PDA NPs loaded with both Fe and doxorubicin may constitute a good approach to target breast tumors.
铁死亡作为一种非凋亡方式选择性杀死癌细胞的机制,正受到越来越多的关注,并且新型能够诱导这种铁依赖性死亡的纳米系统也在不断被开发。其中,聚多巴胺纳米颗粒(PDA NPs)由于其强大的螯合铁的能力而引起了人们的兴趣。在这项工作中,我们在不同 pH 值下用 Fe 负载 PDA NPs,以评估 pH 值在确定其治疗活性和选择性方面的重要性。此外,还将阿霉素载入纳米颗粒以实现协同作用。我们用 BT474 和 HS5 细胞系进行的体外实验表明,当 Fe 在接近开始形成 Fe(OH) 的 pH 值下被吸附在 PDA NPs 中时,尽管螯合了较少的 Fe,但这些纳米颗粒具有更大的抗肿瘤活性和选择性。此外,还证明了由于它们的酸性 pH 值和 Ca 含量,Fe 可以在晚期内体/溶酶体中释放,并且当 Fe 与阿霉素共转运时,PDA NPs 的治疗活性会增强。因此,报道的负载 Fe 和阿霉素的 PDA NPs 可能是一种针对乳腺癌的有效方法。