Suppr超能文献

SARS-CoV-2 血清阳性率及健康青年随后的感染风险:一项前瞻性队列研究。

SARS-CoV-2 seropositivity and subsequent infection risk in healthy young adults: a prospective cohort study.

机构信息

Naval Medical Research Center, Silver Spring, MD, USA.

Department of Neurology, Icahn School of Medicine at Mount Sinai, New York, NY, USA.

出版信息

Lancet Respir Med. 2021 Jul;9(7):712-720. doi: 10.1016/S2213-2600(21)00158-2. Epub 2021 Apr 15.

Abstract

BACKGROUND

Whether young adults who are infected with SARS-CoV-2 are at risk of subsequent infection is uncertain. We investigated the risk of subsequent SARS-CoV-2 infection among young adults seropositive for a previous infection.

METHODS

This analysis was performed as part of the prospective COVID-19 Health Action Response for Marines study (CHARM). CHARM included predominantly male US Marine recruits, aged 18-20 years, following a 2-week unsupervised quarantine at home. After the home quarantine period, upon arrival at a Marine-supervised 2-week quarantine facility (college campus or hotel), participants were enrolled and were assessed for baseline SARS-CoV-2 IgG seropositivity, defined as a dilution of 1:150 or more on receptor-binding domain and full-length spike protein ELISA. Participants also completed a questionnaire consisting of demographic information, risk factors, reporting of 14 specific COVID-19-related symptoms or any other unspecified symptom, and brief medical history. SARS-CoV-2 infection was assessed by PCR at weeks 0, 1, and 2 of quarantine and participants completed a follow-up questionnaire, which included questions about the same COVID-19-related symptoms since the last study visit. Participants were excluded at this stage if they had a positive PCR test during quarantine. Participants who had three negative swab PCR results during quarantine and a baseline serum serology test at the beginning of the supervised quarantine that identified them as seronegative or seropositive for SARS-CoV-2 then went on to basic training at Marine Corps Recruit Depot-Parris Island. Three PCR tests were done at weeks 2, 4, and 6 in both seropositive and seronegative groups, along with the follow-up symptom questionnaire and baseline neutralising antibody titres on all subsequently infected seropositive and selected seropositive uninfected participants (prospective study period).

FINDINGS

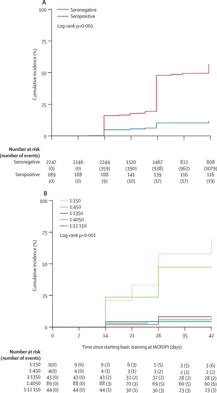
Between May 11, 2020, and Nov 2, 2020, we enrolled 3249 participants, of whom 3168 (98%) continued into the 2-week quarantine period. 3076 (95%) participants, 2825 (92%) of whom were men, were then followed up during the prospective study period after quarantine for 6 weeks. Among 189 seropositive participants, 19 (10%) had at least one positive PCR test for SARS-CoV-2 during the 6-week follow-up (1·1 cases per person-year). In contrast, 1079 (48%) of 2247 seronegative participants tested positive (6·2 cases per person-year). The incidence rate ratio was 0·18 (95% CI 0·11-0·28; p<0·001). Among seropositive recruits, infection was more likely with lower baseline full-length spike protein IgG titres than in those with higher baseline full-length spike protein IgG titres (hazard ratio 0·45 [95% CI 0·32-0·65]; p<0·001). Infected seropositive participants had viral loads that were about 10-times lower than those of infected seronegative participants (ORF1ab gene cycle threshold difference 3·95 [95% CI 1·23-6·67]; p=0·004). Among seropositive participants, baseline neutralising titres were detected in 45 (83%) of 54 uninfected and in six (32%) of 19 infected participants during the 6 weeks of observation (ID50 difference p<0·0001).

INTERPRETATION

Seropositive young adults had about one-fifth the risk of subsequent infection compared with seronegative individuals. Although antibodies induced by initial infection are largely protective, they do not guarantee effective SARS-CoV-2 neutralisation activity or immunity against subsequent infection. These findings might be relevant for optimisation of mass vaccination strategies.

FUNDING

Defense Health Agency and Defense Advanced Research Projects Agency.

摘要

背景

感染 SARS-CoV-2 的年轻人是否有再次感染的风险尚不确定。我们调查了既往感染后血清阳性的年轻人再次感染 SARS-CoV-2 的风险。

方法

这项分析是作为前瞻性 COVID-19 对海军陆战队员健康行动反应研究(CHARM)的一部分进行的。CHARM 主要包括年龄在 18-20 岁之间的美国海军陆战队员新兵,他们在居家隔离两周后,抵达由海军监管的两周隔离设施(大学校园或酒店),进行入组并评估基线 SARS-CoV-2 IgG 血清阳性,定义为受体结合域和全长刺突蛋白 ELISA 稀释度为 1:150 或更高。参与者还完成了一份包括人口统计学信息、危险因素、报告 14 种特定 COVID-19 相关症状或任何其他未指定症状以及简要病史的问卷。通过 PCR 在隔离的第 0、1 和 2 周评估 SARS-CoV-2 感染,参与者完成了一份随访问卷,其中包括自上次研究访问以来相同的 COVID-19 相关症状的问题。如果参与者在隔离期间 PCR 检测阳性,则在此阶段将其排除。在基线监督隔离开始时,有 3 项阴性拭子 PCR 检测结果且血清学检测血清学检测血清学检测血清学检测血清学检测血清学检测血清学检测血清学检测血清学检测血清学检测血清学检测血清学检测血清学检测血清学检测血清学检测血清学检测血清学检测血清学检测血清学检测血清学检测血清学检测血清学检测血清学检测血清学检测血清学检测血清学检测血清学检测血清学检测血清学检测血清学检测血清学检测血清学检测血清学检测血清学检测血清学检测血清学检测血清学检测血清学检测血清学检测血清学检测血清学检测血清学检测血清学检测血清学检测血清学检测血清学检测血清学检测血清学检测血清学检测血清学检测血清学检测血清学检测血清学检测血清学检测血清学检测血清学检测血清学检测血清学检测血清学检测血清学检测血清学检测血清学检测血清学检测血清学检测血清学检测血清学检测血清学检测血清学检测血清学检测血清学检测血清学检测血清学检测血清学检测血清学检测血清学检测血清学检测血清学检测血清学检测血清学检测血清学检测血清学检测血清学检测血清学检测血清学检测血清学检测血清学检测血清学检测血清学检测血清学检测血清学检测血清学检测血清学检测血清学检测血清学检测血清学检测血清学检测血清学检测血清学检测血清学检测血清学检测血清学检测血清学检测血清学检测血清学检测血清学检测血清学检测血清学检测血清学检测血清学检测血清学检测血清学检测血清学检测血清学检测血清学检测血清学检测血清学检测血清学检测血清学检测血清学检测血清学检测血清学检测血清学检测血清学检测血清学检测血清学检测血清学检测血清学检测血清学检测血清学检测血清学检测血清学检测血清学检测血清学检测血清学检测血清学检测血清学检测血清学检测血清学检测血清学检测血清学检测血清学检测血清学检测血清学检测血清学检测血清学检测血清学检测血清学检测血清学检测血清学检测血清学检测血清学检测血清学检测血清学检测血清学检测血清学检测血清学检测血清学检测血清学检测血清学检测血清学检测血清学检测血清学检测血清学检测血清学检测血清学检测血清学检测血清学检测血清学检测血清学检测血清学检测血清学检测血清学检测血清学检测血清学检测血清学检测血清学检测血清学检测血清学检测血清学检测血清学检测血清学检测血清学检测血清学检测血清学检测血清学检测血清学检测血清学检测血清学检测血清学检测血清学检测血清学检测血清学检测血清学检测血清学检测血清学检测血清学检测血清学检测血清学检测血清学检测血清学检测血清学检测血清学检测血清学检测血清学检测血清学检测血清学检测血清学检测血清学检测血清学检测血清学检测血清学检测血清学检测血清学检测血清学检测血清学检测血清学检测血清学检测血清学检测血清学检测血清学检测血清学检测血清学检测血清学检测血清学检测血清学检测血清学检测血清学检测血清学检测血清学检测血清学检测血清学检测血清学检测血清学检测血清学检测血清学检测血清学检测血清学检测血清学检测血清学检测血清学检测血清学检测血清学检测血清学检测血清学检测血清学检测血清学检测血清学检测血清学检测血清学检测血清学检测血清学检测血清学检测血清学检测血清学检测血清学检测血清学检测血清学检测血清学检测血清学检测血清学检测血清学检测血清学检测血清学检测血清学检测血清学检测血清学检测血清学检测血清学检测血清学检测血清学检测血清学检测血清学检测血清学检测血清学检测血清学检测血清学检测血清学检测血清学检测血清学检测血清学检测血清学检测血清学检测血清学检测血清学检测血清学检测血清学检测血清学检测血清学检测血清学检测血清学检测血清学检测血清学检测血清学检测血清学检测血清学检测血清学检测血清学检测血清学检测血清学检测血清学检测血清学检测血清学检测血清学检测血清学检测血清学检测血清学检测血清学检测血清学检测血清学检测血清学检测血清学检测血清学检测血清学检测血清学检测血清学检测血清学检测血清学检测血清学检测血清学检测血清学检测血清学检测血清学检测血清学检测血清学检测血清学检测血清学检测血清学检测血清学检测血清学检测血清学检测血清学检测血清学检测血清学检测血清学检测血清学检测血清学检测血清学检测血清学检测血清学检测血清学检测血清学检测血清学检测血清学检测血清学检测血清学检测血清学检测血清学检测血清学检测血清学检测血清学检测血清学检测血清学检测血清学检测血清学检测血清学检测血清学检测血清学检测血清学检测血清学检测血清学检测血清学检测血清学检测血清学检测血清学检测血清学检测血清学检测血清学检测血清学检测血清学检测血清学检测血清学检测血清学检测血清学检测血清学检测血清学检测血清学检测血清学检测血清学检测血清学检测血清学检测血清学检测血清学检测血清学检测血清学检测血清学检测血清学检测血清学检测血清学检测血清学检测血清学检测血清学检测血清学检测血清学检测血清学检测血清学检测血清学检测血清学检测血清学检测血清学检测血清学检测血清学检测血清学检测血清学检测血清学检测血清学检测血清学检测血清学检测血清学检测血清学检测血清学检测血清学检测血清学检测血清学检测血清学检测血清学检测血清学检测血清学检测血清学检测血清学检测血清学检测血清学检测血清学检测血清学检测血清学检测血清学检测血清学检测血清学检测血清学检测血清学检测血清学检测血清学检测血清学检测血清学检测血清学检测血清学检测血清学检测血清学检测血清学检测血清学检测血清学检测血清学检测血清学检测血清学检测血清学检测血清学检测血清学检测血清学检测血清学检测血清学检测血清学检测血清学检测血清学检测血清学检测血清学检测血清学检测血清学检测血清学检测血清学检测血清学检测血清学检测血清学检测血清学检测血清学检测血清学检测血清学检测血清学检测血清学检测血清学检测血清学检测血清学检测血清学检测血清学检测血清学检测血清学检测血清学检测血清学检测血清学检测血清学检测血清学检测血清学检测血清学检测血清学检测血清学检测血清学检测血清学检测血清学检测血清学检测血清学检测血清学检测血清学检测血清学检测血清学检测血清学检测血清学检测血清学检测血清学检测血清学检测血清学检测血清学检测血清学检测血清学检测血清学检测血清学检测血清学检测血清学检测血清学检测血清学检测血清学检测血清学检测血清学检测血清学检测血清学检测血清学检测血清学检测血清学检测血清学检测血清学检测血清学检测血清学检测血清学检测血清学检测血清学检测血清学检测血清学检测血清学检测血清学检测血清学检测血清学检测血清学检测血清学检测血清学检测血清学检测血清学检测血清学检测血清学检测血清学检测血清学检测血清学检测血清学检测血清学检测血清学检测血清学检测血清学检测血清学检测血清学检测血清学检测血清学检测血清学检测血清学检测血清学检测血清学检测血清学检测血清学检测血清学检测血清学检测血清学检测血清学检测血清学检测血清学检测血清学检测血清学检测血清学检测血清学检测血清学检测血清学检测血清学检测血清学检测血清学检测血清学检测血清学检测血清学检测血清学检测血清学检测血清检测血清

https://cdn.ncbi.nlm.nih.gov/pmc/blobs/dc22/8049591/53f12a422348/gr1_lrg.jpg

文献检索

告别复杂PubMed语法,用中文像聊天一样搜索,搜遍4000万医学文献。AI智能推荐,让科研检索更轻松。

立即免费搜索

文件翻译

保留排版,准确专业,支持PDF/Word/PPT等文件格式,支持 12+语言互译。

免费翻译文档

深度研究

AI帮你快速写综述,25分钟生成高质量综述,智能提取关键信息,辅助科研写作。

立即免费体验