• 文献检索
  • 文档翻译
  • 深度研究
  • 学术资讯
  • Suppr Zotero 插件Zotero 插件
  • 邀请有礼
  • 套餐&价格
  • 历史记录
应用&插件
Suppr Zotero 插件Zotero 插件浏览器插件Mac 客户端Windows 客户端微信小程序
定价
高级版会员购买积分包购买API积分包
服务
文献检索文档翻译深度研究API 文档MCP 服务
关于我们
关于 Suppr公司介绍联系我们用户协议隐私条款
关注我们

Suppr 超能文献

核心技术专利:CN118964589B侵权必究
粤ICP备2023148730 号-1Suppr @ 2026

文献检索

告别复杂PubMed语法,用中文像聊天一样搜索,搜遍4000万医学文献。AI智能推荐,让科研检索更轻松。

立即免费搜索

文件翻译

保留排版,准确专业,支持PDF/Word/PPT等文件格式,支持 12+语言互译。

免费翻译文档

深度研究

AI帮你快速写综述,25分钟生成高质量综述,智能提取关键信息,辅助科研写作。

立即免费体验

外敷肝敷贴减轻接受放射治疗的转移性癌症患者疲劳的随机临床试验。

External application of liver compresses to reduce fatigue in patients with metastatic cancer undergoing radiation therapy, a randomized clinical trial.

机构信息

Department of Radiation Oncology, Charité Universitätsmedizin Berlin, corporate member of Freie Universität Berlin, Humboldt-Universität zu Berlin and Berlin Institute of Health, Augustenburger Platz 1, 13353, Berlin, Germany.

Division of Oncology and Hematology, Department of Pediatrics, Charité Universitätsmedizin Berlin, corporate member of Freie Universität Berlin, Humboldt-Universität zu Berlin and Berlin Institute of Health, Berlin, Germany.

出版信息

Radiat Oncol. 2021 Apr 19;16(1):76. doi: 10.1186/s13014-021-01757-x.

DOI:10.1186/s13014-021-01757-x
PMID:33874968
原文链接:https://pmc.ncbi.nlm.nih.gov/articles/PMC8054395/
Abstract

BACKGROUND

Liver compresses are frequently used in integrative medicine as supportive therapy during cancer treatment in order to reduce fatigue. We performed a pilot study to test whether the external application of yarrow liver compresses impacts fatigue in patients with metastatic cancer undergoing radiation therapy.

METHODS

A randomized prospective pilot trial was performed including patients with brain metastasis or bone metastasis of solid tumors. Patients underwent either palliative radiation therapy (RT) of the metastatic lesions (control group) over two weeks or the same RT with additional external application of yarrow liver compresses once daily during RT. The primary objective was improvement on the general fatigue subscale of the multidimensional fatigue inventory (MFI-20) at the end of treatment, where a mean difference of two points is considered clinically relevant. Secondary objectives included psychological distress, quality of life and qualitative analysis with self-established visual analogue scales (VAS). Mean differences in general fatigue at the end of treatment compared to baseline were analyzed using the ANCOVA test.

RESULTS

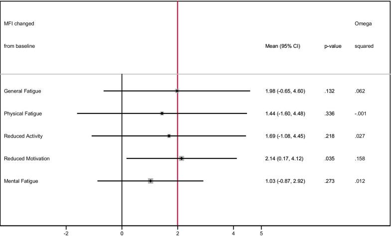
From 09/2017 to 08/2019 a total of 39 patients were randomized. Due to drop outs 24 patients (12 per group) were available for analysis. Patients in the intervention group received a mean number of 10.5 (range, 7-14) applications of yarrow liver compresses. The mean improvement at the end of therapy on the general fatigue subscale of the MFI-20 was 2 points in favor of the intervention group (p = 0.13), and all other MFI-20 subscales showed at least a trend towards improvement in favor of the intervention group. Likewise, psychological distress and VAS data was improved, the latter reaching statistical significance for the symptoms fatigue, tension and lack of drive. Major toxicities were not observed.

CONCLUSIONS

External application of liver compresses appears to reduce fatigue within a clinical relevant range in patients with metastatic cancer undergoing radiation therapy.

TRIAL REGISTRATION

ISRCTN, ICTRP DRKS00012999.

摘要

背景

肝脏敷压在癌症治疗中经常被用作辅助疗法,以减轻疲劳。我们进行了一项初步研究,以测试在接受放射治疗的转移性癌症患者中,外部应用蓍草肝脏敷压是否会影响疲劳。

方法

一项随机前瞻性初步试验纳入了患有脑转移或实体瘤骨转移的患者。患者在两周内接受转移性病变的姑息性放射治疗(RT)(对照组),或在接受相同 RT 的同时每天额外进行一次外部应用蓍草肝脏敷压。主要目标是在治疗结束时改善多维疲劳量表(MFI-20)的一般疲劳亚量表,其中平均差异两点被认为具有临床意义。次要目标包括心理困扰、生活质量和自我设定的视觉模拟量表(VAS)的定性分析。使用 ANCOVA 检验分析治疗结束时与基线相比的一般疲劳的平均差异。

结果

从 2017 年 9 月至 2019 年 8 月,共有 39 名患者被随机分配。由于脱落,共有 24 名患者(每组 12 名)可用于分析。干预组患者接受了平均 10.5 次(范围为 7-14 次)蓍草肝脏敷压的治疗。在 MFI-20 的一般疲劳亚量表上,治疗结束时的平均改善为 2 分,有利于干预组(p=0.13),并且所有其他 MFI-20 亚量表都至少显示出有利于干预组的改善趋势。同样,心理困扰和 VAS 数据也有所改善,后者在疲劳、紧张和缺乏动力等症状方面达到统计学意义。未观察到主要毒性。

结论

在接受放射治疗的转移性癌症患者中,外部应用肝脏敷压似乎可以在临床相关范围内减轻疲劳。

试验注册

ISRCTN、ICTRP DRKS00012999。

https://cdn.ncbi.nlm.nih.gov/pmc/blobs/4a02/8054395/f407067cddc1/13014_2021_1757_Fig3_HTML.jpg
https://cdn.ncbi.nlm.nih.gov/pmc/blobs/4a02/8054395/0126162a44fe/13014_2021_1757_Fig1_HTML.jpg
https://cdn.ncbi.nlm.nih.gov/pmc/blobs/4a02/8054395/88d3e2b14d6a/13014_2021_1757_Fig2_HTML.jpg
https://cdn.ncbi.nlm.nih.gov/pmc/blobs/4a02/8054395/f407067cddc1/13014_2021_1757_Fig3_HTML.jpg
https://cdn.ncbi.nlm.nih.gov/pmc/blobs/4a02/8054395/0126162a44fe/13014_2021_1757_Fig1_HTML.jpg
https://cdn.ncbi.nlm.nih.gov/pmc/blobs/4a02/8054395/88d3e2b14d6a/13014_2021_1757_Fig2_HTML.jpg
https://cdn.ncbi.nlm.nih.gov/pmc/blobs/4a02/8054395/f407067cddc1/13014_2021_1757_Fig3_HTML.jpg

相似文献

1
External application of liver compresses to reduce fatigue in patients with metastatic cancer undergoing radiation therapy, a randomized clinical trial.外敷肝敷贴减轻接受放射治疗的转移性癌症患者疲劳的随机临床试验。
Radiat Oncol. 2021 Apr 19;16(1):76. doi: 10.1186/s13014-021-01757-x.
2
Randomized Pilot Trial Using External Yarrow Liver Compress Applications With Metastatic Cancer Patients Suffering From Fatigue: Evaluation of Sympathetic Modulation by Heart Rate Variability Analysis.随机试点试验:使用外部蓍草肝脏敷贴应用于患有疲劳的转移性癌症患者:通过心率变异性分析评估交感神经调节。
Integr Cancer Ther. 2022 Jan-Dec;21:15347354221081253. doi: 10.1177/15347354221081253.
3
Telephone interventions for symptom management in adults with cancer.针对成年癌症患者症状管理的电话干预措施。
Cochrane Database Syst Rev. 2020 Jun 2;6(6):CD007568. doi: 10.1002/14651858.CD007568.pub2.
4
Efficacy of corticosteroids for cancer-related fatigue: A pilot randomized placebo-controlled trial of advanced cancer patients.皮质类固醇对癌症相关疲劳的疗效:一项针对晚期癌症患者的随机安慰剂对照试验试点研究。
Palliat Support Care. 2015 Oct;13(5):1301-8. doi: 10.1017/S1478951514001254. Epub 2014 Nov 5.
5
Brainstem dose is associated with patient-reported acute fatigue in head and neck cancer radiation therapy.脑干剂量与头颈部癌症放射治疗中患者报告的急性疲劳有关。
Radiother Oncol. 2018 Jan;126(1):100-106. doi: 10.1016/j.radonc.2017.08.008. Epub 2017 Aug 18.
6
Prospective evaluation of the prevalence and severity of fatigue in patients with prostate cancer undergoing radical external beam radiotherapy and neoadjuvant hormone therapy.对接受根治性外照射放疗和新辅助激素治疗的前列腺癌患者疲劳发生率和严重程度的前瞻性评估。
Can J Urol. 2006 Jun;13(3):3139-46.
7
Pilot, randomized, modified, double-blind, placebo-controlled trial of acupuncture for cancer-related fatigue.针刺治疗癌症相关疲劳的先导性、随机、改良、双盲、安慰剂对照试验
J Soc Integr Oncol. 2009 Winter;7(1):4-11.
8
Quality of life and fatigue of patients with spinal bone metastases under combined treatment with resistance training and radiation therapy- a randomized pilot trial.脊柱骨转移患者在抗阻训练和放射治疗联合治疗下的生活质量和疲劳状况-一项随机试验研究。
Radiat Oncol. 2014 Jul 7;9:151. doi: 10.1186/1748-717X-9-151.
9
A phase III, double-blind, placebo-controlled prospective randomized clinical trial of d-threo-methylphenidate HCl in brain tumor patients receiving radiation therapy.一项关于盐酸右苏甲基苯丙胺在接受放射治疗的脑肿瘤患者中的III期、双盲、安慰剂对照前瞻性随机临床试验。
Int J Radiat Oncol Biol Phys. 2007 Dec 1;69(5):1496-501. doi: 10.1016/j.ijrobp.2007.05.076. Epub 2007 Sep 14.
10
Multidimensional measurement of fatigue in advanced cancer patients in palliative care: an application of the multidimensional fatigue inventory.姑息治疗中晚期癌症患者疲劳的多维测量:多维疲劳量表的应用
J Pain Symptom Manage. 2006 Jun;31(6):533-41. doi: 10.1016/j.jpainsymman.2005.11.012.

引用本文的文献

1
Assessing iIndications for herbal medicinal products: a comparative analysis of EMA monographs and database records.评估草药产品的适应症:欧洲药品管理局专论与数据库记录的比较分析。
BMC Complement Med Ther. 2025 Apr 9;25(1):130. doi: 10.1186/s12906-025-04852-8.
2
Living well with advanced cancer: a scoping review of non-pharmacological supportive care interventions.晚期癌症患者的良好生活状态:非药物支持性护理干预措施的范围综述
J Cancer Surviv. 2024 Dec 16. doi: 10.1007/s11764-024-01714-z.
3
Integrative nursing interventions: knowledge, attitudes and practice in home nursing services in Germany-a quantitative and qualitative online survey.

本文引用的文献

1
The power of touch: external applications from whole medical systems in the care of cancer patients (literature review).触摸的力量:整体医学体系中的外部应用在癌症患者护理中的作用(文献综述)。
Support Care Cancer. 2020 Feb;28(2):461-471. doi: 10.1007/s00520-019-05172-7. Epub 2019 Nov 29.
2
Quality of life in patients with limited (1-3) brain metastases undergoing stereotactic or whole brain radiotherapy : A prospective study of the DEGRO QoL working group.局限性(1-3 个)脑转移患者接受立体定向或全脑放疗后的生活质量:DEGRO QoL 工作组的一项前瞻性研究。
Strahlenther Onkol. 2020 Jan;196(1):48-57. doi: 10.1007/s00066-019-01506-w. Epub 2019 Aug 15.
3
综合护理干预措施:德国家庭护理服务中的知识、态度与实践——一项定量与定性在线调查
Front Med (Lausanne). 2024 Oct 3;11:1438035. doi: 10.3389/fmed.2024.1438035. eCollection 2024.
4
Supportive care interventions in metastatic bone disease: scoping review.转移性骨病的支持性护理干预措施:范围综述
BMJ Support Palliat Care. 2024 Jul 22. doi: 10.1136/spcare-2024-004965.
5
Prehabilitation in an Integrative Medicine Day Clinic for Patients Undergoing Neoadjuvant Treatment: Single-Center Feasibility Pilot Study.新辅助治疗患者综合医学日间诊所的术前康复:单中心可行性试点研究
JMIR Res Protoc. 2023 Oct 18;12:e46765. doi: 10.2196/46765.
6
Touching body, soul, and spirit? Understanding external applications from integrative medicine: A mixed methods systematic review.触碰身体、灵魂与精神?从整合医学理解外部应用:一项混合方法的系统综述。
Front Med (Lausanne). 2022 Dec 22;9:960960. doi: 10.3389/fmed.2022.960960. eCollection 2022.
7
Randomized Pilot Trial Using External Yarrow Liver Compress Applications With Metastatic Cancer Patients Suffering From Fatigue: Evaluation of Sympathetic Modulation by Heart Rate Variability Analysis.随机试点试验:使用外部蓍草肝脏敷贴应用于患有疲劳的转移性癌症患者:通过心率变异性分析评估交感神经调节。
Integr Cancer Ther. 2022 Jan-Dec;21:15347354221081253. doi: 10.1177/15347354221081253.
8
Quantification of Cardiovascular Regulation Applying Heart Rate Variability Analyses for Different Warm and Moist Chest Compresses in Healthy Subjects.应用心率变异性分析对健康受试者进行不同温湿胸部按压的心血管调节量化。
J Integr Complement Med. 2022 Mar;28(3):268-277. doi: 10.1089/jicm.2021.0252. Epub 2022 Mar 3.
Stability and survival analysis of elderly patients with osteolytic spinal bone metastases after palliative radiotherapy : Results from a large multicenter cohort.
老年溶骨性脊柱骨转移患者姑息性放疗后的稳定性和生存分析:一项大型多中心队列研究结果。
Strahlenther Onkol. 2019 Dec;195(12):1074-1085. doi: 10.1007/s00066-019-01482-1. Epub 2019 Jun 25.
4
Palliative care in everyday practice of radiation oncologists : Results from a web-based survey among medical members of the German Society for Radiation Oncology (DEGRO).在放射肿瘤学家的日常实践中进行姑息治疗:德国放射肿瘤学会(DEGRO)医学成员的一项基于网络的调查结果。
Strahlenther Onkol. 2019 Jul;195(7):659-667. doi: 10.1007/s00066-018-1403-2. Epub 2018 Nov 29.
5
Complementary medicine in radiation oncology : German health care professionals' current qualifications and therapeutic methods.补充医学在放射肿瘤学中的应用:德国卫生保健专业人员的当前资质和治疗方法。
Strahlenther Onkol. 2018 Oct;194(10):904-910. doi: 10.1007/s00066-018-1345-8. Epub 2018 Aug 2.
6
Whole brain radiotherapy for the treatment of newly diagnosed multiple brain metastases.全脑放疗用于治疗新诊断的多发性脑转移瘤。
Cochrane Database Syst Rev. 2018 Jan 25;1(1):CD003869. doi: 10.1002/14651858.CD003869.pub4.
7
Patient-reported symptoms before palliative radiotherapy predict survival differences.患者在接受姑息性放疗前报告的症状可预测生存差异。
Strahlenther Onkol. 2018 Jun;194(6):533-538. doi: 10.1007/s00066-018-1259-5. Epub 2018 Jan 17.
8
Impact of a combined multimodal-aerobic and multimodal intervention compared to standard aerobic treatment in breast cancer survivors with chronic cancer-related fatigue - results of a three-armed pragmatic trial in a comprehensive cohort design.与标准有氧运动治疗相比,联合多模式有氧运动和多模式干预对患有慢性癌症相关疲劳的乳腺癌幸存者的影响——一项综合队列设计的三臂实用试验结果
BMC Cancer. 2017 Mar 2;17(1):166. doi: 10.1186/s12885-017-3142-7.
9
A polysaccharide fraction from Achillea millefolium increases cytokine secretion and reduces activation of Akt, ERK and NF-κB in THP-1 monocytes.从蓍草中提取的一种多糖可增加细胞因子的分泌,并减少 THP-1 单核细胞中 Akt、ERK 和 NF-κB 的激活。
Carbohydr Polym. 2016 Jun 5;143:131-8. doi: 10.1016/j.carbpol.2016.02.017. Epub 2016 Feb 8.
10
Effect of Achillea Millefolium on Relief of Primary Dysmenorrhea: A Double-Blind Randomized Clinical Trial.蓍草对缓解原发性痛经的作用:一项双盲随机临床试验。
J Pediatr Adolesc Gynecol. 2015 Oct;28(5):402-4. doi: 10.1016/j.jpag.2014.12.008. Epub 2014 Dec 23.