Center for Biostatistics, Department of Biomedical Informatics, The Ohio State University, Columbus, OH 43210;
Department of Statistics, University of California, Santa Cruz, CA 95064.
Proc Natl Acad Sci U S A. 2021 Jun 29;118(26). doi: 10.1073/pnas.2023947118.
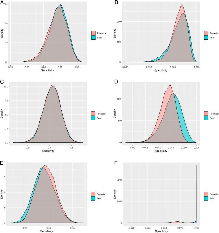
Globally, severe acute respiratory syndrome coronavirus 2 (SARS-CoV-2) has infected more than 59 million people and killed more than 1.39 million. Designing and monitoring interventions to slow and stop the spread of the virus require knowledge of how many people have been and are currently infected, where they live, and how they interact. The first step is an accurate assessment of the population prevalence of past infections. There are very few population-representative prevalence studies of SARS-CoV-2 infections, and only two states in the United States-Indiana and Connecticut-have reported probability-based sample surveys that characterize statewide prevalence of SARS-CoV-2. One of the difficulties is the fact that tests to detect and characterize SARS-CoV-2 coronavirus antibodies are new, are not well characterized, and generally function poorly. During July 2020, a survey representing all adults in the state of Ohio in the United States collected serum samples and information on protective behavior related to SARS-CoV-2 and coronavirus disease 2019 (COVID-19). Several features of the survey make it difficult to estimate past prevalence: 1) a low response rate; 2) a very low number of positive cases; and 3) the fact that multiple poor-quality serological tests were used to detect SARS-CoV-2 antibodies. We describe a Bayesian approach for analyzing the biomarker data that simultaneously addresses these challenges and characterizes the potential effect of selective response. The model does not require survey sample weights; accounts for multiple imperfect antibody test results; and characterizes uncertainty related to the sample survey and the multiple imperfect, potentially correlated tests.
全球范围内,严重急性呼吸综合征冠状病毒 2(SARS-CoV-2)已感染超过 5900 万人,造成超过 139 万人死亡。设计和监测干预措施以减缓并阻止病毒传播,需要了解有多少人曾经感染以及目前正在感染,他们居住在哪里,以及他们如何互动。第一步是对过去感染的人群流行率进行准确评估。目前仅有少数针对 SARS-CoV-2 感染的代表性人群流行率研究,且仅有美国的印第安纳州和康涅狄格州报告了基于概率的抽样调查,描述了全州 SARS-CoV-2 的流行率。其中一个困难是,用于检测和描述 SARS-CoV-2 冠状病毒抗体的检测方法是新型的,其特征尚未得到很好的描述,并且通常功能不佳。2020 年 7 月,在美国俄亥俄州进行的一项代表全州所有成年人的调查收集了血清样本,并获取了与 SARS-CoV-2 和 2019 年冠状病毒病(COVID-19)相关的保护行为信息。调查的几个特点使得过去流行率的估计变得困难:1)响应率低;2)阳性病例非常少;3)使用了多种质量较差的血清学检测来检测 SARS-CoV-2 抗体。我们描述了一种贝叶斯方法来分析生物标志物数据,该方法同时解决了这些挑战,并描述了选择性响应的潜在影响。该模型不需要调查样本权重;考虑到多个不完美的抗体检测结果;并描述了与抽样调查以及多个不完美、可能相关的测试相关的不确定性。