Suppr超能文献

生物信息学揭示了乳腺癌中巨噬细胞标记基因特征,可预测预后。

Bioinformatics reveal macrophages marker genes signature in breast cancer to predict prognosis.

机构信息

Guangdong Provincial Key Laboratory of Malignant Tumor Epigenetics and Gene Regulation, Sun Yat-sen Memorial Hospital, SunYat-sen University, Guangzhou, China.

Breast Tumor Center, Sun Yat-sen Memorial Hospital, Sun Yat-sen University, Guangzhou, China.

出版信息

Ann Med. 2021 Dec;53(1):1019-1031. doi: 10.1080/07853890.2021.1914343.

Abstract

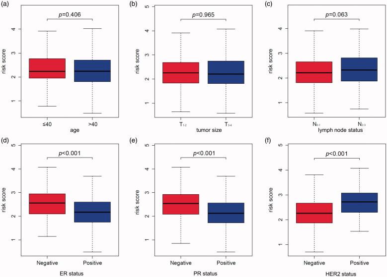
Breast cancer is a pivotal cause of global women cancer death. Immunotherapy has become a promising means to cure breast cancer. As constitutes of immune microenvironment of breast cancer, macrophages exert complicated functions in the tumour development and treatment. This study aims to develop a prognostic macrophage marker genes signature (MMGS). Single cell RNA sequence data analysis was performed to identify macrophage marker genes in breast cancer. TCGA database was used to construct MMGS model as a training cohort, and GSE96058 dataset was used to validate the MMGS as a validation cohort. Genes included in the MMGS model were: SERPINA1, CD74, STX11, ADAM9, CD24, NFKBIA, PGK1. MMGS risk score stratified by overall survival of patients divided them into high- and low-risk groups. And MMGS risk score remained independent prognostic factor in multivariate analysis after adjusting for classical clinical factors in both training and validation cohorts. Besides, hormone receptors negative and human epidermal growth factor receptor 2 (HER2) positive patients had higher risk score. MMGS showed better distinguishing capability between high-risk and low-risk groups in hormone receptor positive and HER2 negative subgroup. MMGS provides a new understanding of immune cell marker genes in breast cancer prognosis and may offer reference for immunotherapy decision for breast cancer patients.

摘要

乳腺癌是全球女性癌症死亡的主要原因。免疫疗法已成为治疗乳腺癌的一种有前途的手段。作为乳腺癌免疫微环境的组成部分,巨噬细胞在肿瘤的发展和治疗中发挥着复杂的功能。本研究旨在开发一种用于预测乳腺癌的巨噬细胞标记基因特征(MMGS)。通过单细胞 RNA 序列数据分析来鉴定乳腺癌中的巨噬细胞标记基因。TCGA 数据库用于构建 MMGS 模型作为训练队列,GSE96058 数据集用于验证 MMGS 作为验证队列。包含在 MMGS 模型中的基因有:SERPINA1、CD74、STX11、ADAM9、CD24、NFKBIA、PGK1。根据患者的总生存率对 MMGS 风险评分进行分层,将患者分为高风险组和低风险组。并且,在调整了训练和验证队列中的经典临床因素后,MMGS 风险评分仍然是多变量分析中的独立预后因素。此外,激素受体阴性和人表皮生长因子受体 2(HER2)阳性患者的风险评分更高。在激素受体阳性和 HER2 阴性亚组中,MMGS 显示出更好地区分高风险组和低风险组的能力。MMGS 为乳腺癌预后中免疫细胞标记基因提供了新的认识,可能为乳腺癌患者的免疫治疗决策提供参考。

https://cdn.ncbi.nlm.nih.gov/pmc/blobs/dbb8/8253219/2d71fb04ff39/IANN_A_1914343_F0001_C.jpg

文献AI研究员

20分钟写一篇综述,助力文献阅读效率提升50倍。

立即体验

用中文搜PubMed

大模型驱动的PubMed中文搜索引擎

马上搜索

文档翻译

学术文献翻译模型,支持多种主流文档格式。

立即体验