Suppr超能文献

父母的反思功能在母亲抑郁与儿童内化和外化问题的关系中起调节作用。

Parental Reflective Functioning as a Moderator for the Relationship Between Maternal Depression and Child Internalizing and Externalizing Problems.

机构信息

Family Research Institute, Shahid Beheshti University, Daneshjou blv, 1983969411, Tehran, Iran.

Family Research Institute, Shahid Beheshti University, Tehran, Iran.

出版信息

Child Psychiatry Hum Dev. 2022 Dec;53(6):1319-1329. doi: 10.1007/s10578-021-01214-6. Epub 2021 Jun 25.

Abstract

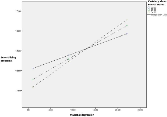
Parental Reflective Functioning (PRF) refers to parents' capacity to view their child's and their own behavior considering inner mental states, like thoughts, desires, and intentions. This study's objective was to examine whether PRF acted as a moderator for the relationships between maternal depression and child internalizing and externalizing problems. The sample was comprised of 685 Iranian mothers with preschoolers (3 to 5 years old) and school-aged (6-10 years old) children. To assess PRF, the PRF questionnaire was used. Child internalizing and externalizing difficulties were assessed with the Child Behavior Checklist, and maternal depression was assessed with the Beck Depression Inventory- second version. Results indicated significant relationships between maternal depression and PRF (specifically pre-mentalizing and certainty in mental states). Also, mothers of school-aged children showed significantly higher levels of pre-mentalizing than mothers of preschoolers. Furthermore, certainty about mental states moderated the relationship between maternal depression and child externalizing behaviors in school-aged children. However, no moderating effect was found for pre-mentalizing or interest and curiosity in mental states in any age group.

摘要

父母反思功能(PRF)是指父母能够从内在心理状态(如思想、欲望和意图)的角度来看待自己和孩子的行为。本研究旨在探讨 PRF 是否在母亲抑郁与儿童内化和外化问题之间的关系中起到调节作用。该样本由 685 名伊朗幼儿(3-5 岁)和学龄儿童(6-10 岁)的母亲组成。为了评估 PRF,使用了 PRF 问卷。儿童的内化和外化问题用儿童行为检查表评估,母亲的抑郁用贝克抑郁量表-第二版评估。结果表明,母亲抑郁与 PRF(特别是前心理化和心理状态的确定性)之间存在显著关系。此外,与幼儿组相比,学龄儿童组的母亲在前心理化方面表现出更高的水平。此外,对心理状态的确定性在学龄儿童中调节了母亲抑郁与儿童外化行为之间的关系。然而,在任何年龄组中,前心理化或对心理状态的兴趣和好奇心都没有发现调节作用。

https://cdn.ncbi.nlm.nih.gov/pmc/blobs/5333/8231079/8fa514e07e6f/10578_2021_1214_Fig1_HTML.jpg

文献AI研究员

20分钟写一篇综述,助力文献阅读效率提升50倍。

立即体验

用中文搜PubMed

大模型驱动的PubMed中文搜索引擎

马上搜索

文档翻译

学术文献翻译模型,支持多种主流文档格式。

立即体验