• 文献检索
  • 文档翻译
  • 深度研究
  • 学术资讯
  • Suppr Zotero 插件Zotero 插件
  • 邀请有礼
  • 套餐&价格
  • 历史记录
应用&插件
Suppr Zotero 插件Zotero 插件浏览器插件Mac 客户端Windows 客户端微信小程序
定价
高级版会员购买积分包购买API积分包
服务
文献检索文档翻译深度研究API 文档MCP 服务
关于我们
关于 Suppr公司介绍联系我们用户协议隐私条款
关注我们

Suppr 超能文献

核心技术专利:CN118964589B侵权必究
粤ICP备2023148730 号-1Suppr @ 2026

文献检索

告别复杂PubMed语法,用中文像聊天一样搜索,搜遍4000万医学文献。AI智能推荐,让科研检索更轻松。

立即免费搜索

文件翻译

保留排版,准确专业,支持PDF/Word/PPT等文件格式,支持 12+语言互译。

免费翻译文档

深度研究

AI帮你快速写综述,25分钟生成高质量综述,智能提取关键信息,辅助科研写作。

立即免费体验

美国有急性自杀意念或行为的成年重性抑郁障碍患者的护理路径聚类分析。

Cluster Analysis of Care Pathways in Adults with Major Depressive Disorder with Acute Suicidal Ideation or Behavior in the USA.

机构信息

Analysis Group, Inc., Montreal, QC, Canada.

Janssen Scientific Affairs, LLC, Titusville, NJ, USA.

出版信息

Pharmacoeconomics. 2021 Jun;39(6):707-720. doi: 10.1007/s40273-021-01042-5. Epub 2021 May 27.

DOI:10.1007/s40273-021-01042-5
PMID:34043148
原文链接:https://pmc.ncbi.nlm.nih.gov/articles/PMC8166679/
Abstract

BACKGROUND AND OBJECTIVE

Suicidal ideation or behavior are core symptoms of major depressive disorder (MDD). This study aimed to understand heterogeneity among patients with MDD and acute suicidal ideation or behavior.

METHODS

Adults with a diagnosis of MDD on the same day or 6 months before a claim for suicidal ideation or behavior (index date) were identified in the MarketScan Databases (10/01/2014-04/30/2019). A mathematical algorithm was used to cluster patients on characteristics of care measured pre-index. Patient care pathways were described by cluster during the 12-month pre-index period and up to 12 months post-index.

RESULTS

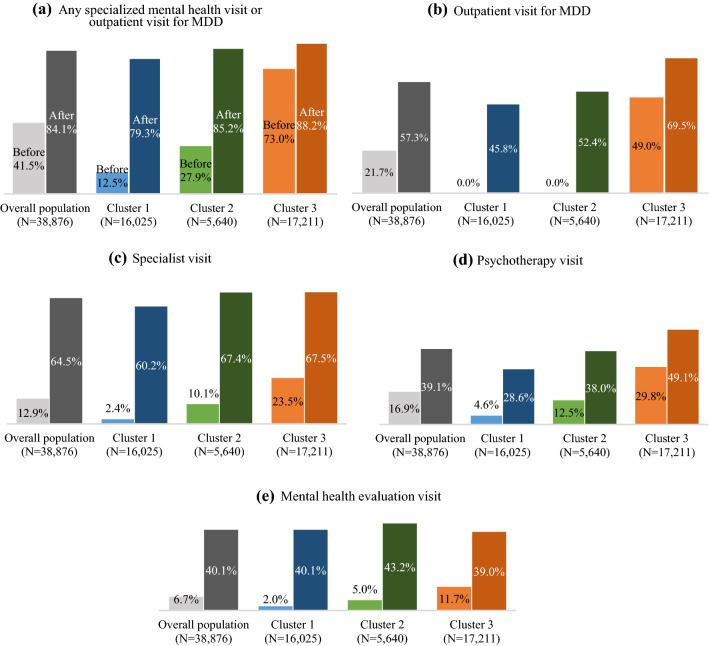
Among 38,876 patients with MDD and acute suicidal ideation or behavior, three clusters were identified. Across clusters, pre-index exposure to mental healthcare was revealed as a key differentiator: Cluster 1 (N = 16,025) was least exposed, Cluster 2 (N = 5640) moderately exposed, and Cluster 3 (N = 17,211) most exposed. Patients whose MDD diagnosis was first observed during their index event comprised 86.0% and 72.8% of Clusters 1 and 2, respectively; in Cluster 3, all patients had an MDD diagnosis pre-index. Within 30 days post-index, in Clusters 1, 2, and 3, respectively, 79.3%, 85.2%, and 88.2% used mental health services, including outpatient visits for MDD. Within 12 months post-index, 61.5%, 91.5%, and 84.6% had one or more antidepressant claim, respectively. Per-patient index event costs averaged $5614, $6645, and $5853, respectively.

CONCLUSIONS

Patients with MDD and acute suicidal ideation or behavior least exposed to the healthcare system pre-index similarly received the least care post-index. An opportunity exists to optimize treatment and follow-up with mental health services.

摘要

背景与目的

自杀意念或行为是重度抑郁症(MDD)的核心症状。本研究旨在了解有急性自杀意念或行为的 MDD 患者的异质性。

方法

在 MarketScan 数据库中(2014 年 10 月 1 日至 2019 年 4 月 30 日),根据自杀意念或行为的索赔日期(索引日期)当天或前 6 个月,确定 MDD 成年患者。使用数学算法对索引前测量的护理特征对患者进行聚类。在索引前 12 个月和索引后 12 个月内,描述患者的护理路径。

结果

在 38876 例有急性自杀意念或行为的 MDD 患者中,识别出 3 个聚类。在各聚类中,索引前精神保健的暴露情况是关键的区别因素:聚类 1(N=16025)的暴露程度最低,聚类 2(N=5640)的暴露程度中等,聚类 3(N=17211)的暴露程度最高。在聚类 1 和 2 中,MDD 诊断首次观察到的患者分别占 86.0%和 72.8%;在聚类 3 中,所有患者均在索引前患有 MDD 诊断。在索引后 30 天内,聚类 1、2 和 3 中分别有 79.3%、85.2%和 88.2%的患者使用了精神卫生服务,包括 MDD 的门诊就诊。在索引后 12 个月内,分别有 61.5%、91.5%和 84.6%的患者有一次或多次抗抑郁药的索赔。每位患者的索引事件平均费用分别为 5614 美元、6645 美元和 5853 美元。

结论

索引前对医疗系统暴露程度最低的 MDD 患者和有急性自杀意念或行为的患者,索引后接受的护理也最少。有机会优化精神卫生服务的治疗和随访。

https://cdn.ncbi.nlm.nih.gov/pmc/blobs/3a19/8166679/3da8ee55657e/40273_2021_1042_Fig6_HTML.jpg
https://cdn.ncbi.nlm.nih.gov/pmc/blobs/3a19/8166679/576b48606aec/40273_2021_1042_Fig1_HTML.jpg
https://cdn.ncbi.nlm.nih.gov/pmc/blobs/3a19/8166679/7736502ac228/40273_2021_1042_Fig2_HTML.jpg
https://cdn.ncbi.nlm.nih.gov/pmc/blobs/3a19/8166679/3db42d2cbfa1/40273_2021_1042_Fig3_HTML.jpg
https://cdn.ncbi.nlm.nih.gov/pmc/blobs/3a19/8166679/f303ef513ca8/40273_2021_1042_Fig4_HTML.jpg
https://cdn.ncbi.nlm.nih.gov/pmc/blobs/3a19/8166679/7a0568247cbd/40273_2021_1042_Fig5_HTML.jpg
https://cdn.ncbi.nlm.nih.gov/pmc/blobs/3a19/8166679/3da8ee55657e/40273_2021_1042_Fig6_HTML.jpg
https://cdn.ncbi.nlm.nih.gov/pmc/blobs/3a19/8166679/576b48606aec/40273_2021_1042_Fig1_HTML.jpg
https://cdn.ncbi.nlm.nih.gov/pmc/blobs/3a19/8166679/7736502ac228/40273_2021_1042_Fig2_HTML.jpg
https://cdn.ncbi.nlm.nih.gov/pmc/blobs/3a19/8166679/3db42d2cbfa1/40273_2021_1042_Fig3_HTML.jpg
https://cdn.ncbi.nlm.nih.gov/pmc/blobs/3a19/8166679/f303ef513ca8/40273_2021_1042_Fig4_HTML.jpg
https://cdn.ncbi.nlm.nih.gov/pmc/blobs/3a19/8166679/7a0568247cbd/40273_2021_1042_Fig5_HTML.jpg
https://cdn.ncbi.nlm.nih.gov/pmc/blobs/3a19/8166679/3da8ee55657e/40273_2021_1042_Fig6_HTML.jpg

相似文献

1
Cluster Analysis of Care Pathways in Adults with Major Depressive Disorder with Acute Suicidal Ideation or Behavior in the USA.美国有急性自杀意念或行为的成年重性抑郁障碍患者的护理路径聚类分析。
Pharmacoeconomics. 2021 Jun;39(6):707-720. doi: 10.1007/s40273-021-01042-5. Epub 2021 May 27.
2
Esketamine nasal spray for major depressive disorder with acute suicidal ideation or behavior: description of treatment access, utilization, and claims-based outcomes in the United States.艾氯胺酮鼻腔喷雾剂用于治疗伴有急性自杀意念或行为的重度抑郁症:美国治疗途径、使用情况及基于索赔的结果描述
J Med Econ. 2023 Jan-Dec;26(1):691-700. doi: 10.1080/13696998.2023.2208993.
3
Excess healthcare resource utilization and healthcare costs among privately and publicly insured patients with major depressive disorder and acute suicidal ideation or behavior in the United States.美国有重度抑郁障碍和急性自杀意念或行为的私人保险和公共保险患者中,过度利用医疗资源和医疗费用的情况。
J Affect Disord. 2022 Aug 15;311:303-310. doi: 10.1016/j.jad.2022.05.086. Epub 2022 May 18.
4
Clinical and economic burden of major depressive disorder with acute suicidal ideation or behavior in a US Veterans Health Affairs database.美国退伍军人事务部数据库中伴有急性自杀意念或行为的重度抑郁症的临床和经济负担。
Curr Med Res Opin. 2022 Sep;38(9):1603-1611. doi: 10.1080/03007995.2022.2081452. Epub 2022 Jun 30.
5
Unmet need in major depressive disorder and acute suicidal ideation or behavior: findings from a longitudinal electronic health record data analysis.重度抑郁症及急性自杀意念或行为中未满足的需求:一项纵向电子健康记录数据分析的结果
J Med Econ. 2023 Jan-Dec;26(1):1-10. doi: 10.1080/13696998.2022.2133321.
6
Characteristics of hospital encounters and associated economic burden of patients with major depressive disorder and acute suicidal ideation or behavior.有严重抑郁障碍和急性自杀意念或行为的患者的医院就诊特征及相关经济负担。
Hosp Pract (1995). 2021 Aug;49(3):176-183. doi: 10.1080/21548331.2021.1886496. Epub 2021 Mar 14.
7
Economic Burden of Commercially Insured Patients With Major Depressive Disorder and Acute Suicidal Ideation or Behavior in the United States.美国商业保险患者中患有重度抑郁症和急性自杀意念或行为的经济负担。
J Clin Psychiatry. 2022 Apr 4;83(3):21m14090. doi: 10.4088/JCP.21m14090.
8
Agitated "unipolar" depression re-conceptualized as a depressive mixed state: implications for the antidepressant-suicide controversy.激越性“单相”抑郁重新概念化为抑郁混合状态:对抗抑郁药与自杀争议的影响
J Affect Disord. 2005 Apr;85(3):245-58. doi: 10.1016/j.jad.2004.12.004.
9
Measures of suicidality in phase 3 clinical trials of levomilnacipran ER in adults with major depressive disorder.在成人重度抑郁症的 levomilnacipran ER 三期临床试验中评估自杀倾向的措施。
CNS Spectr. 2017 Dec;22(6):475-483. doi: 10.1017/S1092852916000663. Epub 2017 May 19.
10
Suicidal ideation and behavior in adults with major depressive disorder treated with vortioxetine: post hoc pooled analyses of randomized, placebo-controlled, short-term and open-label, long-term extension trials.伴有重性抑郁障碍的成年人在接受文拉法辛治疗中的自杀意念和行为:事后汇总分析随机、安慰剂对照、短期和开放性长期扩展试验。
CNS Spectr. 2020 Jun;25(3):352-362. doi: 10.1017/S109285291900097X. Epub 2019 Jun 14.

引用本文的文献

1
A framework for inferring and analyzing pharmacotherapy treatment patterns.用于推断和分析药物治疗模式的框架。
BMC Med Inform Decis Mak. 2024 Mar 8;24(1):68. doi: 10.1186/s12911-024-02469-4.
2
Exploring risk factors for re-hospitalization in a psychiatric inpatient setting: a retrospective naturalistic study.探讨精神科住院患者再住院的风险因素:一项回顾性自然主义研究。
BMC Psychiatry. 2022 Dec 22;22(1):821. doi: 10.1186/s12888-022-04472-3.
3
Profiles, Correlates and Outcomes Among Patients Experiencing an Onset of Mental Disorder Based on Outpatient Care Received Following Index Emergency Department Visits.

本文引用的文献

1
Multiple adverse outcomes following first discharge from inpatient psychiatric care: a national cohort study.首次出院后住院精神科护理的多种不良结局:一项全国队列研究。
Lancet Psychiatry. 2019 Jul;6(7):582-589. doi: 10.1016/S2215-0366(19)30180-4. Epub 2019 Jun 3.
2
Meta-analysis of suicide rates in the first week and the first month after psychiatric hospitalisation.精神科住院后第一周和第一个月自杀率的荟萃分析。
BMJ Open. 2019 Mar 23;9(3):e023883. doi: 10.1136/bmjopen-2018-023883.
3
Medicare Advantage And Commercial Prices For Mental Health Services.
基于急诊就诊后接受的门诊治疗,经历精神障碍发作的患者的特征、相关性和结局。
Can J Psychiatry. 2022 Oct;67(10):787-801. doi: 10.1177/07067437221087004. Epub 2022 Mar 15.
4
The Growing Burden of Major Depressive Disorders (MDD): Implications for Researchers and Policy Makers.重度抑郁症(MDD)日益加重的负担:对研究人员和政策制定者的启示。
Pharmacoeconomics. 2021 Jun;39(6):619-625. doi: 10.1007/s40273-021-01040-7. Epub 2021 May 20.
医疗保险优势计划和精神健康服务的商业价格。
Health Aff (Millwood). 2019 Feb;38(2):262-267. doi: 10.1377/hlthaff.2018.05226.
4
Global, regional, and national incidence, prevalence, and years lived with disability for 354 diseases and injuries for 195 countries and territories, 1990-2017: a systematic analysis for the Global Burden of Disease Study 2017.全球、区域和国家层面 195 个国家和地区 1990 年至 2017 年 354 种疾病和伤害导致的发病率、患病率和伤残损失寿命年:基于 2017 年全球疾病负担研究的系统分析。
Lancet. 2018 Nov 10;392(10159):1789-1858. doi: 10.1016/S0140-6736(18)32279-7. Epub 2018 Nov 8.
5
Predicting Barriers to Treatment for Depression in a U.S. National Sample: A Cross-Sectional, Proof-of-Concept Study.预测美国全国样本中抑郁治疗障碍:一项横断面、概念验证研究。
Psychiatr Serv. 2018 Aug 1;69(8):927-934. doi: 10.1176/appi.ps.201800094. Epub 2018 Jul 2.
6
Contact With Mental Health Services Prior to Suicide: A Systematic Review and Meta-Analysis.自杀前与心理健康服务机构的接触:系统评价和荟萃分析。
Psychiatr Serv. 2018 Jul 1;69(7):751-759. doi: 10.1176/appi.ps.201700475. Epub 2018 Apr 16.
7
Issues in Developing a Surveillance Case Definition for Nonfatal Suicide Attempt and Intentional Self-harm Using International Classification of Diseases, Tenth Revision, Clinical Modification (ICD-10-CM) Coded Data.利用国际疾病分类第十次修订本临床修订版(ICD-10-CM)编码数据制定非致命自杀未遂和故意自伤监测病例定义中的问题。
Natl Health Stat Report. 2018 Feb(108):1-19.
8
Reevaluating the Efficacy and Predictability of Antidepressant Treatments: A Symptom Clustering Approach.重新评估抗抑郁治疗的疗效和可预测性:一种症状聚类方法。
JAMA Psychiatry. 2017 Apr 1;74(4):370-378. doi: 10.1001/jamapsychiatry.2017.0025.
9
Cluster analysis and its application to healthcare claims data: a study of end-stage renal disease patients who initiated hemodialysis.聚类分析及其在医疗保健理赔数据中的应用:对开始进行血液透析的终末期肾病患者的研究。
BMC Nephrol. 2016 Mar 2;17:25. doi: 10.1186/s12882-016-0238-2.
10
Comparison of depressive episodes in bipolar disorder and in major depressive disorder within bipolar disorder pedigrees.双相障碍家系中双相障碍与单相重性抑郁障碍抑郁发作的比较。
Br J Psychiatry. 2011 Oct;199(4):303-9. doi: 10.1192/bjp.bp.110.088823. Epub 2011 Apr 20.