Suppr超能文献

两性间和世代间蝴蝶扩散的差异。

Inter-sexual and inter-generation differences in dispersal of a bivoltine butterfly.

机构信息

Institute of Environmental Sciences, Jagiellonian University, Gronostajowa 7, 30-387, Kraków, Poland.

出版信息

Sci Rep. 2021 May 26;11(1):10950. doi: 10.1038/s41598-021-90572-1.

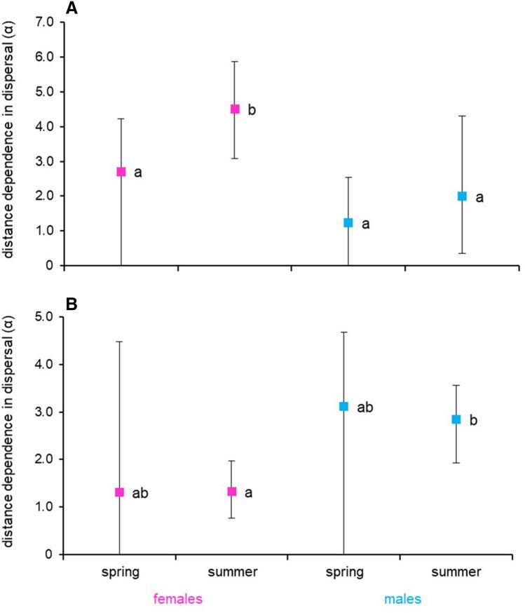
Abstract

In organisms with discrete generations such as most insects, life-history traits including dispersal abilities often vary between generations. In particular, density-dependent differences in dispersal of bi- and multivoltine species may be expected because subsequent generations are usually characterized by a drastic increase in individual abundance. We investigated the inter-sexual and inter-generation differences in dispersal of a bivoltine butterfly, Lycaena helle, testing the following hypotheses: (1) male emigration is higher in spring generation, as males are prone to leave their natal habitat patches when the density of mating partners is low; (2) female emigration is higher in summer generation, when it helps to reduce intraspecific competition between offspring. The outcome of our analyses of dispersal parameters showed that females of the summer generation emigrated from their natal patches considerably more often than those of the spring generation, whereas an opposite trend was detected in males. These findings offer a novel perspective for our understanding of the advantages of voltinism for metapopulation functioning. The spring generation dispersal mainly improves the random mating opportunities favoured by the increase in male emigration. In turn, the dispersal of females of the summer generation appears the key to long-term metapopulation persistence.

摘要

在具有离散世代的生物中,如大多数昆虫,生活史特征包括扩散能力通常在世代之间发生变化。特别是,由于随后的世代通常具有个体丰度的急剧增加,因此可以预期双态和多态物种的密度依赖性扩散差异。我们研究了双态蝴蝶 Lycaena helle 的两性间和世代间的扩散差异,检验了以下假设:(1)春季世代的雄性迁徙率更高,因为当交配伙伴的密度较低时,雄性更容易离开其出生地斑块;(2)夏季世代的雌性迁徙率更高,因为这有助于减少后代之间的种内竞争。我们对扩散参数的分析结果表明,夏季世代的雌性从其出生地斑块中迁徙的频率远远高于春季世代的雌性,而雄性则出现了相反的趋势。这些发现为我们理解化性对集合种群功能的优势提供了新的视角。春季世代的扩散主要通过增加雄性迁徙来改善随机交配机会。反过来,夏季世代的雌性的扩散似乎是长期集合种群持续存在的关键。

https://cdn.ncbi.nlm.nih.gov/pmc/blobs/beb9/8155216/5f0621dd61be/41598_2021_90572_Fig1_HTML.jpg

相似文献

1
Inter-sexual and inter-generation differences in dispersal of a bivoltine butterfly.
Sci Rep. 2021 May 26;11(1):10950. doi: 10.1038/s41598-021-90572-1.
2
Intersexual differences in density-dependent dispersal and their evolutionary drivers.
J Evol Biol. 2020 Oct;33(10):1495-1506. doi: 10.1111/jeb.13688. Epub 2020 Sep 9.
3
Population sex ratio and dispersal in experimental, two-patch metapopulations of butterflies.
J Anim Ecol. 2013 Sep;82(5):946-55. doi: 10.1111/1365-2656.12082. Epub 2013 Apr 18.
4
Evidence for positive density-dependent emigration in butterfly metapopulations.
Oecologia. 2011 Nov;167(3):657-65. doi: 10.1007/s00442-011-2025-x. Epub 2011 May 31.
5
Divergent timing of egg-laying may maintain life history polymorphism in potentially multivoltine insects in seasonal environments.
J Evol Biol. 2008 Nov;21(6):1711-23. doi: 10.1111/j.1420-9101.2008.01597.x. Epub 2008 Aug 20.
6
Sex-biased topography effects on butterfly dispersal.
Mov Ecol. 2020 Dec 14;8(1):50. doi: 10.1186/s40462-020-00234-6.
7
Non-random dispersal in the butterfly Maniola jurtina: implications for metapopulation models.
Proc Biol Sci. 2000 Aug 7;267(1452):1505-10. doi: 10.1098/rspb.2000.1171.
8
10
Weather explains high annual variation in butterfly dispersal.
Proc Biol Sci. 2016 Jul 27;283(1835). doi: 10.1098/rspb.2016.0413.

本文引用的文献

1
Intersexual differences in density-dependent dispersal and their evolutionary drivers.
J Evol Biol. 2020 Oct;33(10):1495-1506. doi: 10.1111/jeb.13688. Epub 2020 Sep 9.
2
Spatial and habitat variation in aphid, butterfly, moth and bird phenologies over the last half century.
Glob Chang Biol. 2019 Jun;25(6):1982-1994. doi: 10.1111/gcb.14592. Epub 2019 Mar 22.
3
Sex-biased dispersal: a review of the theory.
Biol Rev Camb Philos Soc. 2019 Apr;94(2):721-736. doi: 10.1111/brv.12475. Epub 2018 Oct 24.
6
Evidence for positive density-dependent emigration in butterfly metapopulations.
Oecologia. 2011 Nov;167(3):657-65. doi: 10.1007/s00442-011-2025-x. Epub 2011 May 31.
8
Climatic warming increases voltinism in European butterflies and moths.
Proc Biol Sci. 2010 Apr 22;277(1685):1281-7. doi: 10.1098/rspb.2009.1910. Epub 2009 Dec 23.
10
Dispersal depression with habitat fragmentation in the bog fritillary butterfly.
Ecology. 2006 Apr;87(4):1057-65. doi: 10.1890/0012-9658(2006)87[1057:ddwhfi]2.0.co;2.

文献AI研究员

20分钟写一篇综述,助力文献阅读效率提升50倍。

立即体验

用中文搜PubMed

大模型驱动的PubMed中文搜索引擎

马上搜索

文档翻译

学术文献翻译模型,支持多种主流文档格式。

立即体验