Suppr超能文献

将无人机应用于农村环境中的蚊虫幼虫栖息地识别:疟疾控制的实用方法?

The application of drones for mosquito larval habitat identification in rural environments: a practical approach for malaria control?

机构信息

Vector Biology Department, Liverpool School of Tropical Medicine, Liverpool, UK.

Lancaster Medical School, Lancaster University, Lancaster, UK.

出版信息

Malar J. 2021 May 31;20(1):244. doi: 10.1186/s12936-021-03759-2.

Abstract

BACKGROUND

Spatio-temporal trends in mosquito-borne diseases are driven by the locations and seasonality of larval habitat. One method of disease control is to decrease the mosquito population by modifying larval habitat, known as larval source management (LSM). In malaria control, LSM is currently considered impractical in rural areas due to perceived difficulties in identifying target areas. High resolution drone mapping is being considered as a practical solution to address this barrier. In this paper, the authors' experiences of drone-led larval habitat identification in Malawi were used to assess the feasibility of this approach.

METHODS

Drone mapping and larval surveys were conducted in Kasungu district, Malawi between 2018 and 2020. Water bodies and aquatic vegetation were identified in the imagery using manual methods and geographical object-based image analysis (GeoOBIA) and the performances of the classifications were compared. Further, observations were documented on the practical aspects of capturing drone imagery for informing malaria control including cost, time, computing, and skills requirements. Larval sampling sites were characterized by biotic factors visible in drone imagery and generalized linear mixed models were used to determine their association with larval presence.

RESULTS

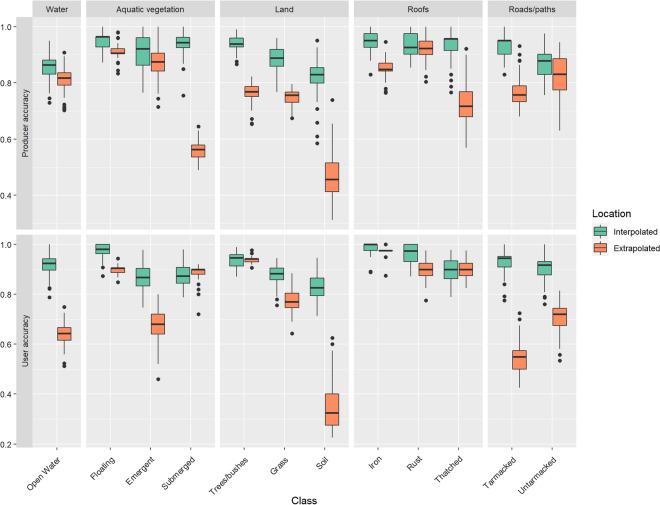
Imagery covering an area of 8.9 km across eight sites was captured. Larval habitat characteristics were successfully identified using GeoOBIA on images captured by a standard camera (median accuracy = 98%) with no notable improvement observed after incorporating data from a near-infrared sensor. This approach however required greater processing time and technical skills compared to manual identification. Larval samples captured from 326 sites confirmed that drone-captured characteristics, including aquatic vegetation presence and type, were significantly associated with larval presence.

CONCLUSIONS

This study demonstrates the potential for drone-acquired imagery to support mosquito larval habitat identification in rural, malaria-endemic areas, although technical challenges were identified which may hinder the scale up of this approach. Potential solutions have however been identified, including strengthening linkages with the flourishing drone industry in countries such as Malawi. Further consultations are therefore needed between experts in the fields of drones, image analysis and vector control are needed to develop more detailed guidance on how this technology can be most effectively exploited in malaria control.

摘要

背景

蚊媒疾病的时空趋势是由幼虫栖息地的位置和季节性驱动的。一种控制疾病的方法是通过改变幼虫栖息地来减少蚊子数量,这种方法称为幼虫源管理(LSM)。在疟疾控制中,由于认为难以确定目标区域,LSM 目前被认为在农村地区不切实际。高分辨率无人机测绘被认为是解决这一障碍的实用方法。本文利用作者在马拉维领导的无人机幼虫栖息地识别经验,评估了这种方法的可行性。

方法

2018 年至 2020 年期间,在马拉维卡松古地区进行了无人机测绘和幼虫调查。使用手动方法和地理对象图像分析(GeoOBIA)在图像中识别水体和水生植被,并比较了分类的性能。此外,还记录了捕获无人机图像以告知疟疾控制的实际方面的情况,包括成本、时间、计算和技能要求。幼虫采样点的特征是在无人机图像中可见的生物因素,并使用广义线性混合模型来确定它们与幼虫存在的关联。

结果

在八个地点跨越 8.9 公里的区域拍摄了图像。使用标准相机拍摄的图像成功地使用 GeoOBIA 识别了幼虫栖息地特征(中位数准确性=98%),在纳入近红外传感器数据后没有观察到明显的改进。然而,与手动识别相比,这种方法需要更多的处理时间和技术技能。从 326 个地点采集的幼虫样本证实,从无人机捕获的特征,包括水生植被的存在和类型,与幼虫的存在显著相关。

结论

本研究表明,无人机获取的图像有可能支持在农村疟疾流行地区识别蚊子幼虫栖息地,尽管已经确定了一些技术挑战可能会阻碍这种方法的推广。然而,已经确定了潜在的解决方案,包括加强与马拉维等国家蓬勃发展的无人机行业的联系。因此,需要在无人机、图像分析和病媒控制领域的专家之间进行进一步协商,以制定关于如何最有效地利用这项技术进行疟疾控制的更详细指南。

https://cdn.ncbi.nlm.nih.gov/pmc/blobs/f8ba/8166061/fc743d88b5d3/12936_2021_3759_Fig1_HTML.jpg

文献AI研究员

20分钟写一篇综述,助力文献阅读效率提升50倍。

立即体验

用中文搜PubMed

大模型驱动的PubMed中文搜索引擎

马上搜索

文档翻译

学术文献翻译模型,支持多种主流文档格式。

立即体验