Suppr超能文献

将麻醉机转用于为 2019 冠状病毒病(COVID-19)危重症患者通气。

The repurposed use of anesthesia machines to ventilate critically ill patients with coronavirus disease 2019 (COVID-19).

机构信息

Department of Anesthesia and Critical Care, ASST Grande Ospedale Metropolitano Niguarda, P.zza Ospedale Maggiore, 3-, 20162, Milan, Italy.

Department of Anesthesia, Critical Care and Pain Medicine, Massachusetts General Hospital, Harvard Medical School, Boston, MA, USA.

出版信息

BMC Anesthesiol. 2021 May 20;21(1):155. doi: 10.1186/s12871-021-01376-9.

Abstract

BACKGROUND

The surge of critically ill patients due to the coronavirus disease-2019 (COVID-19) overwhelmed critical care capacity in areas of northern Italy. Anesthesia machines have been used as alternatives to traditional ICU mechanical ventilators. However, the outcomes for patients with COVID-19 respiratory failure cared for with Anesthesia Machines is currently unknow. We hypothesized that COVID-19 patients receiving care with Anesthesia Machines would have worse outcomes compared to standard practice.

METHODS

We designed a retrospective study of patients admitted with a confirmed COVID-19 diagnosis at a large tertiary urban hospital in northern Italy. Two care units were included: a 27-bed standard ICU and a 15-bed temporary unit emergently opened in an operating room setting. Intubated patients assigned to Anesthesia Machines (AM group) were compared to a control cohort treated with standard mechanical ventilators (ICU-VENT group). Outcomes were assessed at 60-day follow-up. A multivariable Cox regression analysis of risk factors between survivors and non-survivors was conducted to determine the adjusted risk of death for patients assigned to AM group.

RESULTS

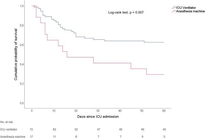
Complete daily data from 89 mechanically ventilated patients consecutively admitted to the two units were analyzed. Seventeen patients were included in the AM group, whereas 72 were in the ICU-VENT group. Disease severity and intensity of treatment were comparable between the two groups. The 60-day mortality was significantly higher in the AM group compared to the ICU-vent group (12/17 vs. 27/72, 70.6% vs. 37.5%, respectively, p = 0.016). Allocation to AM group was associated with a significantly increased risk of death after adjusting for covariates (HR 4.05, 95% CI: 1.75-9.33, p = 0.001). Several incidents and complications were reported with Anesthesia Machine care, raising safety concerns.

CONCLUSIONS

Our results support the hypothesis that care associated with the use of Anesthesia Machines is inadequate to provide long-term critical care to patients with COVID-19. Added safety risks must be considered if no other option is available to treat severely ill patients during the ongoing pandemic.

CLINICAL TRIAL NUMBER

Not applicable.

摘要

背景

由于 2019 年冠状病毒病(COVID-19),意大利北部地区的重症患者数量激增,超过了重症监护能力。麻醉机能被用作传统 ICU 机械呼吸机的替代品。然而,目前对于使用麻醉机治疗的 COVID-19 呼吸衰竭患者的结果尚不清楚。我们假设使用麻醉机治疗的 COVID-19 患者的预后比标准治疗差。

方法

我们设计了一项回顾性研究,纳入了在意大利北部一家大型三级城市医院确诊 COVID-19 的患者。包括两个护理单元:一个 27 张床位的标准 ICU 和一个在手术室紧急开设的 15 张床位的临时单元。接受气管插管的患者被分配到麻醉机(AM 组),与接受标准机械通气的对照组(ICU-VENT 组)进行比较。在 60 天随访时评估结果。对幸存者和非幸存者之间的危险因素进行多变量 Cox 回归分析,以确定分配到 AM 组的患者死亡的调整风险。

结果

对连续收治的两个单元的 89 例机械通气患者的完整日数据进行了分析。AM 组纳入 17 例患者,而 ICU-VENT 组纳入 72 例患者。两组患者的疾病严重程度和治疗强度相当。AM 组的 60 天死亡率明显高于 ICU-VENT 组(12/17 比 27/72,70.6%比 37.5%,分别为 P=0.016)。在校正了协变量后,AM 组的分配与死亡风险显著增加相关(HR 4.05,95%CI:1.75-9.33,P=0.001)。在使用麻醉机进行护理时,报告了几起事件和并发症,引起了安全方面的担忧。

结论

我们的结果支持这样的假设,即使用麻醉机进行治疗不足以为 COVID-19 患者提供长期重症监护。如果在当前大流行期间没有其他选择来治疗重症患者,则必须考虑增加的安全风险。

临床试验编号

不适用。

https://cdn.ncbi.nlm.nih.gov/pmc/blobs/714b/8136120/2e9bdd1e6f85/12871_2021_1376_Fig1_HTML.jpg

文献AI研究员

20分钟写一篇综述,助力文献阅读效率提升50倍。

立即体验

用中文搜PubMed

大模型驱动的PubMed中文搜索引擎

马上搜索

文档翻译

学术文献翻译模型,支持多种主流文档格式。

立即体验