Suppr超能文献

腰高比与体重指数之和与抑郁症风险的剂量反应关联:来自美国国家健康与营养检查调查(NHANES)05 - 16的证据

Dose-Response Association of Waist-to-Height Ratio Plus BMI and Risk of Depression: Evidence from the NHANES 05-16.

作者信息

Ma Wen, Yan Zhengwei, Wu Wentao, Li Daning, Zheng Shuai, Lyu Jun

机构信息

Clinical Research Center, The First Affiliated Hospital of Xi'an Jiaotong University, Xi'an, Shaanxi, People's Republic of China.

School of Public Health, Xi'an Jiaotong University Health Science Center, Xi'an, Shaanxi, People's Republic of China.

出版信息

Int J Gen Med. 2021 Apr 14;14:1283-1291. doi: 10.2147/IJGM.S304706. eCollection 2021.

Abstract

BACKGROUND

Obesity or underweight has been found to be associated with depression, but the relationship remains to be determined so that more precise prevention strategies can be implemented. Body mass index (BMI) and waist-height ratio (WHR) were used as indicators to study the dose-response relationship between depression and obesity or underweight.

METHODS

We obtained basic information and disease-related data for 13,975 adults from the National Health and Nutrition Examination Survey (NHANES) 2005-2016 dataset. The depressive status was determined based on the PHQ-9 scale (>4). Logistic regression was used to analyze the association and risk of BMI, WHTR and depressive status. Based on the results of logistic regression, the dose-response relationship between BMI, WHTR and depressive state was analyzed using restricted cubic splines (RCS).

RESULTS

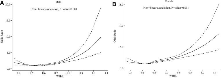
The adjusted model showed that compared with the fourth quartile (Q4) of BMI, the odds ratios (ORs) of depression for Q1, Q2 and Q3 were 0.63 (0.56-0.71), 0.61 (0.54-0.68) and 0.74 (0.66-0.82), and compared with the fourth quartile (Q4) of WHtR, the odds ratios (ORs) of depression for Q1, Q2 and Q3 were 0.55 (0.49-0.62), 0.57 (0.51-0.64) and 0.64 (0.57-0.71), respectively. The restricted cubic spline regression depicted a U-shaped dose-response relationship between continuous changes of obesity indicators and the risk of depression (P1, P2 < 0.001). When the participants' BMI reached approximately 25kg/m with the reference value of BMI was 18.5kg/m, the risk of depression was minimized (OR=0.68, 95% Cl=0.56-0.83). When the WHtR reached approximately 0.52 with the reference value of WHtR was 0.40, the risk of depression was minimized (OR=0.69, 95% Cl=0.54-0.88).

CONCLUSION

We found a significant U-shape correlation between BMI, WHtR and depression. People with slight overweight have the lowest risk of depression. However, according to the International Obesity standards, the population at these levels of weight may have an obesity-chronic disease risk, and this is not recommended.

摘要

背景

肥胖或体重过轻已被发现与抑郁症有关,但这种关系仍有待确定,以便能够实施更精确的预防策略。体重指数(BMI)和腰高比(WHR)被用作指标来研究抑郁症与肥胖或体重过轻之间的剂量反应关系。

方法

我们从2005 - 2016年美国国家健康与营养检查调查(NHANES)数据集中获取了13975名成年人的基本信息和疾病相关数据。根据PHQ - 9量表(>4)确定抑郁状态。采用逻辑回归分析BMI、腰高比与抑郁状态之间的关联和风险。基于逻辑回归结果,使用受限立方样条(RCS)分析BMI、腰高比与抑郁状态之间的剂量反应关系。

结果

调整后的模型显示,与BMI的第四四分位数(Q4)相比,Q1、Q2和Q3的抑郁症优势比(OR)分别为0.63(0.56 - 0.71)、0.61(0.54 - 0.68)和0.74(0.66 - 0.82);与腰高比的第四四分位数(Q4)相比,Q1、Q2和Q3的抑郁症优势比(OR)分别为0.55(0.49 - 0.62)、0.57(0.51 - 0.64)和0.64(0.57 - 0.71)。受限立方样条回归描绘了肥胖指标的连续变化与抑郁症风险之间的U型剂量反应关系(P1、P2 < 0.001)。当参与者的BMI达到约25kg/m²(BMI参考值为18.5kg/m²)时,抑郁症风险最小化(OR = 0.68,95%CI = 0.56 - 0.83)。当腰高比达到约0.52(腰高比参考值为0.40)时,抑郁症风险最小化(OR = 0.69,95%CI = 0.54 - 0.88)。

结论

我们发现BMI、腰高比与抑郁症之间存在显著的U型相关性。轻度超重的人患抑郁症的风险最低。然而,根据国际肥胖标准,处于这些体重水平的人群可能存在肥胖 - 慢性病风险,不建议如此。

https://cdn.ncbi.nlm.nih.gov/pmc/blobs/36e0/8055360/5cf0f38e7c39/IJGM-14-1283-g0001.jpg

文献AI研究员

20分钟写一篇综述,助力文献阅读效率提升50倍。

立即体验

用中文搜PubMed

大模型驱动的PubMed中文搜索引擎

马上搜索

文档翻译

学术文献翻译模型,支持多种主流文档格式。

立即体验