Suppr超能文献

吲哚美辛治疗进展的脂质制剂和生物缀合策略。

Lipid Formulations and Bioconjugation Strategies for Indomethacin Therapeutic Advances.

机构信息

Department of Chemistry, Wrocław University of Environmental and Life Sciences, Norwida 25, 50-375 Wrocław, Poland.

出版信息

Molecules. 2021 Mar 12;26(6):1576. doi: 10.3390/molecules26061576.

Abstract

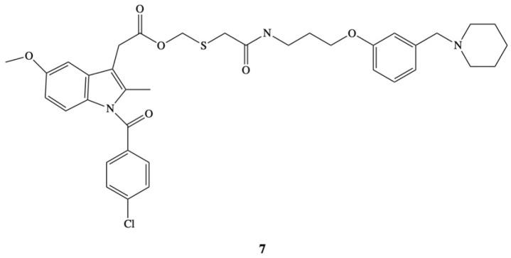
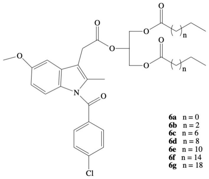
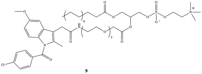
Indomethacin (IND) is a drug which after successful clinical trials became available for general prescription in 1965 and from that time is one of the most widely used anti-inflammatory drug with the highest potencies in the in vitro and in vivo models. However, despite its high therapeutic efficacy in relieving the symptoms of certain arthritis and in treating gout or collagen diseases, administration of IND causes a number of adverse effects, such as gastrointestinal ulceration, frequent central nervous system disorders and renal toxicity. These obstacles significantly limit the practical applications of IND and make that 10-20% of patients discontinue its use. Therefore, during the last three decades many attempts have been made to design novel formulations of IND aimed to increase its therapeutic benefits minimizing its adverse effects. In this review we summarize pharmacological information about IND and analyze its new lipid formulations and lipid bioconjugates as well as discuss their efficacy and potential application.

摘要

吲哚美辛(IND)是一种药物,经过成功的临床试验,于 1965 年开始普遍处方使用,从那时起,它是最广泛使用的抗炎药物之一,具有体外和体内模型中最高的效力。然而,尽管它在缓解某些关节炎症状和治疗痛风或胶原疾病方面具有很高的治疗效果,但 IND 的给药会引起许多不良反应,如胃肠道溃疡、频繁的中枢神经系统紊乱和肾毒性。这些障碍极大地限制了 IND 的实际应用,使 10-20%的患者停止使用它。因此,在过去的三十年中,人们已经做出了许多尝试,设计了 IND 的新型制剂,旨在通过最小化其不良反应来提高其治疗效果。在这篇综述中,我们总结了关于 IND 的药理学信息,并分析了它的新型脂质制剂和脂质生物缀合物,以及讨论了它们的疗效和潜在应用。

https://cdn.ncbi.nlm.nih.gov/pmc/blobs/c151/7998224/a9d1ef1c73bf/molecules-26-01576-g001.jpg

文献AI研究员

20分钟写一篇综述,助力文献阅读效率提升50倍。

立即体验

用中文搜PubMed

大模型驱动的PubMed中文搜索引擎

马上搜索

文档翻译

学术文献翻译模型,支持多种主流文档格式。

立即体验