• 文献检索
  • 文档翻译
  • 深度研究
  • 学术资讯
  • Suppr Zotero 插件Zotero 插件
  • 邀请有礼
  • 套餐&价格
  • 历史记录
应用&插件
Suppr Zotero 插件Zotero 插件浏览器插件Mac 客户端Windows 客户端微信小程序
定价
高级版会员购买积分包购买API积分包
服务
文献检索文档翻译深度研究API 文档MCP 服务
关于我们
关于 Suppr公司介绍联系我们用户协议隐私条款
关注我们

Suppr 超能文献

核心技术专利:CN118964589B侵权必究
粤ICP备2023148730 号-1Suppr @ 2026

文献检索

告别复杂PubMed语法,用中文像聊天一样搜索,搜遍4000万医学文献。AI智能推荐,让科研检索更轻松。

立即免费搜索

文件翻译

保留排版,准确专业,支持PDF/Word/PPT等文件格式,支持 12+语言互译。

免费翻译文档

深度研究

AI帮你快速写综述,25分钟生成高质量综述,智能提取关键信息,辅助科研写作。

立即免费体验

2014-2019 年埃博拉病毒和寨卡病毒疫情国际资金流动的系统评估:捐助方、受援方和资金用途。

A systematic examination of international funding flows for Ebola virus and Zika virus outbreaks 2014-2019: donors, recipients and funding purposes.

机构信息

School of Medicine, Imperial College London Faculty of Medicine, London, UK

MRC Centre for Global Infectious Disease Analysis, Imperial College London School of Public Health, London, London, UK.

出版信息

BMJ Glob Health. 2021 Apr;6(4). doi: 10.1136/bmjgh-2020-003923.

DOI:10.1136/bmjgh-2020-003923
PMID:33849897
原文链接:https://pmc.ncbi.nlm.nih.gov/articles/PMC8051378/
Abstract

INTRODUCTION

There has been no systematic comparison of how the policy response to past infectious disease outbreaks and epidemics was funded. This study aims to collate and analyse funding for the Ebola epidemic and Zika outbreak between 2014 and 2019 in order to understand the shortcomings in funding reporting and suggest improvements.

METHODS

Data were collected via a literature review and analysis of financial reporting databases, including both amounts donated and received. Funding information from three financial databases was analysed: Institute of Health Metrics and Evaluation's Development Assistance for Health database, the Georgetown Infectious Disease Atlas and the United Nations Financial Tracking Service. A systematic literature search strategy was devised and applied to seven databases: MEDLINE, EMBASE, HMIC, Global Health, Scopus, Web of Science and EconLit. Funding information was extracted from articles meeting the eligibility criteria and measures were taken to avoid double counting. Funding was collated, then amounts and purposes were compared within, and between, data sources.

RESULTS

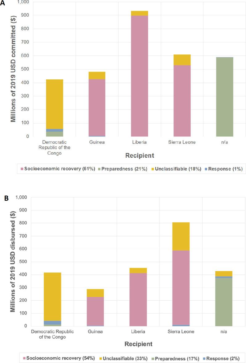
Large differences between funding reported by different data sources, and variations in format and methodology, made it difficult to arrive at precise estimates of funding amounts and purpose. Total disbursements reported by the databases ranged from $2.5 to $3.2 billion for Ebola and $150-$180 million for Zika. Total funding reported in the literature is greater than reported in databases, suggesting that databases may either miss funding, or that literature sources overreport. Databases and literature disagreed on the main purpose of funding for socioeconomic recovery versus outbreak response. One of the few consistent findings across data sources and diseases is that the USA was the largest donor.

CONCLUSION

Implementation of several recommendations would enable more effective mapping and deployment of outbreak funding for response activities relating to COVID-19 and future epidemics.

摘要

简介

过去针对传染病暴发和流行的政策应对措施的资金来源情况尚无系统比较。本研究旨在整理和分析 2014 年至 2019 年期间埃博拉疫情和寨卡疫情的资金情况,以了解资金报告的不足,并提出改进建议。

方法

通过文献回顾和财务报告数据库(包括捐赠和接收金额)分析收集数据。对三个财务数据库(卫生计量与评估研究所发展援助健康数据库、乔治敦传染病地图集和联合国金融跟踪服务)中的数据进行了分析。制定并应用了一种系统文献检索策略,对 7 个数据库(MEDLINE、EMBASE、HMIC、全球卫生、Scopus、Web of Science 和 EconLit)进行了检索。从符合入选标准的文章中提取资金信息,并采取措施避免重复计数。对资金进行整理,然后比较数据源内部和之间的资金数额和用途。

结果

不同数据源报告的资金数额存在很大差异,格式和方法也存在差异,因此难以准确估计资金数额和用途。数据库报告的埃博拉疫情总支出金额为 25 亿至 32 亿美元,寨卡疫情为 1.5 亿至 1.8 亿美元。文献报告的总资金多于数据库报告的资金,这表明数据库可能会遗漏资金,或者文献来源可能会过度报告。数据库和文献在资金的主要用途上存在分歧,即社会经济复苏与疫情应对。在疾病和资金来源方面,有一个为数不多的一致发现,即美国是最大的捐助国。

结论

实施若干建议将能够更有效地规划和部署与 COVID-19 和未来疫情相关的应对活动的疫情资金。

https://cdn.ncbi.nlm.nih.gov/pmc/blobs/09ff/8051378/eb96fb3dda2f/bmjgh-2020-003923f03.jpg
https://cdn.ncbi.nlm.nih.gov/pmc/blobs/09ff/8051378/c2bf1c8381a2/bmjgh-2020-003923f01.jpg
https://cdn.ncbi.nlm.nih.gov/pmc/blobs/09ff/8051378/562476862d1d/bmjgh-2020-003923f02.jpg
https://cdn.ncbi.nlm.nih.gov/pmc/blobs/09ff/8051378/eb96fb3dda2f/bmjgh-2020-003923f03.jpg
https://cdn.ncbi.nlm.nih.gov/pmc/blobs/09ff/8051378/c2bf1c8381a2/bmjgh-2020-003923f01.jpg
https://cdn.ncbi.nlm.nih.gov/pmc/blobs/09ff/8051378/562476862d1d/bmjgh-2020-003923f02.jpg
https://cdn.ncbi.nlm.nih.gov/pmc/blobs/09ff/8051378/eb96fb3dda2f/bmjgh-2020-003923f03.jpg

相似文献

1
A systematic examination of international funding flows for Ebola virus and Zika virus outbreaks 2014-2019: donors, recipients and funding purposes.2014-2019 年埃博拉病毒和寨卡病毒疫情国际资金流动的系统评估:捐助方、受援方和资金用途。
BMJ Glob Health. 2021 Apr;6(4). doi: 10.1136/bmjgh-2020-003923.
2
Folic acid supplementation and malaria susceptibility and severity among people taking antifolate antimalarial drugs in endemic areas.在流行地区,服用抗叶酸抗疟药物的人群中,叶酸补充剂与疟疾易感性和严重程度的关系。
Cochrane Database Syst Rev. 2022 Feb 1;2(2022):CD014217. doi: 10.1002/14651858.CD014217.
3
Enhanced surveillance and response approaches for pilgrims and local Saudi populations against emerging Nipah, Zika and Ebola viral diseases outbreaks threats.强化针对朝圣者和当地沙特人群的监测和应对措施,以应对新出现的尼帕、寨卡和埃博拉病毒病疫情威胁。
J Infect Public Health. 2020 May;13(5):674-678. doi: 10.1016/j.jiph.2020.01.313. Epub 2020 Apr 4.
4
Global health security as it pertains to Zika, Ebola, and COVID-19.全球卫生安全与寨卡病毒、埃博拉病毒和 COVID-19 相关。
Curr Opin Infect Dis. 2021 Oct 1;34(5):401-408. doi: 10.1097/QCO.0000000000000775.
5
The private versus public contribution to the biomedical literature during the COVID-19, Ebola, H1N1, and Zika public health emergencies.在 COVID-19、埃博拉、H1N1 和寨卡公共卫生突发事件期间,生物医学文献的私人与公共贡献。
PLoS One. 2021 Oct 22;16(10):e0258013. doi: 10.1371/journal.pone.0258013. eCollection 2021.
6
Ebola Virus Disease Outbreaks: Lessons Learned From Past and Facing Future Challenges.埃博拉病毒病疫情暴发:从过去的经验中吸取教训并应对未来的挑战。
Mil Med. 2024 Jul 3;189(7-8):e1470-e1478. doi: 10.1093/milmed/usae204.
7
Ebola research funding: a systematic analysis, 1997-2015.埃博拉研究资金:1997 - 2015年的系统分析
J Glob Health. 2016 Dec;6(2):020703. doi: 10.7189/jogh.06.020703.
8
The genesis of the Ebola virus outbreak in west Africa.西非埃博拉病毒疫情的起源。
Lancet Infect Dis. 2019 Apr;19(4):348-349. doi: 10.1016/S1473-3099(19)30055-6. Epub 2019 Feb 21.
9
Ebola Virus Epidemic in West Africa: Global Health Economic Challenges, Lessons Learned, and Policy Recommendations.西非埃博拉病毒疫情:全球卫生经济挑战、经验教训及政策建议
Value Health Reg Issues. 2017 Sep;13:67-70. doi: 10.1016/j.vhri.2017.08.003. Epub 2017 Sep 13.
10
Will Zika Virus and Microcephaly Epidemics Emerge After Ebola in West Africa? The Need for Prospective Studies Now.寨卡病毒和小头畸形流行病会在西非埃博拉疫情之后出现吗?现在就需要进行前瞻性研究。
Health Secur. 2016 Mar-Apr;14(2):53-4. doi: 10.1089/hs.2016.0033. Epub 2016 Mar 17.

引用本文的文献

1
Did aid to the Ebola crisis divert aid for reproductive, maternal, and newborn health? An analysis of donor-reported data in Sierra Leone.埃博拉危机援助是否转移了对生殖、孕产妇和新生儿健康的援助?对塞拉利昂捐赠方报告数据的分析。
Confl Health. 2024 Apr 27;18(1):38. doi: 10.1186/s13031-024-00589-2.
2
Ebola outbreak detection and response since 2013.自2013年以来的埃博拉疫情监测与应对
Lancet Microbe. 2023 Sep;4(9):e661-e662. doi: 10.1016/S2666-5247(23)00136-2. Epub 2023 Jun 21.
3
Biodefence research two decades on: worth the investment?生物防御研究二十年:值得投资吗?

本文引用的文献

1
Is the effect of COVID-19 on children underestimated in low- and middle- income countries?在低收入和中等收入国家,新冠病毒病对儿童的影响是否被低估了?
Acta Paediatr. 2020 Oct;109(10):1930-1931. doi: 10.1111/apa.15419. Epub 2020 Jul 9.
2
Has COVID-19 subverted global health?新冠病毒颠覆了全球健康状况吗?
Lancet. 2020 May 30;395(10238):1687-1688. doi: 10.1016/S0140-6736(20)31089-8. Epub 2020 May 5.
3
The impact of COVID-19 and strategies for mitigation and suppression in low- and middle-income countries.新冠疫情的影响以及中低收入国家的缓解和抑制策略。
Lancet Infect Dis. 2021 Aug;21(8):e222-e233. doi: 10.1016/S1473-3099(21)00382-0.
Science. 2020 Jul 24;369(6502):413-422. doi: 10.1126/science.abc0035. Epub 2020 Jun 12.
4
COVID-19 suicides in Pakistan, dying off not COVID-19 fear but poverty? - The forthcoming economic challenges for a developing country.巴基斯坦的 COVID-19 自杀事件,是因为害怕而非担心 COVID-19 而死亡吗?还是因为贫困?——发展中国家即将面临经济挑战。
Brain Behav Immun. 2020 Jul;87:163-166. doi: 10.1016/j.bbi.2020.05.028. Epub 2020 May 11.
5
Early estimates of the indirect effects of the COVID-19 pandemic on maternal and child mortality in low-income and middle-income countries: a modelling study.对 COVID-19 大流行对低收入和中等收入国家母婴死亡率间接影响的早期估计:一项建模研究。
Lancet Glob Health. 2020 Jul;8(7):e901-e908. doi: 10.1016/S2214-109X(20)30229-1. Epub 2020 May 12.
6
The COVID-19 Pandemic: Effects on Low- and Middle-Income Countries.新型冠状病毒肺炎大流行:对中低收入国家的影响。
Anesth Analg. 2020 Jul;131(1):86-92. doi: 10.1213/ANE.0000000000004846.
7
Corruption in global health: the open secret.全球卫生领域的腐败:公开的秘密。
Lancet. 2019 Dec 7;394(10214):2119-2124. doi: 10.1016/S0140-6736(19)32527-9. Epub 2019 Nov 27.
8
International Funding for Global Common Goods for Health: An Analysis Using the Creditor Reporting System and G-FINDER Databases.国际卫生共同财资金供资:利用债权国报告系统和全球基金发现者数据库进行的分析。
Health Syst Reform. 2019;5(4):350-365. doi: 10.1080/23288604.2019.1663646. Epub 2019 Nov 11.
9
China's Response to the 2014 Ebola Outbreak in West Africa.中国对2014年西非埃博拉疫情的应对。
Glob Chall. 2017 Jan 30;1(2):1600001. doi: 10.1002/gch2.201600001. eCollection 2017 Feb 27.
10
Past, present, and future of global health financing: a review of development assistance, government, out-of-pocket, and other private spending on health for 195 countries, 1995-2050.全球卫生融资的过去、现在和未来:对 195 个国家 1995 年至 2050 年用于卫生的发展援助、政府、自付费用和其他私人支出的评估。
Lancet. 2019 Jun 1;393(10187):2233-2260. doi: 10.1016/S0140-6736(19)30841-4. Epub 2019 Apr 25.