Suppr超能文献

两只疑似1型糖尿病的宠物豚鼠使用甘精胰岛素治疗成功

Successful Insulin Glargine Treatment in Two Pet Guinea Pigs with Suspected Type 1 Diabetes Mellitus.

作者信息

Kreilmeier-Berger Theresa, Zeugswetter Florian K, Blohm Klaas-Ole, Schwendenwein Ilse, Baszler Elisabeth, Ploderer Bernadette, Burgener Iwan Anton, Künzel Frank

机构信息

Clinical Department for Small Animals and Horses, Small Animal Clinic, Internal Medicine, University of Veterinary Medicine, 1210 Vienna, Austria.

AniCura Tierärztliche Spezialisten, 22043 Hamburg, Germany.

出版信息

Animals (Basel). 2021 Apr 5;11(4):1025. doi: 10.3390/ani11041025.

Abstract

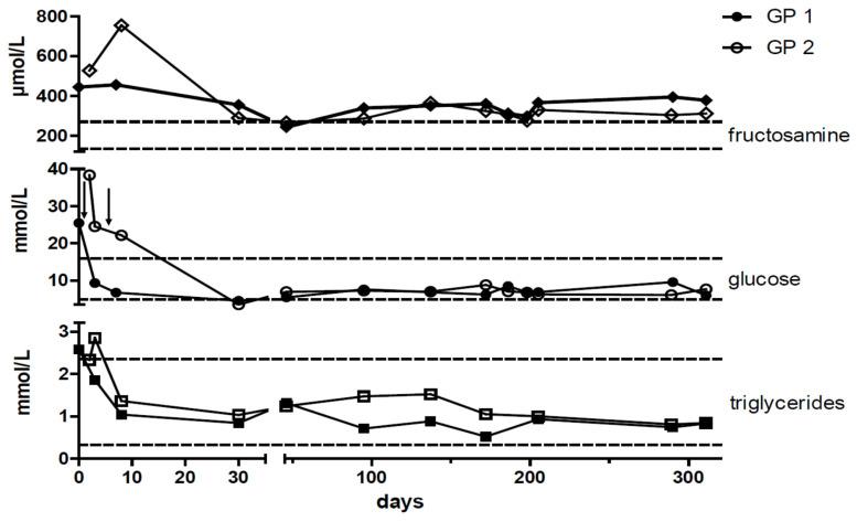
Scientific information on spontaneous type I diabetes mellitus (DM) and treatment modalities in guinea pigs is scarce. As most diabetic guinea pigs are overweight and respond to dietary changes, a disorder resembling type II-DM in humans seems to be most prevalent in this species. In the present report, a nine-month-old female intact guinea pig (GP1) was presented because of a cataract and polyphagia. The physical examinations in GP1 and its littermate, GP2, were unremarkable. Laboratory tests revealed hyperglycemia, hyperlipidemia, elevated fructosamine concentrations, and glucosuria in GP1 and GP2. Not responding to dietary changes, an insulin-dependent diabetes mellitus was suspected in both animals. Treatment with 0.5 IU of glargine insulin (Lantus) per guinea pig subcutaneously (s.c.) once daily was initiated in both animals. Monitoring included repeated clinical evaluations and the measurement of plasma glucose and fructosamine concentrations. Capillary glucose concentration was measured using a glucometer, and glucosuria was monitored by dipstick. Blood glucose concentrations decreased quickly in both GPs, and glucosuria resolved. Including several dose adjustments, DM remained controlled for over 1.5 years. Bilateral cataracts and lens-induced uveitis in GP1 were medically managed with only slight progression. This is the first report of guinea pigs with insulin-dependent diabetes mellitus that were successfully treated with long-acting basal insulin glargine.

摘要

关于豚鼠自发性I型糖尿病(DM)及其治疗方式的科学信息匮乏。由于大多数糖尿病豚鼠超重且对饮食变化有反应,在该物种中似乎最普遍存在一种类似于人类II型糖尿病的病症。在本报告中,一只9个月大的雌性未绝育豚鼠(GP1)因白内障和多食症前来就诊。对GP1及其同窝豚鼠GP2的体格检查无异常。实验室检查显示,GP1和GP2均存在高血糖、高血脂、果糖胺浓度升高及糖尿。由于对饮食变化无反应,怀疑两只动物均患有胰岛素依赖型糖尿病。两只动物均开始每天皮下注射(s.c.)0.5 IU甘精胰岛素(来得时)进行治疗。监测包括重复的临床评估以及血浆葡萄糖和果糖胺浓度的测量。使用血糖仪测量毛细血管葡萄糖浓度,并用试纸监测糖尿情况。两只豚鼠的血糖浓度均迅速下降,糖尿症状消失。经过几次剂量调整,糖尿病在1.5年多的时间里一直得到控制。GP1的双侧白内障和晶状体诱导性葡萄膜炎通过药物治疗,进展轻微。这是首次关于用长效基础胰岛素甘精胰岛素成功治疗胰岛素依赖型糖尿病豚鼠的报告。

https://cdn.ncbi.nlm.nih.gov/pmc/blobs/e7aa/8067123/ec4285761487/animals-11-01025-g001.jpg

文献AI研究员

20分钟写一篇综述,助力文献阅读效率提升50倍。

立即体验

用中文搜PubMed

大模型驱动的PubMed中文搜索引擎

马上搜索

文档翻译

学术文献翻译模型,支持多种主流文档格式。

立即体验