Suppr超能文献

长期暴露于颗粒物空气污染与心力衰竭患者 30 天内再入院和住院有关。

Long-Term Exposure to Particulate Air Pollution Is Associated With 30-Day Readmissions and Hospital Visits Among Patients With Heart Failure.

机构信息

Center for Public Health and Environmental Assessment US Environmental Protection Agency Chapel Hill NC.

Department of Environmental Health Harvard TH Chan School of Public Health Boston MA.

出版信息

J Am Heart Assoc. 2021 May 18;10(10):e019430. doi: 10.1161/JAHA.120.019430. Epub 2021 May 4.

Abstract

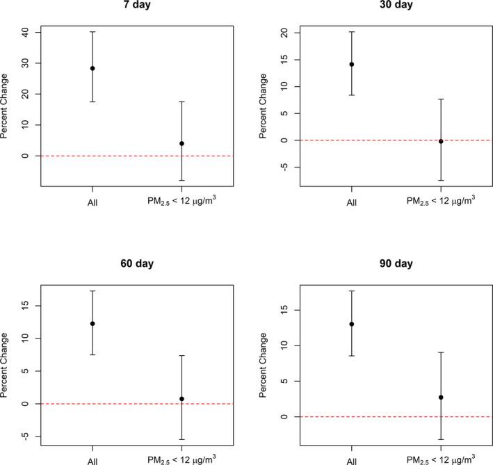
Background Long-term air pollution exposure is a significant risk factor for inpatient hospital admissions in the general population. However, we lack information on whether long-term air pollution exposure is a risk factor for hospital readmissions, particularly in individuals with elevated readmission rates. Methods and Results We determined the number of readmissions and total hospital visits (outpatient visits+emergency room visits+inpatient admissions) for 20 920 individuals with heart failure. We used quasi-Poisson regression models to associate annual average fine particulate matter at the date of heart failure diagnosis with the number of hospital visits and 30-day readmissions. We used inverse probability weights to balance the distribution of confounders and adjust for the competing risk of death. Models were adjusted for age, race, sex, smoking status, urbanicity, year of diagnosis, short-term fine particulate matter exposure, comorbid disease, and socioeconomic status. A 1-µg/m increase in fine particulate matter was associated with a 9.31% increase (95% CI, 7.85%-10.8%) in total hospital visits, a 4.35% increase (95% CI, 1.12%-7.68%) in inpatient admissions, and a 14.2% increase (95% CI, 8.41%-20.2%) in 30-day readmissions. Associations were robust to different modeling approaches. Conclusions These results highlight the potential for air pollution to play a role in hospital use, particularly hospital visits and readmissions. Given the elevated frequency of hospitalizations and readmissions among patients with heart failure, these results also represent an important insight into modifiable environmental risk factors that may improve outcomes and reduce hospital use among patients with heart failure.

摘要

背景

长期暴露于空气污染是一般人群住院的重要危险因素。然而,我们缺乏关于长期空气污染暴露是否是再入院风险因素的信息,特别是在再入院率较高的人群中。

方法和结果

我们确定了 20920 例心力衰竭患者的再入院次数和总住院次数(门诊就诊+急诊就诊+住院)。我们使用拟泊松回归模型将心力衰竭诊断日期的年平均细颗粒物与住院次数和 30 天再入院率相关联。我们使用逆概率权重来平衡混杂因素的分布,并调整死亡的竞争风险。模型调整了年龄、种族、性别、吸烟状况、城市性、诊断年份、短期细颗粒物暴露、合并症和社会经济状况。细颗粒物每增加 1µg/m,总住院次数增加 9.31%(95%CI,7.85%-10.8%),住院人数增加 4.35%(95%CI,1.12%-7.68%),30 天再入院率增加 14.2%(95%CI,8.41%-20.2%)。这些关联在不同的建模方法中都是稳健的。

结论

这些结果强调了空气污染在医院使用中的潜在作用,特别是在住院和再入院方面。鉴于心力衰竭患者的住院和再入院频率较高,这些结果也代表了对可改变的环境危险因素的重要认识,这些危险因素可能改善心力衰竭患者的结局并减少其对医院的使用。

https://cdn.ncbi.nlm.nih.gov/pmc/blobs/1f5a/8200693/9281b644beed/JAH3-10-e019430-g001.jpg

文献AI研究员

20分钟写一篇综述,助力文献阅读效率提升50倍。

立即体验

用中文搜PubMed

大模型驱动的PubMed中文搜索引擎

马上搜索

文档翻译

学术文献翻译模型,支持多种主流文档格式。

立即体验