• 文献检索
  • 文档翻译
  • 深度研究
  • 学术资讯
  • Suppr Zotero 插件Zotero 插件
  • 邀请有礼
  • 套餐&价格
  • 历史记录
应用&插件
Suppr Zotero 插件Zotero 插件浏览器插件Mac 客户端Windows 客户端微信小程序
定价
高级版会员购买积分包购买API积分包
服务
文献检索文档翻译深度研究API 文档MCP 服务
关于我们
关于 Suppr公司介绍联系我们用户协议隐私条款
关注我们

Suppr 超能文献

核心技术专利:CN118964589B侵权必究
粤ICP备2023148730 号-1Suppr @ 2026

文献检索

告别复杂PubMed语法,用中文像聊天一样搜索,搜遍4000万医学文献。AI智能推荐,让科研检索更轻松。

立即免费搜索

文件翻译

保留排版,准确专业,支持PDF/Word/PPT等文件格式,支持 12+语言互译。

免费翻译文档

深度研究

AI帮你快速写综述,25分钟生成高质量综述,智能提取关键信息,辅助科研写作。

立即免费体验

即时检测 aMMP-8 试验在区分牙周健康和疾病方面的诊断准确性。

Diagnostic accuracy of a point-of-care aMMP-8 test in the discrimination of periodontal health and disease.

机构信息

Division of Periodontology and Implant Dentistry, Faculty of Dentistry, The University of Hong Kong, Hong Kong SAR, China.

Department of Oral Implantology, Shanghai Ninth People Hospital, Shanghai Jiao Tong University School of Medicine, College of Stomatology; National Center of Stomatology; National Clinical Research Center of Oral Diseases; Shanghai key Laboratory of Stomatology, Shanghai, China.

出版信息

J Clin Periodontol. 2021 Aug;48(8):1051-1065. doi: 10.1111/jcpe.13485. Epub 2021 Jun 10.

DOI:10.1111/jcpe.13485
PMID:33998040
原文链接:https://pmc.ncbi.nlm.nih.gov/articles/PMC8362205/
Abstract

AIM

To assess the diagnostic utility of an oral rinse active matrix metalloproteinase-8 (aMMP-8) point-of-care test (POCT) for differentiating periodontal health, gingivitis, as well as different stages and grades of periodontitis.

MATERIALS & METHODS: The aMMP-8 index test was undertaken in 408 consecutive adults, followed by a full-mouth periodontal examination. The reference standard was the 2017 World Workshop classification of periodontal diseases. Sensitivity, specificity, and the area under the receiver operating characteristic curve (AUROC) were assessed.

RESULTS

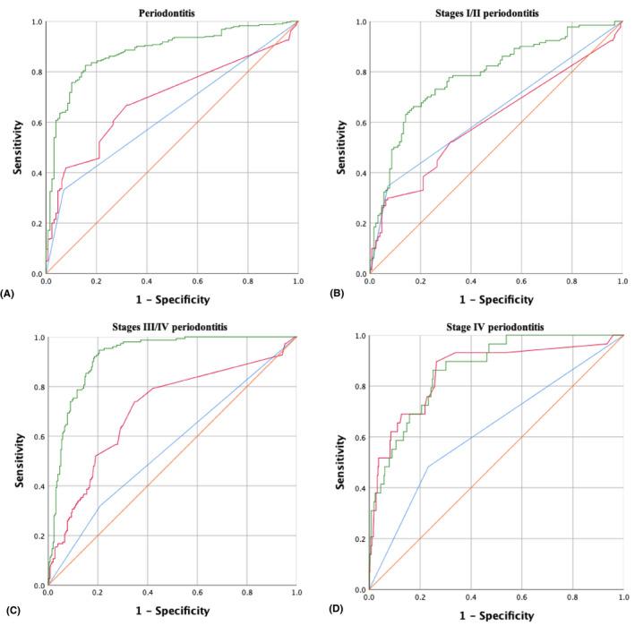
68.6% of the participants were diagnosed with periodontitis, including Stages I (15.9%), II (15.9%), III (29.7%) and IV (7.1%). A positive aMMP-8 POCT was associated with periodontitis after adjusting for age, gender, tobacco smoking and systemic diseases, while it was unable to differentiate among the stages/grades of periodontitis and between gingivitis/periodontal health. This test showed a sensitivity of 33.2% and a specificity of 93.0% for detecting periodontitis (threshold level >10 ng/ml). The levels of aMMP-8 adjusted by the number of teeth present (aMMP-8/NTP) performed better for periodontitis (sensitivity: 67.1%; specificity: 68.8%). Notably, aMMP-8/NTP were strongly predictive for Stage IV periodontitis (threshold level =0.4312 ng/ml) (sensitivity: 89.7%; specificity: 73.6%; and AUROC: 0.856). The test performance greatly improved in combination with age and smoking, with a sensitivity of 82.5%, a specificity of 84.4%, and an AUROC of 0.883.

CONCLUSION

This aMMP-8 POCT is able to detect periodontitis with better specificity than sensitivity across the spectrum of its severity. This test may be useful for periodontal screening in conjunction with subject characteristics and/or other sensitive screening tools. Further validation studies are needed.

摘要

目的

评估一种口腔冲洗活性基质金属蛋白酶-8(aMMP-8)即时检测(POCT)用于区分牙周健康、牙龈炎以及不同阶段和严重程度牙周炎的诊断效用。

材料与方法

对 408 名连续就诊的成年人进行了 aMMP-8 指数检测,随后进行了全口牙周检查。参考标准为 2017 年世界牙周病工作组分类。评估了敏感性、特异性和受试者工作特征曲线下面积(AUROC)。

结果

68.6%的参与者被诊断为牙周炎,包括 I 期(15.9%)、II 期(15.9%)、III 期(29.7%)和 IV 期(7.1%)。在调整年龄、性别、吸烟和全身疾病后,aMMP-8 POCT 阳性与牙周炎相关,但无法区分牙周炎的阶段/严重程度以及牙龈炎/牙周健康。该检测对牙周炎的敏感性为 33.2%,特异性为 93.0%(阈值水平>10ng/ml)。根据牙齿数量调整的 aMMP-8(aMMP-8/NTP)对牙周炎的检测效果更好(敏感性:67.1%;特异性:68.8%)。值得注意的是,aMMP-8/NTP 对 IV 期牙周炎具有很强的预测能力(阈值水平=0.4312ng/ml)(敏感性:89.7%;特异性:73.6%;AUROC:0.856)。该检测与年龄和吸烟相结合时,检测性能大大提高,敏感性为 82.5%,特异性为 84.4%,AUROC 为 0.883。

结论

该 aMMP-8 POCT 能够检测牙周炎,其严重程度特异性优于敏感性。该检测可能与患者特征和/或其他敏感筛查工具结合用于牙周病筛查。需要进一步的验证研究。

https://cdn.ncbi.nlm.nih.gov/pmc/blobs/8386/8362205/e754bd853e9f/JCPE-48-1051-g001.jpg
https://cdn.ncbi.nlm.nih.gov/pmc/blobs/8386/8362205/5233778ba4c8/JCPE-48-1051-g002.jpg
https://cdn.ncbi.nlm.nih.gov/pmc/blobs/8386/8362205/07c521faf10e/JCPE-48-1051-g004.jpg
https://cdn.ncbi.nlm.nih.gov/pmc/blobs/8386/8362205/5a1b704ef89b/JCPE-48-1051-g003.jpg
https://cdn.ncbi.nlm.nih.gov/pmc/blobs/8386/8362205/e754bd853e9f/JCPE-48-1051-g001.jpg
https://cdn.ncbi.nlm.nih.gov/pmc/blobs/8386/8362205/5233778ba4c8/JCPE-48-1051-g002.jpg
https://cdn.ncbi.nlm.nih.gov/pmc/blobs/8386/8362205/07c521faf10e/JCPE-48-1051-g004.jpg
https://cdn.ncbi.nlm.nih.gov/pmc/blobs/8386/8362205/5a1b704ef89b/JCPE-48-1051-g003.jpg
https://cdn.ncbi.nlm.nih.gov/pmc/blobs/8386/8362205/e754bd853e9f/JCPE-48-1051-g001.jpg

相似文献

1
Diagnostic accuracy of a point-of-care aMMP-8 test in the discrimination of periodontal health and disease.即时检测 aMMP-8 试验在区分牙周健康和疾病方面的诊断准确性。
J Clin Periodontol. 2021 Aug;48(8):1051-1065. doi: 10.1111/jcpe.13485. Epub 2021 Jun 10.
2
Diagnostic accuracy of active matrix metalloproteinase-8 point-of-care test for the discrimination of periodontal health status: Comparison of saliva and oral rinse samples.主动基质金属蛋白酶-8 即时检测对牙周健康状态鉴别诊断的准确性:唾液和口腔冲洗样本比较。
J Periodontal Res. 2022 Aug;57(4):768-779. doi: 10.1111/jre.12999. Epub 2022 May 16.
3
Validation of a noninvasive aMMP-8 point-of-care diagnostic methodology in COVID-19 patients with periodontal disease.验证一种针对 COVID-19 伴牙周病患者的非侵入性 aMMP-8 即时诊断方法。
Clin Exp Dent Res. 2022 Aug;8(4):988-1001. doi: 10.1002/cre2.589. Epub 2022 Jul 11.
4
Diagnostic accuracy of salivary active matrix metalloproteinase (aMMP)-8 point-of-care test for detecting periodontitis in adults: A systematic review and meta-analysis.唾液活性基质金属蛋白酶(aMMP)-8 即时检测诊断成人牙周炎的准确性:系统评价和荟萃分析。
J Clin Periodontol. 2024 Aug;51(8):1093-1108. doi: 10.1111/jcpe.14000. Epub 2024 May 19.
5
Evaluation of active matrix metalloproteinase-8 (aMMP-8) chair-side test as a diagnostic biomarker in the staging of periodontal diseases.评价主动基质金属蛋白酶-8(aMMP-8)椅旁检测作为牙周病分期的诊断生物标志物。
Arch Oral Biol. 2021 Apr;124:104955. doi: 10.1016/j.archoralbio.2020.104955. Epub 2021 Jan 20.
6
Evaluation of a novel point-of-care test for active matrix metalloproteinase-8: agreement between qualitative and quantitative measurements and relation to periodontal inflammation.一种新型活性基质金属蛋白酶-8即时检测方法的评估:定性和定量测量之间的一致性及其与牙周炎症的关系
J Periodontal Res. 2017 Apr;52(2):277-284. doi: 10.1111/jre.12392. Epub 2016 May 23.
7
Implementing of aMMP-8 point-of-care test with a modified new disease classification in Finnish adolescent cohorts.芬兰青少年队列中采用改良的新疾病分类进行 MMP-8 即时检测的实施。
Clin Exp Dent Res. 2022 Oct;8(5):1142-1148. doi: 10.1002/cre2.603. Epub 2022 Jun 8.
8
Development of a machine learning multiclass screening tool for periodontal health status based on non-clinical parameters and salivary biomarkers.基于非临床参数和唾液生物标志物开发用于牙周健康状况的机器学习多类别筛查工具。
J Clin Periodontol. 2024 Dec;51(12):1547-1560. doi: 10.1111/jcpe.13856. Epub 2023 Sep 11.
9
Local and systemic levels of aMMP-8 in gingivitis and stage 3 grade C periodontitis.牙龈炎和 3 级 C 期牙周炎中 aMMP-8 的局部和全身水平。
J Periodontal Res. 2020 Dec;55(6):887-894. doi: 10.1111/jre.12781. Epub 2020 Aug 13.
10
Accuracy of aMMP-8 point-of-care test in indicating periodontal treatment outcomes in stage III/IV periodontitis: A 24-week follow-up study.一种即时检测 MMP-8 对牙周炎治疗效果的准确性:一项为期 24 周的随访研究。
J Periodontal Res. 2023 Apr;58(2):325-335. doi: 10.1111/jre.13093. Epub 2023 Jan 8.

引用本文的文献

1
The potential of serum and salivary interleukin-1β and matrix metalloproteinase-8 as determinants of periodontitis grading.血清和唾液白细胞介素-1β及基质金属蛋白酶-8作为牙周炎分级决定因素的潜力。
BMC Oral Health. 2025 Jul 10;25(1):1139. doi: 10.1186/s12903-025-06529-7.
2
Determination of the Stage of Periodontitis with 20 ng/mL Cut-Off aMMP-8 Mouth Rinse Test and Polynomial Functions in a Mobile Application.在移动应用中使用20 ng/mL临界值的aMMP-8漱口水测试和多项式函数确定牙周炎阶段
Diagnostics (Basel). 2025 Jun 2;15(11):1411. doi: 10.3390/diagnostics15111411.
3
Clinical Features Associated With Periodontal Case Misclassification by an Active Matrix Metalloproteinase-8 Point-of-Care Oral Rinse Test.

本文引用的文献

1
Diagnostic accuracy of self-reported measures of periodontal disease: A clinical validation study using the 2017 case definitions.自我报告牙周病测量指标的诊断准确性:使用 2017 年病例定义的临床验证研究。
J Clin Periodontol. 2021 Aug;48(8):1037-1050. doi: 10.1111/jcpe.13484. Epub 2021 Jun 1.
2
Diagnostic Accuracy of Oral Fluids Biomarker Profile to Determine the Current and Future Status of Periodontal and Peri-Implant Diseases.口腔液生物标志物谱用于确定牙周病和种植体周围疾病当前及未来状况的诊断准确性
Diagnostics (Basel). 2020 Oct 18;10(10):838. doi: 10.3390/diagnostics10100838.
3
Diagnostic ability of salivary matrix metalloproteinase-9 lateral flow test point-of-care test for periodontitis.
活性基质金属蛋白酶-8即时口腔冲洗测试导致牙周病例误分类的相关临床特征
J Clin Periodontol. 2025 Sep;52(9):1276-1287. doi: 10.1111/jcpe.14189. Epub 2025 Jun 3.
4
Use of serum albumin levels and salivary biomarkers in assessing periodontal disease: a community hospital perspective.血清白蛋白水平和唾液生物标志物在评估牙周疾病中的应用:社区医院视角
BMC Oral Health. 2025 May 2;25(1):679. doi: 10.1186/s12903-025-06042-x.
5
Effects of Non-Surgical Periodontal Therapy on Glycemic Control in Prediabetes and Diabetes Patients with Stage II-IV Periodontitis as Monitored by Active-Matrix Metalloproteinase-8 Levels.通过活性基质金属蛋白酶-8水平监测非手术牙周治疗对II-IV期牙周炎的糖尿病前期和糖尿病患者血糖控制的影响
Biomedicines. 2025 Apr 16;13(4):969. doi: 10.3390/biomedicines13040969.
6
Oral Medicine and Oral Clinical Chemistry Game Changers for Future Plaque Control and Maintenance: PerioSafe aMMP-8 POCT, Lumoral 2× PDT- and Lingora Fermented Lingonberry Oral Rinse-Treatments.口腔医学与口腔临床化学:未来菌斑控制与维护的变革者——PerioSafe aMMP-8即时检验、Lumoral 2×光动力疗法以及Lingora发酵越橘口腔冲洗液治疗
Dent J (Basel). 2025 Mar 13;13(3):127. doi: 10.3390/dj13030127.
7
Assessment of salivary matrix metalloproteinase (MMP8) and activated salivary matrix metalloproteinase (aMMP8) in periodontitis patients: a systematic review and meta-analysis.牙周炎患者唾液基质金属蛋白酶(MMP8)和活化唾液基质金属蛋白酶(aMMP8)的评估:一项系统评价和荟萃分析。
Front Oral Health. 2025 Feb 19;6:1444399. doi: 10.3389/froh.2025.1444399. eCollection 2025.
8
Periodontitis Home Screening with Mouth Rinse Cut-Off 20 Ng/mL aMMP-8 Test and Mobile Application.使用口腔冲洗液aMMP-8检测(临界值为20纳克/毫升)和移动应用程序进行牙周炎家庭筛查。
Diagnostics (Basel). 2025 Jan 27;15(3):296. doi: 10.3390/diagnostics15030296.
9
Diagnostic Accuracy of a Point-Of-Care aMMP-8 Test for Discriminating Periodontal Health Status in Adults: Validation Trials and Updated Meta-Analysis.即时检测aMMP-8检测在鉴别成人牙周健康状况中的诊断准确性:验证试验与更新的荟萃分析
J Clin Periodontol. 2025 Apr;52(4):510-529. doi: 10.1111/jcpe.14119. Epub 2025 Jan 13.
10
Periodontitis, Metabolic Syndrome and Diabetes: Identifying Patients at Risk for Three Common Diseases Using the aMMP-8 Rapid Test at the Dentist's Office.牙周炎、代谢综合征与糖尿病:在牙医诊所使用aMMP - 8快速检测识别三种常见疾病的高危患者。
Diagnostics (Basel). 2024 Dec 21;14(24):2878. doi: 10.3390/diagnostics14242878.
唾液基质金属蛋白酶-9 侧向流动点检测试验对牙周炎的诊断能力。
J Clin Periodontol. 2020 Nov;47(11):1354-1361. doi: 10.1111/jcpe.13360.
4
Guest Editorial: Clarifications on the use of the new classification of periodontitis.客座社论:关于新牙周炎分类使用的说明。
J Clin Periodontol. 2020 Jun;47(6):658-659. doi: 10.1111/jcpe.13286. Epub 2020 Apr 29.
5
Active MMP-8 (aMMP-8) as a Grading and Staging Biomarker in the Periodontitis Classification.活性基质金属蛋白酶-8(aMMP-8)作为牙周炎分类中的分级和分期生物标志物。
Diagnostics (Basel). 2020 Jan 22;10(2):61. doi: 10.3390/diagnostics10020061.
6
Diagnostic sensitivity and specificity of host-derived salivary biomarkers in periodontal disease amongst adults: Systematic review.成人牙周病中宿主来源唾液生物标志物的诊断灵敏度和特异性:系统评价。
J Clin Periodontol. 2020 Mar;47(3):289-308. doi: 10.1111/jcpe.13218. Epub 2019 Dec 26.
7
Accuracy of single molecular biomarkers in saliva for the diagnosis of periodontitis: A systematic review and meta-analysis.唾液中单分子生物标志物在牙周炎诊断中的准确性:系统评价和荟萃分析。
J Clin Periodontol. 2020 Jan;47(1):2-18. doi: 10.1111/jcpe.13202. Epub 2019 Nov 20.
8
Associations of chairside salivary aMMP-8 findings with periodontal parameters, potentially periodontal pathogenic bacteria and selected blood parameters in systemically healthy adults.在系统健康的成年人中,椅旁唾液 aMMP-8 检测结果与牙周参数、潜在牙周致病菌和某些血液参数的相关性。
Diagn Microbiol Infect Dis. 2019 Oct;95(2):179-184. doi: 10.1016/j.diagmicrobio.2019.05.006. Epub 2019 May 10.
9
Active Matrix Metalloproteinase-8 Point-of-Care (PoC)/Chairside Mouthrinse Test vs. Bleeding on Probing in Diagnosing Subclinical Periodontitis in Adolescents.活性基质金属蛋白酶-8即时检验(PoC)/椅旁漱口水检测与探诊出血在诊断青少年亚临床牙周炎中的比较
Diagnostics (Basel). 2019 Mar 23;9(1):34. doi: 10.3390/diagnostics9010034.
10
Implementation of the new classification of periodontal diseases: Decision-making algorithms for clinical practice and education.牙周病新分类的实施:临床实践和教育的决策算法。
J Clin Periodontol. 2019 Apr;46(4):398-405. doi: 10.1111/jcpe.13104.