Suppr超能文献

2019冠状病毒病的流行趋势和死亡率:年度回顾

Trends in COVID-19 prevalence and mortality: A year in review.

作者信息

James Nick, Menzies Max

机构信息

School of Mathematics and Statistics, University of Melbourne, Victoria, Australia.

Yau Mathematical Sciences Centre, Tsinghua University, Beijing, China.

出版信息

Physica D. 2021 Nov;425:132968. doi: 10.1016/j.physd.2021.132968. Epub 2021 Jun 7.

Abstract

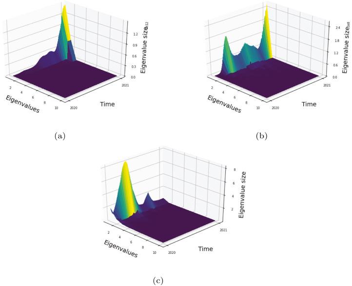
This paper introduces new methods to study the changing dynamics of COVID-19 cases and deaths among the 50 worst-affected countries throughout 2020. First, we analyse the trajectories and turning points of rolling mortality rates to understand at which times the disease was most lethal. We demonstrate five characteristic classes of mortality rate trajectories and determine structural similarity in mortality trends over time. Next, we introduce a class of to study the evolution of COVID-19 cases and deaths on a global scale. Finally, we introduce to determine anomalous countries with respect to three attributes: countries' COVID-19 cases, deaths and human development indices. We demonstrate the most anomalous countries across these three measures are Pakistan, the United States and the United Arab Emirates.

摘要

本文介绍了新方法,用于研究2020年期间受影响最严重的50个国家中新冠病例和死亡人数的变化动态。首先,我们分析滚动死亡率的轨迹和转折点,以了解该疾病在哪些时间段最致命。我们展示了死亡率轨迹的五个特征类别,并确定了死亡率随时间变化趋势的结构相似性。接下来,我们引入一类方法来研究全球范围内新冠病例和死亡人数的演变。最后,我们引入方法来确定在三个属性方面异常的国家:各国的新冠病例、死亡人数和人类发展指数。我们证明,在这三项指标中最异常的国家是巴基斯坦、美国和阿拉伯联合酋长国。

https://cdn.ncbi.nlm.nih.gov/pmc/blobs/d347/8183049/4cb0b603d980/gr1_lrg.jpg

文献AI研究员

20分钟写一篇综述,助力文献阅读效率提升50倍。

立即体验

用中文搜PubMed

大模型驱动的PubMed中文搜索引擎

马上搜索

文档翻译

学术文献翻译模型,支持多种主流文档格式。

立即体验