Suppr超能文献

乙型肝炎治疗的最新进展

Recent Advances in Hepatitis B Treatment.

作者信息

Prifti Georgia-Myrto, Moianos Dimitrios, Giannakopoulou Erofili, Pardali Vasiliki, Tavis John E, Zoidis Grigoris

机构信息

Department of Pharmacy, Division of Pharmaceutical Chemistry, School of Health Sciences, National and Kapodistrian University of Athens, Panepistimiopolis Zografou, 15771 Athens, Greece.

Molecular Microbiology and Immunology, Saint Louis University, Saint Louis, MO 63104, USA.

出版信息

Pharmaceuticals (Basel). 2021 May 1;14(5):417. doi: 10.3390/ph14050417.

Abstract

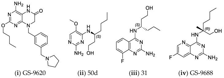
Hepatitis B virus infection affects over 250 million chronic carriers, causing more than 800,000 deaths annually, although a safe and effective vaccine is available. Currently used antiviral agents, pegylated interferon and nucleos(t)ide analogues, have major drawbacks and fail to completely eradicate the virus from infected cells. Thus, achieving a "functional cure" of the infection remains a real challenge. Recent findings concerning the viral replication cycle have led to development of novel therapeutic approaches including viral entry inhibitors, epigenetic control of cccDNA, immune modulators, RNA interference techniques, ribonuclease H inhibitors, and capsid assembly modulators. Promising preclinical results have been obtained, and the leading molecules under development have entered clinical evaluation. This review summarizes the key steps of the HBV life cycle, examines the currently approved anti-HBV drugs, and analyzes novel HBV treatment regimens.

摘要

乙肝病毒感染影响着超过2.5亿慢性携带者,尽管有安全有效的疫苗,但每年仍导致超过80万人死亡。目前使用的抗病毒药物,聚乙二醇化干扰素和核苷(酸)类似物,存在重大缺陷,无法从受感染细胞中完全清除病毒。因此,实现该感染的“功能性治愈”仍然是一项现实挑战。关于病毒复制周期的最新发现已促使新型治疗方法的开发,包括病毒进入抑制剂、共价闭合环状DNA的表观遗传控制、免疫调节剂、RNA干扰技术、核糖核酸酶H抑制剂和衣壳组装调节剂。已经获得了有前景的临床前结果,并且正在开发的领先分子已进入临床评估阶段。本综述总结了乙肝病毒生命周期的关键步骤,审视了目前已获批的抗乙肝病毒药物,并分析了新型乙肝治疗方案。

https://cdn.ncbi.nlm.nih.gov/pmc/blobs/6f6a/8147224/bd408ba12ec8/pharmaceuticals-14-00417-g006.jpg

文献AI研究员

20分钟写一篇综述,助力文献阅读效率提升50倍。

立即体验

用中文搜PubMed

大模型驱动的PubMed中文搜索引擎

马上搜索

文档翻译

学术文献翻译模型,支持多种主流文档格式。

立即体验