• 文献检索
  • 文档翻译
  • 深度研究
  • 学术资讯
  • Suppr Zotero 插件Zotero 插件
  • 邀请有礼
  • 套餐&价格
  • 历史记录
应用&插件
Suppr Zotero 插件Zotero 插件浏览器插件Mac 客户端Windows 客户端微信小程序
定价
高级版会员购买积分包购买API积分包
服务
文献检索文档翻译深度研究API 文档MCP 服务
关于我们
关于 Suppr公司介绍联系我们用户协议隐私条款
关注我们

Suppr 超能文献

核心技术专利:CN118964589B侵权必究
粤ICP备2023148730 号-1Suppr @ 2026

文献检索

告别复杂PubMed语法,用中文像聊天一样搜索,搜遍4000万医学文献。AI智能推荐,让科研检索更轻松。

立即免费搜索

文件翻译

保留排版,准确专业,支持PDF/Word/PPT等文件格式,支持 12+语言互译。

免费翻译文档

深度研究

AI帮你快速写综述,25分钟生成高质量综述,智能提取关键信息,辅助科研写作。

立即免费体验

用于鉴定具有前列腺癌诊断潜力的微小RNA的细胞外囊泡的高通量自动化声学捕获

High-Throughput and Automated Acoustic Trapping of Extracellular Vesicles to Identify microRNAs With Diagnostic Potential for Prostate Cancer.

作者信息

Ku Anson, Fredsøe Jacob, Sørensen Karina D, Borre Michael, Evander Mikael, Laurell Thomas, Lilja Hans, Ceder Yvonne

机构信息

Department of Translational Medicine, Lund University, Malmö, Sweden.

Department of Molecular Medicine, Aarhus University Hospital, Aarhus, Denmark & Department of Clinical Medicine, Aarhus University, Aarhus, Denmark.

出版信息

Front Oncol. 2021 Mar 25;11:631021. doi: 10.3389/fonc.2021.631021. eCollection 2021.

DOI:10.3389/fonc.2021.631021
PMID:33842337
原文链接:https://pmc.ncbi.nlm.nih.gov/articles/PMC8029979/
Abstract

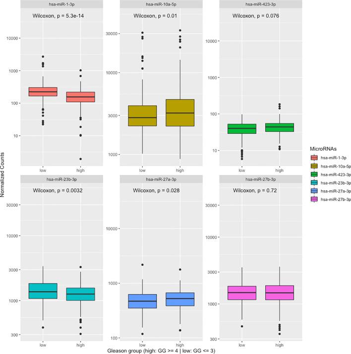
Molecular profiling of extracellular vesicles (EVs) offers novel opportunities for diagnostic applications, but the current major obstacle for clinical translation is the lack of efficient, robust, and reproducible isolation methods. To bridge that gap, we developed a microfluidic, non-contact, and low-input volume compatible acoustic trapping technology for EV isolation that enabled downstream small RNA sequencing. In the current study, we have further automated the acoustic microfluidics-based EV enrichment technique that enables us to serially process 32 clinical samples per run. We utilized the system to enrich EVs from urine collected as the first morning void from 207 men referred to 10-core prostate biopsy performed the same day. Using automated acoustic trapping, we successfully enriched EVs from 199/207 samples (96%). After RNA extraction, size selection, and library preparation, a total of 173/199 samples (87%) provided sufficient materials for next-generation sequencing that generated an average of 2 × 10 reads per sample mapping to the human reference genome. The predominant RNA species identified were fragments of long RNAs such as protein coding and retained introns, whereas small RNAs such as microRNAs (miRNA) accounted for less than 1% of the reads suggesting that partially degraded long RNAs out-competed miRNAs during sequencing. We found that the expression of six miRNAs was significantly different (P < 0.05) in EVs isolated from patients found to have high grade prostate cancer [ISUP 2005 Grade Group (GG) 4 or higher] compared to those with GG3 or lower, including those with no evidence of prostate cancer at biopsy. These included miR-23b-3p, miR-27a-3p, and miR-27b-3p showing higher expression in patients with GG4 or high grade prostate cancer, whereas miR-1-3p, miR-10a-5p, and miR-423-3p had lower expression in the GG4 PCa cases. Cross referencing our differentially expressed miRNAs to two large prostate cancer datasets revealed that the putative tumor suppressors miR-1, miR-23b, and miR-27a are consistently deregulated in prostate cancer. Taken together, this is the first time that our automated microfluidic EV enrichment technique has been found to be capable of enriching EVs on a large scale from 900 μl of urine for small RNA sequencing in a robust and disease discriminatory manner.

摘要

细胞外囊泡(EVs)的分子谱分析为诊断应用提供了新的机会,但目前临床转化的主要障碍是缺乏高效、可靠且可重复的分离方法。为了弥补这一差距,我们开发了一种用于EV分离的微流控、非接触且低输入体积兼容的声学捕获技术,该技术能够进行下游的小RNA测序。在本研究中,我们进一步自动化了基于声学微流控的EV富集技术,使我们能够每次运行连续处理32个临床样本。我们利用该系统从207名当天接受10芯前列腺活检的男性晨尿中富集EVs。使用自动化声学捕获,我们成功地从199/207个样本(96%)中富集了EVs。经过RNA提取、大小选择和文库制备后,共有173/199个样本(87%)提供了足够的材料用于下一代测序,每个样本平均产生2×10个映射到人类参考基因组的读数。鉴定出的主要RNA种类是长RNA片段,如蛋白质编码片段和保留的内含子,而小RNA如微小RNA(miRNA)占读数的比例不到1%,这表明在测序过程中部分降解的长RNA比miRNA更具竞争力。我们发现,与ISUP 2005分级组(GG)3或更低的患者(包括活检时无前列腺癌证据的患者)相比,从患有高级别前列腺癌(ISUP 2005分级组4级或更高)的患者中分离出的EVs中,六种miRNA的表达存在显著差异(P<0.05)。其中包括miR-23b-3p、miR-27a-3p和miR-27b-3p在GG4或高级别前列腺癌患者中表达较高,而miR-1-3p、miR-10a-5p和miR-423-3p在GG4前列腺癌病例中表达较低。将我们差异表达的miRNA与两个大型前列腺癌数据集进行交叉参考发现,假定的肿瘤抑制因子miR-1、miR-23b和miR-27a在前列腺癌中一直存在失调。综上所述,这是首次发现我们的自动化微流控EV富集技术能够以稳健且具有疾病区分能力的方式从900微升尿液中大规模富集EVs用于小RNA测序。

https://cdn.ncbi.nlm.nih.gov/pmc/blobs/fa76/8029979/0bd577234bd5/fonc-11-631021-g008.jpg
https://cdn.ncbi.nlm.nih.gov/pmc/blobs/fa76/8029979/29b7e34e3636/fonc-11-631021-g001.jpg
https://cdn.ncbi.nlm.nih.gov/pmc/blobs/fa76/8029979/85450faefdc2/fonc-11-631021-g002.jpg
https://cdn.ncbi.nlm.nih.gov/pmc/blobs/fa76/8029979/f1359d2132ec/fonc-11-631021-g003.jpg
https://cdn.ncbi.nlm.nih.gov/pmc/blobs/fa76/8029979/a45df2c75e69/fonc-11-631021-g004.jpg
https://cdn.ncbi.nlm.nih.gov/pmc/blobs/fa76/8029979/4f0be21f9c58/fonc-11-631021-g005.jpg
https://cdn.ncbi.nlm.nih.gov/pmc/blobs/fa76/8029979/7504f2f46c88/fonc-11-631021-g006.jpg
https://cdn.ncbi.nlm.nih.gov/pmc/blobs/fa76/8029979/7aded075602e/fonc-11-631021-g007.jpg
https://cdn.ncbi.nlm.nih.gov/pmc/blobs/fa76/8029979/0bd577234bd5/fonc-11-631021-g008.jpg
https://cdn.ncbi.nlm.nih.gov/pmc/blobs/fa76/8029979/29b7e34e3636/fonc-11-631021-g001.jpg
https://cdn.ncbi.nlm.nih.gov/pmc/blobs/fa76/8029979/85450faefdc2/fonc-11-631021-g002.jpg
https://cdn.ncbi.nlm.nih.gov/pmc/blobs/fa76/8029979/f1359d2132ec/fonc-11-631021-g003.jpg
https://cdn.ncbi.nlm.nih.gov/pmc/blobs/fa76/8029979/a45df2c75e69/fonc-11-631021-g004.jpg
https://cdn.ncbi.nlm.nih.gov/pmc/blobs/fa76/8029979/4f0be21f9c58/fonc-11-631021-g005.jpg
https://cdn.ncbi.nlm.nih.gov/pmc/blobs/fa76/8029979/7504f2f46c88/fonc-11-631021-g006.jpg
https://cdn.ncbi.nlm.nih.gov/pmc/blobs/fa76/8029979/7aded075602e/fonc-11-631021-g007.jpg
https://cdn.ncbi.nlm.nih.gov/pmc/blobs/fa76/8029979/0bd577234bd5/fonc-11-631021-g008.jpg

相似文献

1
High-Throughput and Automated Acoustic Trapping of Extracellular Vesicles to Identify microRNAs With Diagnostic Potential for Prostate Cancer.用于鉴定具有前列腺癌诊断潜力的微小RNA的细胞外囊泡的高通量自动化声学捕获
Front Oncol. 2021 Mar 25;11:631021. doi: 10.3389/fonc.2021.631021. eCollection 2021.
2
miR-10a-5p and miR-29b-3p as Extracellular Vesicle-Associated Prostate Cancer Detection Markers.miR-10a-5p和miR-29b-3p作为细胞外囊泡相关的前列腺癌检测标志物
Cancers (Basel). 2019 Dec 21;12(1):43. doi: 10.3390/cancers12010043.
3
Small RNA sequencing of extracellular vesicles identifies circulating miRNAs related to inflammation and oxidative stress in HIV patients.外泌体的小 RNA 测序鉴定出与 HIV 患者炎症和氧化应激相关的循环 miRNA。
BMC Immunol. 2020 Nov 11;21(1):57. doi: 10.1186/s12865-020-00386-5.
4
Circulating extracellular vesicles and small non-coding RNAs cargo in idiopathic inflammatory myopathies reveal differences across myositis subsets.循环细胞外囊泡和小非编码 RNA 货物在特发性炎性肌病中的差异揭示了肌炎亚群的不同。
J Autoimmun. 2024 Jul;147:103255. doi: 10.1016/j.jaut.2024.103255. Epub 2024 May 25.
5
Acoustic Enrichment of Extracellular Vesicles from Biological Fluids.从生物流体中富集细胞外囊泡的声学方法。
Anal Chem. 2018 Jul 3;90(13):8011-8019. doi: 10.1021/acs.analchem.8b00914. Epub 2018 Jun 11.
6
Development of acoustically isolated extracellular plasma vesicles for biomarker discovery in allogeneic hematopoietic stem cell transplantation.用于异基因造血干细胞移植生物标志物发现的声学隔离细胞外血浆囊泡的开发。
Biomark Res. 2021 Jan 19;9(1):6. doi: 10.1186/s40364-020-00259-4.
7
MiR-30b-3p and miR-126-3p of urinary extracellular vesicles could be new biomarkers for prostate cancer.尿液细胞外囊泡中的MiR-30b-3p和MiR-126-3p可能成为前列腺癌的新型生物标志物。
Transl Androl Urol. 2021 Apr;10(4):1918-1927. doi: 10.21037/tau-20-421.
8
Small RNA deep sequencing discriminates subsets of extracellular vesicles released by melanoma cells--Evidence of unique microRNA cargos.小RNA深度测序可区分黑色素瘤细胞释放的细胞外囊泡亚群——独特微小RNA载荷的证据
RNA Biol. 2015;12(8):810-23. doi: 10.1080/15476286.2015.1056975.
9
miRNA profiling of circulating EpCAM(+) extracellular vesicles: promising biomarkers of colorectal cancer.循环 EpCAM(+)细胞外囊泡的 miRNA 谱分析:结直肠癌有前途的生物标志物。
J Extracell Vesicles. 2016 Aug 29;5:31488. doi: 10.3402/jev.v5.31488. eCollection 2016.
10
Urinary extracellular vesicle-derived miR-126-3p predicts lymph node invasion in patients with high-risk prostate cancer.尿细胞外囊泡衍生的miR-126-3p可预测高危前列腺癌患者的淋巴结浸润。
Res Sq. 2024 Mar 29:rs.3.rs-4164213. doi: 10.21203/rs.3.rs-4164213/v1.

引用本文的文献

1
An Integrated Digital Microfluidic Device for the Extraction and Detection of Extracellular Vesicle-Based Molecules.一种用于提取和检测基于细胞外囊泡的分子的集成数字微流控装置。
Small. 2025 Jul 31:e04335. doi: 10.1002/smll.202504335.
2
Proteomic Profiling of Acoustically Isolated Extracellular Vesicles from Blood Plasma during Murine Bacterial Sepsis.小鼠细菌性败血症期间血浆中声学分离的细胞外囊泡的蛋白质组学分析
J Proteome Res. 2025 Aug 1;24(8):4126-4138. doi: 10.1021/acs.jproteome.5c00267. Epub 2025 Jul 11.
3
The value of a panel of circulating microRNAs in screening prostate cancer.

本文引用的文献

1
Rapid and label-free isolation of small extracellular vesicles from biofluids utilizing a novel insulator based dielectrophoretic device.利用基于新型绝缘体的介电泳装置快速、无标记地从生物流体中分离小细胞外囊泡。
Lab Chip. 2019 Nov 7;19(21):3726-3734. doi: 10.1039/c9lc00902g. Epub 2019 Oct 7.
2
An integrated microfluidic system for on-chip enrichment and quantification of circulating extracellular vesicles from whole blood.一种用于从全血中芯片上富集和定量循环细胞外囊泡的集成微流控系统。
Lab Chip. 2019 Oct 7;19(19):3305-3315. doi: 10.1039/c9lc00624a. Epub 2019 Sep 9.
3
Distinct mechanisms of microRNA sorting into cancer cell-derived extracellular vesicle subtypes.
一组循环微小RNA在前列腺癌筛查中的价值
Transl Cancer Res. 2024 Feb 29;13(2):686-698. doi: 10.21037/tcr-23-1313. Epub 2024 Feb 23.
4
Unveiling the Dichotomy of Urinary Proteins: Diagnostic Insights into Breast and Prostate Cancer and Their Roles.揭示尿液蛋白质的二分法:对乳腺癌和前列腺癌的诊断见解及其作用
Proteomes. 2023 Dec 26;12(1):1. doi: 10.3390/proteomes12010001.
5
Validation of potential RNA biomarkers for prostate cancer diagnosis and monitoring in plasma and urinary extracellular vesicles.用于前列腺癌诊断和血浆及尿液细胞外囊泡监测的潜在RNA生物标志物的验证
Front Mol Biosci. 2023 Nov 30;10:1279854. doi: 10.3389/fmolb.2023.1279854. eCollection 2023.
6
Prostate cancer-derived small extracellular vesicle proteins: the hope in diagnosis, prognosis, and therapeutics.前列腺癌来源的小细胞外囊泡蛋白:在诊断、预后和治疗中的希望。
J Nanobiotechnology. 2023 Dec 14;21(1):480. doi: 10.1186/s12951-023-02219-0.
7
Dynamic Role of Exosome microRNAs in Cancer Cell Signaling and Their Emerging Role as Noninvasive Biomarkers.外泌体微小RNA在癌细胞信号传导中的动态作用及其作为非侵入性生物标志物的新作用
Biology (Basel). 2023 May 12;12(5):710. doi: 10.3390/biology12050710.
8
Microfluidic Strategies for Extracellular Vesicle Isolation: Towards Clinical Applications.微流控策略用于细胞外囊泡的分离:迈向临床应用。
Biosensors (Basel). 2022 Dec 29;13(1):50. doi: 10.3390/bios13010050.
9
Micro-RNAs from Plasma-Derived Small Extracellular Vesicles as Potential Biomarkers for Tic Disorders Diagnosis.源自血浆的小细胞外囊泡中的微小RNA作为抽动障碍诊断的潜在生物标志物
Brain Sci. 2022 Jun 26;12(7):829. doi: 10.3390/brainsci12070829.
10
Urinary microRNAs and Their Significance in Prostate Cancer Diagnosis: A 5-Year Update.尿微小RNA及其在前列腺癌诊断中的意义:五年进展
Cancers (Basel). 2022 Jun 28;14(13):3157. doi: 10.3390/cancers14133157.
微小 RNA 分选进入癌细胞衍生的细胞外囊泡亚型的不同机制。
Elife. 2019 Aug 22;8:e47544. doi: 10.7554/eLife.47544.
4
A urinary extracellular vesicle microRNA biomarker discovery pipeline; from automated extracellular vesicle enrichment by acoustic trapping to microRNA sequencing.尿液细胞外囊泡 microRNA 生物标志物发现流程;从自动声捕获细胞外囊泡富集到 microRNA 测序。
PLoS One. 2019 May 29;14(5):e0217507. doi: 10.1371/journal.pone.0217507. eCollection 2019.
5
Fully Automated, Label-Free Isolation of Extracellular Vesicles from Whole Blood for Cancer Diagnosis and Monitoring.全自动、无标记从全血中分离用于癌症诊断和监测的细胞外囊泡。
Theranostics. 2019 Mar 7;9(7):1851-1863. doi: 10.7150/thno.32438. eCollection 2019.
6
A five-microRNA model (pCaP) for predicting prostate cancer aggressiveness using cell-free urine.基于细胞游离尿的五miRNA 模型(pCaP)预测前列腺癌侵袭性
Int J Cancer. 2019 Nov 1;145(9):2558-2567. doi: 10.1002/ijc.32296. Epub 2019 Apr 8.
7
Independent Validation of a Diagnostic Noninvasive 3-MicroRNA Ratio Model () for Prostate Cancer in Cell-Free Urine.循环游离三 miRNA 比值模型对前列腺癌的诊断效能独立验证
Clin Chem. 2019 Apr;65(4):540-548. doi: 10.1373/clinchem.2018.296681. Epub 2019 Feb 6.
8
Pan-cancer characterisation of microRNA across cancer hallmarks reveals microRNA-mediated downregulation of tumour suppressors.跨癌症特征的 pan-cancer 微小 RNA 特征分析揭示了微小 RNA 介导的肿瘤抑制因子下调。
Nat Commun. 2018 Dec 7;9(1):5228. doi: 10.1038/s41467-018-07657-1.
9
MiR-10a functions as a tumor suppressor in prostate cancer via targeting KDM4A.miR-10a 通过靶向 KDM4A 在前列腺癌中发挥肿瘤抑制作用。
J Cell Biochem. 2019 Apr;120(4):4987-4997. doi: 10.1002/jcb.27774. Epub 2018 Oct 9.
10
Grade Groups Provide Improved Predictions of Pathological and Early Oncologic Outcomes Compared with Gleason Score Risk Groups.分级分组比格里森风险组能更好地预测病理和早期肿瘤学结果。
J Urol. 2019 Feb;201(2):278-283. doi: 10.1016/j.juro.2018.08.081.