• 文献检索
  • 文档翻译
  • 深度研究
  • 学术资讯
  • Suppr Zotero 插件Zotero 插件
  • 邀请有礼
  • 套餐&价格
  • 历史记录
应用&插件
Suppr Zotero 插件Zotero 插件浏览器插件Mac 客户端Windows 客户端微信小程序
定价
高级版会员购买积分包购买API积分包
服务
文献检索文档翻译深度研究API 文档MCP 服务
关于我们
关于 Suppr公司介绍联系我们用户协议隐私条款
关注我们

Suppr 超能文献

核心技术专利:CN118964589B侵权必究
粤ICP备2023148730 号-1Suppr @ 2026

文献检索

告别复杂PubMed语法,用中文像聊天一样搜索,搜遍4000万医学文献。AI智能推荐,让科研检索更轻松。

立即免费搜索

文件翻译

保留排版,准确专业,支持PDF/Word/PPT等文件格式,支持 12+语言互译。

免费翻译文档

深度研究

AI帮你快速写综述,25分钟生成高质量综述,智能提取关键信息,辅助科研写作。

立即免费体验

纳米涂层处理对蘑菇理化参数和微生物种群的影响

Enhancement in physicochemical parameters and microbial populations of mushrooms as influenced by nano-coating treatments.

作者信息

Sami Rokayya, Elhakem Abeer, Almushhin Amina, Alharbi Mona, Almatrafi Manal, Benajiba Nada, Fikry Mohammad, Helal Mahmoud

机构信息

Department of Food Science and Nutrition, College of Sciences, Taif University, P.O. 11099, Taif, 21944, Saudi Arabia.

Department of Biology, College of Science and Humanities in Al-Kharj, Prince Sattam Bin Abdulaziz University, Al-Kharj, 11942, Saudi Arabia.

出版信息

Sci Rep. 2021 Apr 12;11(1):7915. doi: 10.1038/s41598-021-87053-w.

DOI:10.1038/s41598-021-87053-w
PMID:33846473
原文链接:https://pmc.ncbi.nlm.nih.gov/articles/PMC8041846/
Abstract

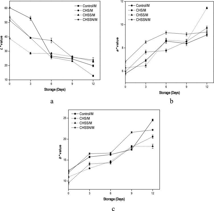
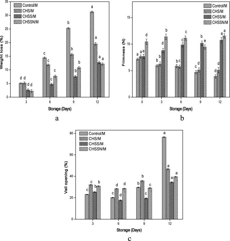
White button mushrooms are greatly high perishable and can deteriorate within a few days after harvesting due to physicomechanical damage, respiration, microbial growth of the delicate epidermal structure. For that reason, the present research work was applied to evaluate the effect of chitosan combination with nano-coating treatments on physicochemical parameters and microbial populations on button mushrooms at chilling storage. Nano coating with the addition of nisin 1% (CHSSN/M) established the minimum value for weight loss 12.18%, maintained firmness 11.55 N, and color index profile. Moreover, O% rate of (CHSSN/M) mushrooms was the lowest at 1.78%; while the highest rate was reported for CO 24.88% compared to the untreated samples (Control/M) on day 12. Both pH and total soluble solid concentrations increased during storage. Results reported that the (CHSS/M) mushroom significantly (P < 0.05) reduced polyphenol oxidase activity (24.31 U mg Protein) compared with (Control/M) mushrooms that increased faster than the treated samples. (CHSSN/M) treatment was the most efficient in the reduction of yeast and mold, aerobic plate microorganisms (5.27-5.10 log CFU/g), respectively. The results established that nano-coating film might delay the aging degree and accompany by marked prolongation of postharvest mushroom freshness.

摘要

白色双孢蘑菇极易腐烂,由于物理机械损伤、呼吸作用以及其脆弱表皮结构上微生物的生长,在收获后的几天内就会变质。因此,本研究旨在评估壳聚糖与纳米涂层处理相结合对冷藏双孢蘑菇理化参数和微生物数量的影响。添加1%乳链菌肽的纳米涂层(CHSSN/M)使失重率达到最小值12.18%,保持硬度11.55牛,并维持颜色指数分布。此外,(CHSSN/M)处理的蘑菇在第12天的氧气含量最低,为1.78%;而二氧化碳含量最高,为24.88%,相比之下,未处理样品(对照/M)的氧气含量为24.88%。在储存过程中,pH值和总可溶性固形物浓度均有所增加。结果表明,与(对照/M)蘑菇相比,(CHSS/M)蘑菇显著(P < 0.05)降低了多酚氧化酶活性(24.31 U mg蛋白质),(对照/M)蘑菇的多酚氧化酶活性增长速度比处理后的样品更快。(CHSSN/M)处理在减少酵母和霉菌、好氧平板微生物(5.27 - 5.10 log CFU/g)方面最为有效。结果表明,纳米涂层薄膜可能会延缓老化程度,并显著延长采后蘑菇的保鲜期。

https://cdn.ncbi.nlm.nih.gov/pmc/blobs/9ed6/8041846/8fe9b3372e5d/41598_2021_87053_Fig7_HTML.jpg
https://cdn.ncbi.nlm.nih.gov/pmc/blobs/9ed6/8041846/bdd4b5e3deaa/41598_2021_87053_Fig1_HTML.jpg
https://cdn.ncbi.nlm.nih.gov/pmc/blobs/9ed6/8041846/79253164a9ce/41598_2021_87053_Fig2_HTML.jpg
https://cdn.ncbi.nlm.nih.gov/pmc/blobs/9ed6/8041846/944a4f539eb9/41598_2021_87053_Fig3_HTML.jpg
https://cdn.ncbi.nlm.nih.gov/pmc/blobs/9ed6/8041846/dbf2e220732d/41598_2021_87053_Fig4_HTML.jpg
https://cdn.ncbi.nlm.nih.gov/pmc/blobs/9ed6/8041846/395fc22526aa/41598_2021_87053_Fig5_HTML.jpg
https://cdn.ncbi.nlm.nih.gov/pmc/blobs/9ed6/8041846/50e79b5bfecb/41598_2021_87053_Fig6_HTML.jpg
https://cdn.ncbi.nlm.nih.gov/pmc/blobs/9ed6/8041846/8fe9b3372e5d/41598_2021_87053_Fig7_HTML.jpg
https://cdn.ncbi.nlm.nih.gov/pmc/blobs/9ed6/8041846/bdd4b5e3deaa/41598_2021_87053_Fig1_HTML.jpg
https://cdn.ncbi.nlm.nih.gov/pmc/blobs/9ed6/8041846/79253164a9ce/41598_2021_87053_Fig2_HTML.jpg
https://cdn.ncbi.nlm.nih.gov/pmc/blobs/9ed6/8041846/944a4f539eb9/41598_2021_87053_Fig3_HTML.jpg
https://cdn.ncbi.nlm.nih.gov/pmc/blobs/9ed6/8041846/dbf2e220732d/41598_2021_87053_Fig4_HTML.jpg
https://cdn.ncbi.nlm.nih.gov/pmc/blobs/9ed6/8041846/395fc22526aa/41598_2021_87053_Fig5_HTML.jpg
https://cdn.ncbi.nlm.nih.gov/pmc/blobs/9ed6/8041846/50e79b5bfecb/41598_2021_87053_Fig6_HTML.jpg
https://cdn.ncbi.nlm.nih.gov/pmc/blobs/9ed6/8041846/8fe9b3372e5d/41598_2021_87053_Fig7_HTML.jpg

相似文献

1
Enhancement in physicochemical parameters and microbial populations of mushrooms as influenced by nano-coating treatments.纳米涂层处理对蘑菇理化参数和微生物种群的影响
Sci Rep. 2021 Apr 12;11(1):7915. doi: 10.1038/s41598-021-87053-w.
2
Influence of cellulose nanocrystals gellan gum-based coating on color and respiration rate of Agaricus bisporus mushrooms.基于纤维素纳米晶体和结冷胶的涂层对双孢蘑菇颜色和呼吸速率的影响。
J Food Sci. 2021 Feb;86(2):420-425. doi: 10.1111/1750-3841.15580. Epub 2021 Jan 12.
3
The combined effect of coating treatments to nisin, nano-silica, and chitosan on oxidation processes of stored button mushrooms at 4 °C.壳聚糖、纳米二氧化硅与尼生素涂层处理联合作用对 4°C 贮藏香菇氧化的影响。
Sci Rep. 2021 Mar 16;11(1):6031. doi: 10.1038/s41598-021-85610-x.
4
Effect of plasma activated water on the postharvest quality of button mushrooms, Agaricus bisporus.等离子体激活水对双孢蘑菇(Agaricus bisporus)采后品质的影响。
Food Chem. 2016 Apr 15;197(Pt A):436-44. doi: 10.1016/j.foodchem.2015.10.144. Epub 2015 Oct 30.
5
Effect of natamycin in combination with pure oxygen treatment on postharvest quality and selected enzyme activities of button mushroom (Agaricus bisporus).纳他霉素与纯氧处理结合对双孢蘑菇(Agaricus bisporus)采后品质和部分酶活性的影响。
J Agric Food Chem. 2012 Mar 14;60(10):2562-8. doi: 10.1021/jf205160c. Epub 2012 Mar 1.
6
Chitosan nanoparticles-loaded Citrus aurantium essential oil: a novel delivery system for preserving the postharvest quality of Agaricus bisporus.壳聚糖纳米载药-甜橙精油:一种新型保鲜体系,用于保持双孢蘑菇的采后品质。
J Sci Food Agric. 2018 Oct;98(13):5112-5119. doi: 10.1002/jsfa.9050. Epub 2018 Jun 5.
7
Application of edible coating and acidic washing for extending the storage life of mushrooms (Agaricus bisporus).可食用涂层和酸性清洗在延长双孢蘑菇(Agaricus bisporus)贮藏期的应用。
Food Sci Technol Int. 2012 Dec;18(6):523-30. doi: 10.1177/1082013211433075.
8
Browning inhibition and quality preservation of button mushroom (Agaricus bisporus) by essential oils fumigation treatment.精油熏蒸处理对双孢蘑菇(Agaricus bisporus)褐变抑制和品质保持的影响。
Food Chem. 2014 Apr 15;149:107-13. doi: 10.1016/j.foodchem.2013.10.073. Epub 2013 Oct 25.
9
Effect of Nano Silicon Dioxide Coating Films on the Quality Characteristics of Fresh-Cut Cantaloupe.纳米二氧化硅涂膜对鲜切哈密瓜品质特性的影响
Membranes (Basel). 2021 Feb 17;11(2):140. doi: 10.3390/membranes11020140.
10
Ornithine decarboxylase is involved in methyl jasmonate-regulated postharvest quality retention in button mushrooms (Agaricus bisporus).鸟氨酸脱羧酶参与茉莉酸甲酯调控双孢蘑菇(Agaricus bisporus)采后品质保持。
J Sci Food Agric. 2019 Jan 30;99(2):790-796. doi: 10.1002/jsfa.9247. Epub 2018 Aug 23.

引用本文的文献

1
Sonochemical treatment of packaging materials for prolonging fresh produce shelf life.用于延长新鲜农产品货架期的包装材料的声化学处理
Heliyon. 2023 Oct 10;9(10):e20834. doi: 10.1016/j.heliyon.2023.e20834. eCollection 2023 Oct.
2
Microbiological Assessment of White Button Mushrooms with an Edible Film Coating.带有可食用薄膜涂层的白平菇的微生物学评估
Foods. 2023 Aug 15;12(16):3061. doi: 10.3390/foods12163061.
3
Grown on Agro-Industrial Residues: Studies on Microbial Contamination and Shelf-Life Prediction under Different Packaging Types and Storage Temperatures.

本文引用的文献

1
Shelf-life, quality, safety evaluations of blueberry fruits coated with chitosan nano-material films.蓝莓果实壳聚糖纳米涂膜的货架期、品质和安全性评价。
Sci Rep. 2021 Jan 8;11(1):55. doi: 10.1038/s41598-020-80056-z.
2
Application of Nano-coating and Chitosan Combination Films on Cantaloupe Preservation.纳米涂层和壳聚糖复合膜在哈密瓜保鲜中的应用。
Pak J Biol Sci. 2020 Jan;23(8):1037-1043. doi: 10.3923/pjbs.2020.1037.1043.
3
Carboxymethylcellulose hybrid nanodispersions for edible coatings with potential anti-cancer properties.
以农业工业残渣为培养基生长:不同包装类型和储存温度下微生物污染及保质期预测的研究
Foods. 2023 Jan 24;12(3):524. doi: 10.3390/foods12030524.
4
Nitric Oxide Made a Major Contribution to the Improvement of Quality in Button Mushrooms () by the Combined Treatment of Nitric Oxide with 1-MCP.一氧化氮与1-甲基环丙烯联合处理对双孢蘑菇品质改善有重要贡献。
Foods. 2022 Oct 10;11(19):3147. doi: 10.3390/foods11193147.
5
Evaluating the coating process of titanium dioxide nanoparticles and sodium tripolyphosphate on cucumbers under chilling condition to extend the shelf-life.评估在冷藏条件下二氧化钛纳米粒子和三聚磷酸钠对黄瓜的涂层处理,以延长货架期。
Sci Rep. 2021 Oct 13;11(1):20312. doi: 10.1038/s41598-021-99023-3.
6
Chitosan Edible Films Enhanced with Pomegranate Peel Extract: Study on Physical, Biological, Thermal, and Barrier Properties.石榴皮提取物增强的壳聚糖可食用薄膜:物理、生物学、热学及阻隔性能研究
Materials (Basel). 2021 Jun 15;14(12):3305. doi: 10.3390/ma14123305.
7
Microscopic Image Segmentation and Morphological Characterization of Novel Chitosan/Silica Nanoparticle/Nisin Films Using Antimicrobial Technique for Blueberry Preservation.利用抗菌技术对新型壳聚糖/二氧化硅纳米颗粒/乳酸链球菌素薄膜进行微观图像分割及形态表征以用于蓝莓保鲜
Membranes (Basel). 2021 Apr 21;11(5):303. doi: 10.3390/membranes11050303.
羧甲基纤维素混合纳米分散体作为具有潜在抗癌性能的可食用涂层。
Int J Biol Macromol. 2020 Aug 15;157:350-358. doi: 10.1016/j.ijbiomac.2020.04.175. Epub 2020 Apr 26.
4
Antimicrobial potential of bacteriocins: in therapy, agriculture and food preservation.细菌素的抗菌潜力:在治疗、农业和食品保存中的应用。
Int J Antimicrob Agents. 2017 Jan;49(1):1-11. doi: 10.1016/j.ijantimicag.2016.08.016. Epub 2016 Sep 29.
5
Modified atmosphere packaging (MAP) and coating for improving preservation of whole and sliced Agaricus bisporus.用于改善双孢蘑菇整菇和切片菇保鲜的气调包装(MAP)及涂膜技术。
J Food Sci Technol. 2014 Dec;51(12):3894-901. doi: 10.1007/s13197-013-0935-9. Epub 2013 Feb 9.