• 文献检索
  • 文档翻译
  • 深度研究
  • 学术资讯
  • Suppr Zotero 插件Zotero 插件
  • 邀请有礼
  • 套餐&价格
  • 历史记录
应用&插件
Suppr Zotero 插件Zotero 插件浏览器插件Mac 客户端Windows 客户端微信小程序
定价
高级版会员购买积分包购买API积分包
服务
文献检索文档翻译深度研究API 文档MCP 服务
关于我们
关于 Suppr公司介绍联系我们用户协议隐私条款
关注我们

Suppr 超能文献

核心技术专利:CN118964589B侵权必究
粤ICP备2023148730 号-1Suppr @ 2026

文献检索

告别复杂PubMed语法,用中文像聊天一样搜索,搜遍4000万医学文献。AI智能推荐,让科研检索更轻松。

立即免费搜索

文件翻译

保留排版,准确专业,支持PDF/Word/PPT等文件格式,支持 12+语言互译。

免费翻译文档

深度研究

AI帮你快速写综述,25分钟生成高质量综述,智能提取关键信息,辅助科研写作。

立即免费体验

儿童和青少年尿邻苯二甲酸代谢物与心血管代谢危险因素和氧化应激标志物的关系。

Relationship of Urinary Phthalate Metabolites with Cardiometabolic Risk Factors and Oxidative Stress Markers in Children and Adolescents.

机构信息

Department of Environmental Health Engineering, School of Health, Isfahan University of Medical Sciences, Isfahan, Iran.

Environment Research Center, Research Institute for Primordial Prevention of Non-Communicable Disease, Isfahan University of Medical Sciences, Isfahan, Iran.

出版信息

J Environ Public Health. 2021 Apr 27;2021:5514073. doi: 10.1155/2021/5514073. eCollection 2021.

DOI:10.1155/2021/5514073
PMID:33995534
原文链接:https://pmc.ncbi.nlm.nih.gov/articles/PMC8096563/
Abstract

INTRODUCTION

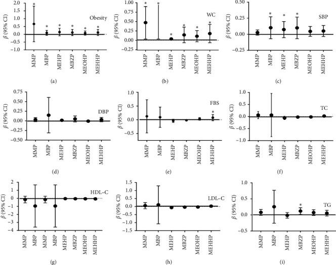
Studies have proved that exposure of adults to phthalates might be related to cardiometabolic risk factors and changes in markers of oxidative stress. Such studies conducted on school-age children and adolescents are limited and fail to assess the simultaneous effect of phthalates on these risk factors and oxidative stress markers. Therefore, it was attempted to identify the relationship of urinary phthalate metabolites with cardiometabolic risk factors and oxidative stress markers in children and adolescents. In this cross-sectional study, 108 children and adolescents, living in Isfahan industrial city of Iran, were examined. Urine samples taken from the participants were analyzed for mono-butyl phthalate (MBP), mono-benzyl phthalate (MBzP), mono-(2-ethylhexyl) phthalate (MEHP), mono-(2-ethyl-5-hydroxyhexyl) phthalate (MEHHP), mono-(2-ethyl-5-exohexyl) phthalate (MEOHP), and mono-methyl phthalate (MMP).

RESULTS

Results showed that, among phthalate metabolites, MBP had the highest concentration, followed by MBzP, MEOHP, MEHHP, MEHP, and MMP. Concentrations of these metabolites had a significant relationship with some of the cardiometabolic risk factors including systolic blood pressure (SBP), fasting blood sugar (FBS), and triglycerides (TG) ( < 0.05). Furthermore, the crude and adjusted linear regression models indicated the significant association of phthalate metabolites with superoxide dismutase (SOD), malondialdehyde (MDA), and homeostasis model assessment of insulin resistance (HOMA-IR) ( < 0.05).

CONCLUSION

Although urinary phthalate concentrations could not exactly reflect the long-term exposure level in the studied age groups, the consumption of phthalate-free products during childhood and adolescent development shall be assumed helpful in maintaining a healthy lifestyle. To confirm these findings and develop effective intervention strategies, it would be necessary to perform longitudinal studies on diverse population.

摘要

简介

研究表明,成年人接触邻苯二甲酸酯可能与心血管代谢危险因素和氧化应激标志物的变化有关。此类针对学龄儿童和青少年开展的研究十分有限,无法评估邻苯二甲酸酯同时对这些危险因素和氧化应激标志物的影响。因此,本研究旨在确定儿童和青少年尿液中邻苯二甲酸酯代谢物与心血管代谢危险因素和氧化应激标志物之间的关系。在这项横断面研究中,研究人员共检测了 108 名居住在伊朗伊斯法罕工业城市的儿童和青少年。研究人员对参与者的尿液样本进行了分析,以检测单丁基邻苯二甲酸酯(MBP)、单苄基邻苯二甲酸酯(MBzP)、单(2-乙基己基)邻苯二甲酸酯(MEHP)、单(2-乙基-5-羟己基)邻苯二甲酸酯(MEHHP)、单(2-乙基-5-氧己基)邻苯二甲酸酯(MEOHP)和单甲基邻苯二甲酸酯(MMP)的含量。

结果

结果显示,在所检测的邻苯二甲酸酯代谢物中,MBP 的浓度最高,其次是 MBzP、MEOHP、MEHHP、MEHP 和 MMP。这些代谢物的浓度与一些心血管代谢危险因素呈显著相关,包括收缩压(SBP)、空腹血糖(FBS)和甘油三酯(TG)( < 0.05)。此外,未经调整和调整后的线性回归模型均表明,邻苯二甲酸酯代谢物与超氧化物歧化酶(SOD)、丙二醛(MDA)和稳态模型评估的胰岛素抵抗(HOMA-IR)呈显著相关( < 0.05)。

结论

尽管尿液中邻苯二甲酸酯的浓度并不能准确反映研究年龄段的长期暴露水平,但在儿童和青少年发育期间,使用无邻苯二甲酸酯产品应有助于维持健康的生活方式。为了证实这些发现并制定有效的干预策略,有必要在不同人群中开展纵向研究。

https://cdn.ncbi.nlm.nih.gov/pmc/blobs/413a/8096563/ee290feb3531/JEPH2021-5514073.001.jpg
https://cdn.ncbi.nlm.nih.gov/pmc/blobs/413a/8096563/ee290feb3531/JEPH2021-5514073.001.jpg
https://cdn.ncbi.nlm.nih.gov/pmc/blobs/413a/8096563/ee290feb3531/JEPH2021-5514073.001.jpg

相似文献

1
Relationship of Urinary Phthalate Metabolites with Cardiometabolic Risk Factors and Oxidative Stress Markers in Children and Adolescents.儿童和青少年尿邻苯二甲酸代谢物与心血管代谢危险因素和氧化应激标志物的关系。
J Environ Public Health. 2021 Apr 27;2021:5514073. doi: 10.1155/2021/5514073. eCollection 2021.
2
Association of urinary concentrations of phthalate metabolites with cardiometabolic risk factors and obesity in children and adolescents.邻苯二甲酸代谢物在尿液中的浓度与儿童和青少年的心血管代谢危险因素和肥胖的关系。
Chemosphere. 2018 Nov;211:547-556. doi: 10.1016/j.chemosphere.2018.07.172. Epub 2018 Jul 31.
3
Biomonitoring of phthalate metabolites in the Canadian population through the Canadian Health Measures Survey (2007-2009).通过加拿大健康测量调查(2007-2009 年)对加拿大人群中邻苯二甲酸代谢物进行生物监测。
Int J Hyg Environ Health. 2013 Nov;216(6):652-61. doi: 10.1016/j.ijheh.2012.12.009. Epub 2013 Feb 16.
4
Association of urinary phthalate metabolites concentrations with body mass index and waist circumference.尿邻苯二甲酸代谢物浓度与体重指数和腰围的关系。
Environ Sci Pollut Res Int. 2018 Apr;25(11):11143-11151. doi: 10.1007/s11356-018-1413-8. Epub 2018 Feb 7.
5
Telomere length as a modifier in the relationship between phthalate metabolites exposure and glucose homeostasis.端粒长度作为邻苯二甲酸代谢物暴露与葡萄糖稳态关系的修饰因子。
Environ Pollut. 2024 Mar 1;344:123309. doi: 10.1016/j.envpol.2024.123309. Epub 2024 Jan 6.
6
Age and sex differences in childhood and adulthood obesity association with phthalates: analyses of NHANES 2007-2010.儿童期和成年期肥胖与邻苯二甲酸盐关联中的年龄和性别差异:2007 - 2010年美国国家健康与营养检查调查分析
Int J Hyg Environ Health. 2014 Jul;217(6):687-94. doi: 10.1016/j.ijheh.2014.02.005. Epub 2014 Mar 5.
7
Predictors of urinary bisphenol A and phthalate metabolite concentrations in Mexican children.墨西哥儿童尿液中双酚 A 和邻苯二甲酸代谢物浓度的预测因素。
Chemosphere. 2013 Nov;93(10):2390-8. doi: 10.1016/j.chemosphere.2013.08.038. Epub 2013 Sep 14.
8
Early life exposure to phthalates in the Canadian Healthy Infant Longitudinal Development (CHILD) study: a multi-city birth cohort.在加拿大健康婴儿纵向发展(CHILD)研究中,早期生活中邻苯二甲酸酯的暴露:一项多城市出生队列研究。
J Expo Sci Environ Epidemiol. 2020 Jan;30(1):70-85. doi: 10.1038/s41370-019-0182-x. Epub 2019 Oct 22.
9
Prenatal urinary phthalate metabolites levels and neurodevelopment in children at two and three years of age.孕期尿液邻苯二甲酸代谢物水平与儿童 2 至 3 岁时的神经发育。
Sci Total Environ. 2013 Sep 1;461-462:386-90. doi: 10.1016/j.scitotenv.2013.05.021. Epub 2013 Jun 5.
10
Phthalate metabolites in obese individuals undergoing weight loss: Urinary levels and estimation of the phthalates daily intake.肥胖个体减肥过程中的邻苯二甲酸代谢物:尿中水平及邻苯二甲酸酯日摄入量估算。
Environ Int. 2013 Sep;59:344-53. doi: 10.1016/j.envint.2013.06.023. Epub 2013 Jul 24.

引用本文的文献

1
Childhood Cardiovascular Health, Obesity, and Some Related Disorders: Insights into Chronic Inflammation and Oxidative Stress.儿童心血管健康、肥胖症及相关疾病:慢性炎症与氧化应激的启示。
Int J Mol Sci. 2024 Sep 7;25(17):9706. doi: 10.3390/ijms25179706.
2
Exposure to a Mixture of Endocrine-Disrupting Chemicals and Metabolic Outcomes in Belgian Adolescents.暴露于内分泌干扰化学混合物和比利时青少年代谢结局的关系。
Environ Sci Technol. 2023 Dec 5;57(48):19871-19880. doi: 10.1021/acs.est.3c07607. Epub 2023 Nov 9.
3
Cross-sectional associations between phthalates, phenols, and parabens with metabolic syndrome risk during early-to-mid adolescence among a cohort of Mexican youth.

本文引用的文献

1
Phthalates Implications in the Cardiovascular System.邻苯二甲酸盐对心血管系统的影响。
J Cardiovasc Dev Dis. 2020 Jul 22;7(3):26. doi: 10.3390/jcdd7030026.
2
Phthalate exposure linked to high blood pressure in Chinese children.邻苯二甲酸酯暴露与中国儿童高血压有关。
Environ Int. 2020 Oct;143:105958. doi: 10.1016/j.envint.2020.105958. Epub 2020 Jul 17.
3
Urinary Phthalate Metabolites in Common Bottlenose Dolphins () From Sarasota Bay, FL, USA.美国佛罗里达州萨拉索塔湾宽吻海豚体内的邻苯二甲酸酯代谢物
青少年早期至中期墨西哥青少年人群中邻苯二甲酸酯、酚类和对羟基苯甲酸酯与代谢综合征风险的横断面关联。
Environ Res. 2023 Nov 1;236(Pt 1):116706. doi: 10.1016/j.envres.2023.116706. Epub 2023 Jul 19.
4
Concentrations of urinary parabens and reproductive hormones in Iranian women: Exposure and risk assessment.伊朗女性尿液中对羟基苯甲酸酯和生殖激素的浓度:暴露与风险评估。
Toxicol Rep. 2022 Oct 7;9:1894-1900. doi: 10.1016/j.toxrep.2022.10.001. eCollection 2022.
5
Systemic Inflammation, Oxidative Stress and Cardiovascular Health in Children and Adolescents: A Systematic Review.儿童和青少年的全身炎症、氧化应激与心血管健康:一项系统综述
Antioxidants (Basel). 2022 Apr 30;11(5):894. doi: 10.3390/antiox11050894.
6
Association of urine phthalate metabolites, bisphenol A levels and serum electrolytes with 24-h blood pressure profile in adolescents.青少年尿液邻苯二甲酸代谢物、双酚 A 水平和血清电解质与 24 小时血压谱的关系。
BMC Nephrol. 2022 Apr 12;23(1):141. doi: 10.1186/s12882-022-02774-y.
7
Phthalate Exposure and Biomarkers of Oxidation of Nucleic Acids: Results on Couples Attending a Fertility Center.邻苯二甲酸酯暴露与核酸氧化生物标志物:对前往生育中心的夫妇的研究结果
Toxics. 2022 Jan 29;10(2):61. doi: 10.3390/toxics10020061.
8
Measurement of Urinary Triclocarban and 2,4-Dichlorophenol Concentration and Their Relationship with Obesity and Predictors of Cardiovascular Diseases among Children and Adolescents in Kerman, Iran.伊朗克尔曼地区儿童和青少年尿液三氯卡班和 2,4-二氯苯酚浓度的测量及其与肥胖的关系和心血管疾病预测因子
J Environ Public Health. 2022 Jan 20;2022:2939022. doi: 10.1155/2022/2939022. eCollection 2022.
9
Association of urinary triclosan, methyl triclosan, triclocarban, and 2,4-dichlorophenol levels with anthropometric and demographic parameters in children and adolescents in 2020 (case study: Kerman, Iran).2020 年儿童和青少年尿液中三氯生、甲基三氯生、三氯卡班和 2,4-二氯苯酚水平与人体测量和人口统计学参数的关系(案例研究:伊朗克尔曼)。
Environ Sci Pollut Res Int. 2022 Apr;29(20):30754-30763. doi: 10.1007/s11356-021-18466-3. Epub 2022 Jan 7.
Geohealth. 2018 Oct 20;2(10):313-326. doi: 10.1029/2018GH000146. eCollection 2018 Oct.
4
Protective effect of alpha-lipoic acid on di-(2-ethylhexyl) phthalate-induced testicular toxicity in mice.α-硫辛酸对邻苯二甲酸二(2-乙基己基)酯诱导的雄性小鼠睾丸毒性的保护作用。
Environ Sci Pollut Res Int. 2020 Apr;27(12):13670-13678. doi: 10.1007/s11356-020-07817-1. Epub 2020 Feb 7.
5
Toxic Effects of the Mixture of Phthalates and Bisphenol A-Subacute Oral Toxicity Study in Wistar Rats.邻苯二甲酸酯和双酚 A 混合物的毒性作用——Wistar 大鼠亚急性口服毒性研究。
Int J Environ Res Public Health. 2020 Jan 23;17(3):746. doi: 10.3390/ijerph17030746.
6
Paraben Content in Adjacent Normal-malignant Breast Tissues from Women with Breast Cancer.邻近平常-恶性乳腺组织中来自乳腺癌女性的防腐剂含量。
Biomed Environ Sci. 2019 Dec;32(12):893-904. doi: 10.3967/bes2019.112.
7
Association of exposure to phthalates with cardiometabolic risk factors in children and adolescents: a systematic review and meta-analysis.邻苯二甲酸酯暴露与儿童和青少年心血管代谢危险因素的关联:系统评价和荟萃分析。
Environ Sci Pollut Res Int. 2019 Dec;26(35):35670-35686. doi: 10.1007/s11356-019-06589-7. Epub 2019 Nov 15.
8
Phthalate exposure and metabolic effects: a systematic review of the human epidemiological evidence.邻苯二甲酸酯暴露与代谢效应:人体流行病学证据的系统评价。
Environ Int. 2019 Nov;132:104768. doi: 10.1016/j.envint.2019.04.040. Epub 2019 Jun 10.
9
Phthalate induced oxidative stress and DNA damage in earthworms (Eisenia fetida).邻苯二甲酸酯对蚯蚓(赤子爱胜蚓)的氧化应激和 DNA 损伤。
Environ Int. 2019 Aug;129:10-17. doi: 10.1016/j.envint.2019.04.074. Epub 2019 May 15.
10
Phthalate exposure increases subclinical atherosclerosis in young population.邻苯二甲酸酯暴露会增加年轻人群的亚临床动脉粥样硬化。
Environ Pollut. 2019 Jul;250:586-593. doi: 10.1016/j.envpol.2019.04.006. Epub 2019 Apr 8.