Department of Biomedical Engineering, Faculty of Medicine and Dentistry, University of Alberta, Edmonton, AB, Canada.
Faculty of Kinesiology, Sport, and Recreation, University of Alberta, Edmonton, AB, Canada.
J Neuroeng Rehabil. 2021 May 1;18(1):72. doi: 10.1186/s12984-021-00855-x.
Research studies on upper limb prosthesis function often rely on the use of simulated myoelectric prostheses (attached to and operated by individuals with intact limbs), primarily to increase participant sample size. However, it is not known if these devices elicit the same movement strategies as myoelectric prostheses (operated by individuals with amputation). The objective of this study was to address the question of whether non-disabled individuals using simulated prostheses employ the same compensatory movements (measured by hand and upper body kinematics) as individuals who use actual myoelectric prostheses.
The upper limb movements of two participant groups were investigated: (1) twelve non-disabled individuals wearing a simulated prosthesis, and (2) three individuals with transradial amputation using their custom-fitted myoelectric devices. Motion capture was used for data collection while participants performed a standardized functional task. Performance metrics, hand movements, and upper body angular kinematics were calculated. For each participant group, these measures were compared to those from a normative baseline dataset. Each deviation from normative movement behaviour, by either participant group, indicated that compensatory movements were used during task performance.
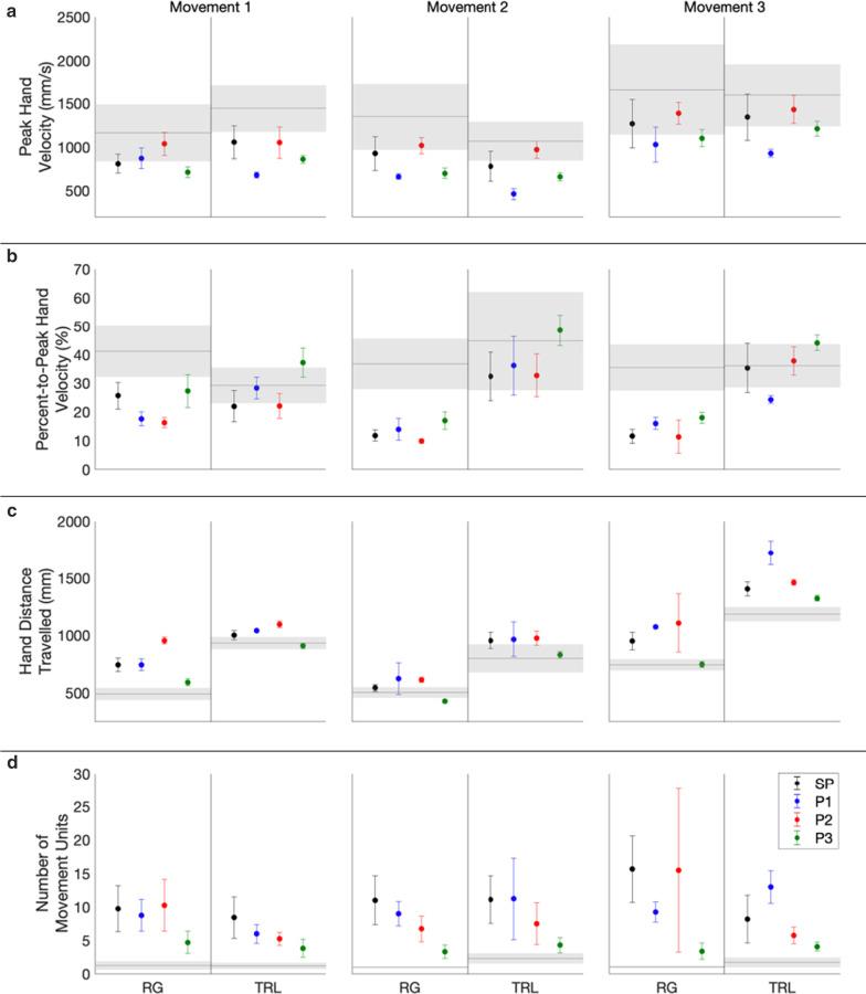
Results show that participants using either a simulated or actual myoelectric prosthesis exhibited similar deviations from normative behaviour in phase durations, hand velocities, hand trajectories, number of movement units, grip aperture plateaus, and trunk and shoulder ranges of motion.
This study suggests that the use of a simulated prosthetic device in upper limb research offers a reasonable approximation of compensatory movements employed by a low- to moderately-skilled transradial myoelectric prosthesis user.
上肢假肢功能的研究多依赖于模拟式肌电假肢(由肢体健全者佩戴和操作),主要是为了增加参与者的样本量。然而,目前尚不清楚这些设备是否能引发与由截肢者操作的肌电假肢相同的运动策略。本研究旨在探讨一个问题,即使用模拟假肢的非残疾个体是否会采用与实际使用肌电假肢的个体相同的代偿运动(通过手部和上半身运动学测量)。
研究了两组参与者的上肢运动:(1)12 名佩戴模拟假肢的非残疾个体,和(2)3 名使用定制肌电设备的桡骨截肢个体。在参与者执行标准化功能任务时,使用运动捕捉进行数据采集。计算运动表现指标、手部运动和上半身角度运动学。对于每个参与者组,将这些测量值与标准基线数据集进行比较。每个参与者组的任何与标准运动行为的偏差都表明在任务执行过程中使用了代偿运动。
结果表明,使用模拟或实际肌电假肢的参与者在相位持续时间、手部速度、手部轨迹、运动单元数量、握持开口板平台、躯干和肩部运动范围等方面都表现出与标准行为相似的偏差。
本研究表明,在上肢研究中使用模拟假肢设备可以合理地模拟由低技能到中等技能的桡骨肌电假肢使用者所采用的代偿运动。