Food Biotechnology Platform Promoting Project, New Industry Creation Hatchery Center (NICHe), Tohoku University.
Proc Jpn Acad Ser B Phys Biol Sci. 2021;97(4):161-196. doi: 10.2183/pjab.97.010.
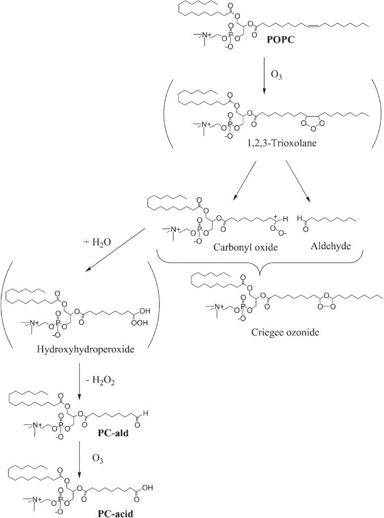
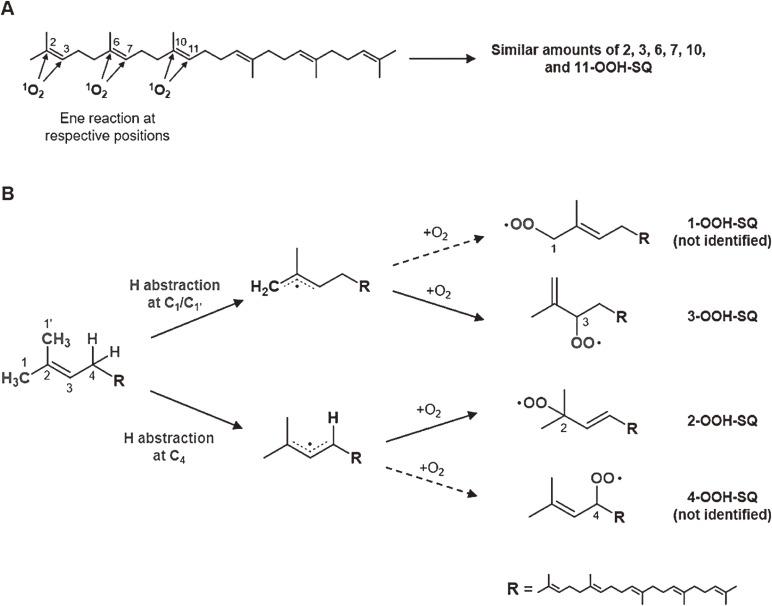
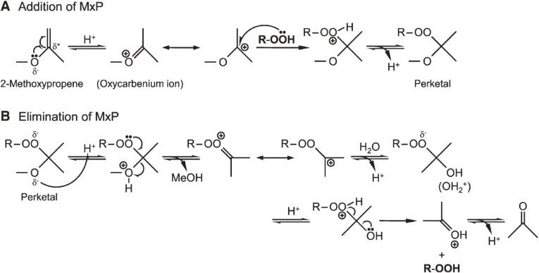
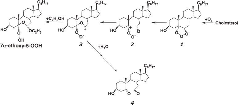
Research on lipid peroxidation in food degradation, oil and fat nutrition, and age-related diseases has gained significant international attention for the view of improvement of societal health and longevity. In order to promote basic studies on these topics, a chemiluminescence detection-high performance liquid chromatography instrument using a high-sensitivity single photon counter as a detector was developed. This instrument enabled us to selectively detect and quantify lipid hydroperoxides, a primary product of lipid peroxidation reactions, as hydroperoxide groups at the lipid class level. Furthermore, an analytical method using liquid chromatography-tandem mass spectrometry has been established to discriminate the position and stereoisomerization of hydroperoxide groups in lipid hydroperoxides. Using these two methods, the reaction mechanisms of lipid peroxidation in food and in the body have been confirmed.
食品降解、油脂营养和与年龄相关疾病中的脂质过氧化研究,由于对改善社会健康和长寿的观点,引起了国际上的广泛关注。为了促进这些课题的基础研究,我们开发了一种化学发光检测-高效液相色谱仪,使用高灵敏度单光子计数器作为检测器。该仪器使我们能够选择性地检测和定量脂质过氧化物,这是脂质过氧化反应的主要产物,作为脂质类水平的过氧化物基团。此外,还建立了一种使用液相色谱-串联质谱法来区分脂质过氧化物中过氧化物基团的位置和立体异构的分析方法。使用这两种方法,证实了食品和体内脂质过氧化的反应机制。