Suppr超能文献

全面分析细胞因子信号转导抑制蛋白在人类乳腺癌中的作用。

Comprehensive analysis of suppressor of cytokine signaling proteins in human breast Cancer.

机构信息

Department of Breast Surgery, Xuzhou Central Hospital, The Affiliated Xuzhou Hospital of Medical College of Southeast University, Xuzhou, 221009, China.

Department of Biochemistry and Molecular Biology, College of Basic Medical, Navy Medical University, Shanghai, 200433, China.

出版信息

BMC Cancer. 2021 Jun 13;21(1):696. doi: 10.1186/s12885-021-08434-y.

Abstract

BACKGROUND

Abnormal expression of suppressor of cytokine signaling (SOCS) proteins regulates tumor angiogenesis and development in cancers. In this study, we aimed to perform a comprehensive bioinformatic analysis of SOCS proteins in breast invasive carcinoma (BRCA).

METHODS

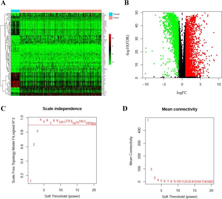
The gene expression, methylation level, copy number, protein expression and patient survival data related to SOCS family members in BRCA patients were obtained from the following databases: Oncomine, The Cancer Genome Atlas (TCGA), Genotype-Tissue Expression (GTEx), Human Protein Atlas (HPA), Gene Expression Profiling Interactive Analysis (GEPIA), PCViz, cBioPortal and Kaplan-Meier plotter. Correlation analyses, identification of interacting genes and construction of regulatory networks were performed by functional and pathway enrichment analyses, weighted gene coexpression network analysis (WGCNA) and gene set enrichment analysis (GSEA).

RESULTS

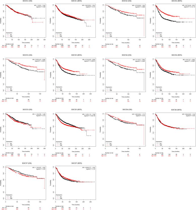
Data related to 1109 BRCA tissues and 113 normal breast tissue samples were extracted from the TCGA database. SOCS2 and SOCS3 exhibited significantly lower mRNA expression levels in BRCA tissues than in normal tissues. BRCA patients with high mRNA levels of SOCS3 (p < 0.01) and SOCS4 (p < 0.05) were predicted to have significantly longer overall survival (OS) times. Multivariate analysis showed that SOCS3 was an independent prognostic factor for OS. High mRNA expression levels of SOCS2 (p < 0.001), SOCS3 (p < 0.001), and SOCS4 (p < 0.01), and a low expression level of SOCS5 (p < 0.001) were predicted to be significantly associated with better recurrence-free survival (RFS). Multivariate analysis showed that SOCS2 was an independent prognostic factor for RFS. Lower expression levels of SOCS2 and SOCS3 were observed in patients with tumors of more advanced clinical stage (p < 0.05). Functional and pathway enrichment analyses, together with WGCNA and GSEA, showed that SOCS3 and its interacting genes were significantly involved in the JAK-STAT signaling pathway, suggesting that JAK-STAT signaling might play a critical role in BRCA angiogenesis and development. Western blot results showed that overexpression of SOCS3 inhibited the activity of the JAK-STAT signaling pathway in vitro.

CONCLUSIONS

SOCS family proteins play a very important role in BRCA. SOCS3 may be a prognostic factor and SOCS2 may be a potential therapeutic target in breast cancer.

摘要

背景

细胞因子信号转导抑制因子(SOCS)蛋白的异常表达调节癌症中的肿瘤血管生成和发展。本研究旨在对乳腺浸润性癌(BRCA)中的 SOCS 蛋白进行全面的生物信息学分析。

方法

从以下数据库中获得与 BRCA 患者 SOCS 家族成员相关的基因表达、甲基化水平、拷贝数、蛋白表达和患者生存数据:Oncomine、癌症基因组图谱(TCGA)、基因型-组织表达(GTEx)、人类蛋白质图谱(HPA)、基因表达谱分析互动分析(GEPIA)、PCViz、cBioPortal 和 Kaplan-Meier 绘图仪。通过功能和通路富集分析、加权基因共表达网络分析(WGCNA)和基因集富集分析(GSEA)进行相关性分析、鉴定相互作用基因和构建调控网络。

结果

从 TCGA 数据库中提取了 1109 例 BRCA 组织和 113 例正常乳腺组织样本的数据。SOCS2 和 SOCS3 在 BRCA 组织中的 mRNA 表达水平明显低于正常组织。SOCS3(p<0.01)和 SOCS4(p<0.05)mRNA 水平高的 BRCA 患者总生存时间明显延长。多变量分析显示 SOCS3 是 OS 的独立预后因素。SOCS2(p<0.001)、SOCS3(p<0.001)和 SOCS4(p<0.01)的高 mRNA 表达水平和 SOCS5(p<0.001)的低表达水平与更好的无复发生存(RFS)显著相关。多变量分析显示 SOCS2 是 RFS 的独立预后因素。SOCS2 和 SOCS3 的表达水平较低与更晚期临床分期的肿瘤患者有关(p<0.05)。功能和通路富集分析,以及 WGCNA 和 GSEA 表明,SOCS3 及其相互作用基因显著参与 JAK-STAT 信号通路,提示 JAK-STAT 信号通路可能在 BRCA 血管生成和发展中发挥关键作用。Western blot 结果表明,SOCS3 的过表达抑制了体外 JAK-STAT 信号通路的活性。

结论

SOCS 家族蛋白在 BRCA 中发挥着非常重要的作用。SOCS3 可能是一个预后因素,SOCS2 可能是乳腺癌的一个潜在治疗靶点。

https://cdn.ncbi.nlm.nih.gov/pmc/blobs/861d/8201682/360bb68b2026/12885_2021_8434_Fig1_HTML.jpg

文献AI研究员

20分钟写一篇综述,助力文献阅读效率提升50倍。

立即体验

用中文搜PubMed

大模型驱动的PubMed中文搜索引擎

马上搜索

文档翻译

学术文献翻译模型,支持多种主流文档格式。

立即体验