• 文献检索
  • 文档翻译
  • 深度研究
  • 学术资讯
  • Suppr Zotero 插件Zotero 插件
  • 邀请有礼
  • 套餐&价格
  • 历史记录
应用&插件
Suppr Zotero 插件Zotero 插件浏览器插件Mac 客户端Windows 客户端微信小程序
定价
高级版会员购买积分包购买API积分包
服务
文献检索文档翻译深度研究API 文档MCP 服务
关于我们
关于 Suppr公司介绍联系我们用户协议隐私条款
关注我们

Suppr 超能文献

核心技术专利:CN118964589B侵权必究
粤ICP备2023148730 号-1Suppr @ 2026

文献检索

告别复杂PubMed语法,用中文像聊天一样搜索,搜遍4000万医学文献。AI智能推荐,让科研检索更轻松。

立即免费搜索

文件翻译

保留排版,准确专业,支持PDF/Word/PPT等文件格式,支持 12+语言互译。

免费翻译文档

深度研究

AI帮你快速写综述,25分钟生成高质量综述,智能提取关键信息,辅助科研写作。

立即免费体验

基于风险评分系统的中国人群妊娠期糖尿病风险预测模型

Risk Prediction Model of Gestational Diabetes Mellitus in a Chinese Population Based on a Risk Scoring System.

作者信息

Wang Yanmei, Ge Zhijuan, Chen Lei, Hu Jun, Zhou Wenting, Shen Shanmei, Zhu Dalong, Bi Yan

机构信息

Department of Endocrinology, Nanjing Drum Tower Hospital, The Affiliated Hospital of Nanjing University Medical School, No. 321, Zhongshan Road, Nanjing, 210008, China.

Department of Endocrinology, Suzhou Hospital Affiliated to Nanjing Medical University, Suzhou, China.

出版信息

Diabetes Ther. 2021 Jun;12(6):1721-1734. doi: 10.1007/s13300-021-01066-2. Epub 2021 May 15.

DOI:10.1007/s13300-021-01066-2
PMID:33993435
原文链接:https://pmc.ncbi.nlm.nih.gov/articles/PMC8179863/
Abstract

INTRODUCTION

Gestational diabetes mellitus (GDM) is associated with adverse perinatal outcomes. Accurate models for early prediction of GDM are lacking. This study aimed to explore an early risk prediction model to identify women at high risk of GDM through a risk scoring system.

METHODS

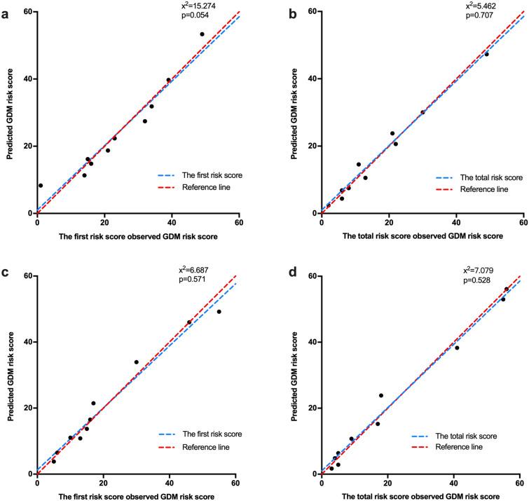
This was a retrospective cohort study of 785 control pregnancies and 855 women with GDM. Maternal clinical characteristics and biochemical measures were extracted from the medical records. Logistic regression analysis was used to obtain coefficients of selected predictors for GDM in the training cohort. The discrimination and calibration of the risk scores were evaluated by the receiver-operating characteristic (ROC) curve and a Hosmer-Lemeshow test in the internal and external validation cohort, respectively.

RESULTS

In the training cohort (total = 1640), two risk scores were developed, one including predictors collected at the first antenatal care visit for early prediction of GDM, such as age, height, pre-pregnancy body mass index, educational background, family history of diabetes, menstrual history, history of cesarean delivery, GDM, polycystic ovary syndrome, hypertension, and fasting blood glucose (FBG), and the total risk score also including FBG and triglyceride values during 14-20 gestational weeks. Our total risk score yielded an area under the curve (AUC) of 0.845 (95% CI = 0.805-0.884). This performed better in an external validation cohort, with an AUC of 0.886 (95% CI = 0.856-0.916).

CONCLUSION

The GDM risk score, which incorporates several potential clinical features with routine biochemical measures of GDM, appears to be a sensitive and reliable screening tool for earlier detection of GDM risk.

摘要

引言

妊娠期糖尿病(GDM)与不良围产期结局相关。目前缺乏用于早期预测GDM的准确模型。本研究旨在探索一种早期风险预测模型,通过风险评分系统识别GDM高危女性。

方法

这是一项回顾性队列研究,纳入785例对照妊娠和855例GDM女性。从病历中提取孕产妇临床特征和生化指标。在训练队列中,采用逻辑回归分析获得GDM选定预测因素的系数。分别通过受试者工作特征(ROC)曲线和Hosmer-Lemeshow检验在内部和外部验证队列中评估风险评分的辨别力和校准度。

结果

在训练队列(共1640例)中,开发了两个风险评分,一个包括首次产前检查时收集的用于早期预测GDM的预测因素,如年龄、身高、孕前体重指数、教育背景、糖尿病家族史、月经史、剖宫产史、GDM、多囊卵巢综合征、高血压和空腹血糖(FBG),总风险评分还包括孕14 - 20周期间的FBG和甘油三酯值。我们的总风险评分曲线下面积(AUC)为0.845(95%CI = 0.805 - 0.884)。在外部验证队列中表现更好,AUC为0.886(95%CI = 0.856 - 0.916)。

结论

结合多种潜在临床特征与GDM常规生化指标的GDM风险评分,似乎是早期检测GDM风险的敏感且可靠的筛查工具。

https://cdn.ncbi.nlm.nih.gov/pmc/blobs/e62d/8179863/901d6fa41c8a/13300_2021_1066_Fig2_HTML.jpg
https://cdn.ncbi.nlm.nih.gov/pmc/blobs/e62d/8179863/ecb7ca7078ba/13300_2021_1066_Fig1_HTML.jpg
https://cdn.ncbi.nlm.nih.gov/pmc/blobs/e62d/8179863/901d6fa41c8a/13300_2021_1066_Fig2_HTML.jpg
https://cdn.ncbi.nlm.nih.gov/pmc/blobs/e62d/8179863/ecb7ca7078ba/13300_2021_1066_Fig1_HTML.jpg
https://cdn.ncbi.nlm.nih.gov/pmc/blobs/e62d/8179863/901d6fa41c8a/13300_2021_1066_Fig2_HTML.jpg

相似文献

1
Risk Prediction Model of Gestational Diabetes Mellitus in a Chinese Population Based on a Risk Scoring System.基于风险评分系统的中国人群妊娠期糖尿病风险预测模型
Diabetes Ther. 2021 Jun;12(6):1721-1734. doi: 10.1007/s13300-021-01066-2. Epub 2021 May 15.
2
Development and validation of an early pregnancy risk score for the prediction of gestational diabetes mellitus in Chinese pregnant women.中国孕妇早期妊娠风险评分预测妊娠期糖尿病的开发与验证
BMJ Open Diabetes Res Care. 2020 Apr;8(1). doi: 10.1136/bmjdrc-2019-000909.
3
Establishment of gestational diabetes risk prediction model and clinical verification.妊娠期糖尿病风险预测模型的建立及临床验证。
J Endocrinol Invest. 2024 May;47(5):1281-1287. doi: 10.1007/s40618-023-02249-3. Epub 2023 Dec 12.
4
Nomogram for prediction of gestational diabetes mellitus in urban, Chinese, pregnant women.预测城市中国孕妇妊娠糖尿病的列线图。
BMC Pregnancy Childbirth. 2020 Jan 20;20(1):43. doi: 10.1186/s12884-019-2703-y.
5
Triglyceride-glucose index in early pregnancy predicts the risk of gestational diabetes: a prospective cohort study.早孕期甘油三酯-葡萄糖指数预测妊娠期糖尿病风险:一项前瞻性队列研究。
Lipids Health Dis. 2024 Mar 25;23(1):87. doi: 10.1186/s12944-024-02076-2.
6
A Prediction Model of Gestational Diabetes Mellitus Based on OGTT in Early Pregnancy: A Prospective Cohort Study.基于早孕期 OGTT 的妊娠期糖尿病预测模型:一项前瞻性队列研究。
J Clin Endocrinol Metab. 2023 Jul 14;108(8):1998-2006. doi: 10.1210/clinem/dgad052.
7
Preconception predictors of gestational diabetes: a multicentre prospective cohort study on the predominant complication of pregnancy in polycystic ovary syndrome.多囊卵巢综合征患者妊娠的主要并发症:一项关于妊娠前预测妊娠期糖尿病的多中心前瞻性队列研究。
Hum Reprod. 2014 Jun;29(6):1327-36. doi: 10.1093/humrep/deu077. Epub 2014 Apr 28.
8
A Simplified Screening Model to Predict the Risk of Gestational Diabetes Mellitus in Pregnant Chinese Women.一种预测中国孕妇妊娠期糖尿病风险的简化筛查模型。
Diabetes Ther. 2023 Dec;14(12):2143-2157. doi: 10.1007/s13300-023-01480-8. Epub 2023 Oct 16.
9
A risk prediction model of gestational diabetes mellitus based on traditional and genetic factors.基于传统和遗传因素的妊娠期糖尿病风险预测模型。
J Obstet Gynaecol. 2024 Dec;44(1):2372665. doi: 10.1080/01443615.2024.2372665. Epub 2024 Jul 4.
10
Development, validation and clinical utility of a risk prediction model for adverse pregnancy outcomes in women with gestational diabetes: The PeRSonal GDM model.妊娠期糖尿病女性不良妊娠结局风险预测模型的开发、验证及临床应用:PeRSonal GDM模型
EClinicalMedicine. 2022 Sep 5;52:101637. doi: 10.1016/j.eclinm.2022.101637. eCollection 2022 Oct.

引用本文的文献

1
Development and validation of a prediction model for gestational diabetes mellitus risk among women from 8 to 14 weeks of gestation in Western China.中国西部妊娠8至14周女性妊娠期糖尿病风险预测模型的建立与验证
BMC Pregnancy Childbirth. 2025 Apr 2;25(1):385. doi: 10.1186/s12884-025-07442-1.
2
Risk Factors for Gestational Diabetes Mellitus in Mainland China: A Systematic Review and Meta-Analysis.中国大陆妊娠期糖尿病的危险因素:系统评价与Meta分析
Diabetes Metab Syndr Obes. 2025 Feb 22;18:565-581. doi: 10.2147/DMSO.S502043. eCollection 2025.
3
A stepwise prediction and interpretation of gestational diabetes mellitus: Foster the practical application of machine learning in clinical decision.

本文引用的文献

1
Early Prediction of Gestational Diabetes Mellitus in the Chinese Population via Advanced Machine Learning.基于先进机器学习的中国人群妊娠期糖尿病早期预测。
J Clin Endocrinol Metab. 2021 Mar 8;106(3):e1191-e1205. doi: 10.1210/clinem/dgaa899.
2
Risk prediction model of gestational diabetes mellitus based on nomogram in a Chinese population cohort study.基于中国人群队列研究的列线图预测妊娠期糖尿病风险的模型。
Sci Rep. 2020 Dec 4;10(1):21223. doi: 10.1038/s41598-020-78164-x.
3
Prevalence of early-onset GDM and associated risk factors in a university hospital in Thailand.
妊娠期糖尿病的逐步预测与解读:促进机器学习在临床决策中的实际应用。
Heliyon. 2024 Jun 8;10(12):e32709. doi: 10.1016/j.heliyon.2024.e32709. eCollection 2024 Jun 30.
4
A Simplified Screening Model to Predict the Risk of Gestational Diabetes Mellitus in Pregnant Chinese Women.一种预测中国孕妇妊娠期糖尿病风险的简化筛查模型。
Diabetes Ther. 2023 Dec;14(12):2143-2157. doi: 10.1007/s13300-023-01480-8. Epub 2023 Oct 16.
5
Multi-omics and machine learning for the prevention and management of female reproductive health.多组学和机器学习在女性生殖健康的预防和管理中的应用。
Front Endocrinol (Lausanne). 2023 Feb 23;14:1081667. doi: 10.3389/fendo.2023.1081667. eCollection 2023.
6
First-Trimester Triglyceride-Glucose Index and Risk of Pregnancy-Related Complications: A Prospective Birth Cohort Study in Southeast China.孕早期甘油三酯-葡萄糖指数与妊娠相关并发症风险:中国东南部一项前瞻性出生队列研究
Diabetes Metab Syndr Obes. 2022 Nov 28;15:3705-3715. doi: 10.2147/DMSO.S378964. eCollection 2022.
7
Putrescine as a Novel Biomarker of Maternal Serum in First Trimester for the Prediction of Gestational Diabetes Mellitus: A Nested Case-Control Study.精胺作为预测妊娠糖尿病的早孕期母体血清新型生物标志物:巢式病例对照研究。
Front Endocrinol (Lausanne). 2021 Dec 14;12:759893. doi: 10.3389/fendo.2021.759893. eCollection 2021.
泰国某大学医院中早发妊娠糖尿病的流行情况及其相关危险因素。
J Obstet Gynaecol. 2021 Aug;41(6):915-919. doi: 10.1080/01443615.2020.1820469. Epub 2020 Nov 24.
4
Prognosis associated with initial care of increased fasting glucose in early pregnancy: A retrospective study.与早期妊娠空腹血糖升高的初始治疗相关的预后:一项回顾性研究。
Diabetes Metab. 2021 May;47(3):101197. doi: 10.1016/j.diabet.2020.08.007. Epub 2020 Oct 8.
5
Intrauterine exposure to diabetes and risk of cardiovascular disease in adolescence and early adulthood: a population-based birth cohort study.子宫内暴露于糖尿病与青少年和成年早期心血管疾病风险:基于人群的出生队列研究。
CMAJ. 2020 Sep 28;192(39):E1104-E1113. doi: 10.1503/cmaj.190797.
6
Early Diagnosed Gestational Diabetes Mellitus Is Associated With Adverse Pregnancy Outcomes: A Prospective Cohort Study.早期诊断的妊娠期糖尿病与不良妊娠结局相关:一项前瞻性队列研究。
J Clin Endocrinol Metab. 2020 Dec 1;105(12). doi: 10.1210/clinem/dgaa633.
7
Prediction of gestational diabetes based on nationwide electronic health records.基于全国电子健康记录预测妊娠期糖尿病。
Nat Med. 2020 Jan;26(1):71-76. doi: 10.1038/s41591-019-0724-8. Epub 2020 Jan 13.
8
2. Classification and Diagnosis of Diabetes: .2. 糖尿病的分类和诊断: 。
Diabetes Care. 2020 Jan;43(Suppl 1):S14-S31. doi: 10.2337/dc20-S002.
9
Waist-height ratio: How well does it predict glucose intolerance and systemic hypertension?腰高比:它对葡萄糖耐量异常和系统性高血压的预测能力如何?
Diabetes Res Clin Pract. 2019 Dec;158:107925. doi: 10.1016/j.diabres.2019.107925. Epub 2019 Nov 9.
10
Trends in prevalence of gestational diabetes and perinatal outcomes in Catalonia, Spain, 2006 to 2015: the Diagestcat Study.西班牙加泰罗尼亚 2006 年至 2015 年妊娠期糖尿病患病率及围产结局变化趋势:Diagestcat 研究。
Diabetes Metab Res Rev. 2019 Jul;35(5):e3151. doi: 10.1002/dmrr.3151. Epub 2019 Apr 16.