Suppr超能文献

基于症状的糖尿病肾功能下降分层研究(SYSTEM):一项回顾性队列研究与模型评估

SYmptom-Based STratification of DiabEtes Mellitus by Renal Function Decline (SYSTEM): A Retrospective Cohort Study and Modeling Assessment.

作者信息

Chan Kam Wa, Chow Tak Yee, Yu Kam Yan, Xu Yulong, Zhang Nevin Lianwen, Wong Vivian Taam, Li Saimei, Tang Sydney Chi Wai

机构信息

Department of Medicine, The University of Hong Kong, Hong Kong, China.

Hong Kong Association for Integration of Chinese-Western Medicine, Hong Kong, China.

出版信息

Front Med (Lausanne). 2021 Jun 14;8:682090. doi: 10.3389/fmed.2021.682090. eCollection 2021.

Abstract

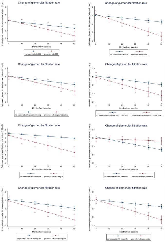
Previous UK Biobank studies showed that symptoms and physical measurements had excellent prediction on long-term clinical outcomes in general population. Symptoms and signs could intuitively and non-invasively predict and monitor disease progression, especially for telemedicine, but related research is limited in diabetes and renal medicine. This retrospective cohort study aimed to evaluate the predictive power of a symptom-based stratification framework and individual symptoms for diabetes. Three hundred two adult diabetic patients were consecutively sampled from outpatient clinics in Hong Kong for prospective symptom assessment. Demographics and longitudinal measures of biochemical parameters were retrospectively extracted from linked medical records. The association between estimated glomerular filtration rate (GFR) (independent variable) and biochemistry, epidemiological factors, and individual symptoms was assessed by mixed regression analyses. A symptom-based stratification framework of diabetes using symptom clusters was formulated by Delphi consensus method. Akaike information criterion (AIC) and Bayesian information criterion (BIC) were compared between statistical models with different combinations of biochemical, epidemiological, and symptom variables. In the 4.2-year follow-up period, baseline presentation of edema (-1.8 ml/min/1.73m, 95%CI: -2.5 to -1.2, < ), epigastric bloating (-0.8 ml/min/1.73m, 95%CI: -1.4 to -0.2, = 0.014) and alternating dry and loose stool (-1.1 ml/min/1.73m, 95%CI: -1.9 to -0.4, = 0.004) were independently associated with faster annual GFR decline. Eleven symptom clusters were identified from literature, stratifying diabetes predominantly by gastrointestinal phenotypes. Using symptom clusters synchronized by Delphi consensus as the independent variable in statistical models reduced complexity and improved explanatory power when compared to using individual symptoms. Symptom-biologic-epidemiologic combined model had the lowest AIC (4,478 vs. 5,824 vs. 4,966 vs. 7,926) and BIC (4,597 vs. 5,870 vs. 5,065 vs. 8,026) compared to the symptom, symptom-epidemiologic and biologic-epidemiologic models, respectively. Patients co-presenting with a constellation of fatigue, malaise, dry mouth, and dry throat were independently associated with faster annual GFR decline (-1.1 ml/min/1.73m, 95%CI: -1.9 to -0.2, = 0.011). Add-on symptom-based diagnosis improves the predictive power on renal function decline among diabetic patients based on key biochemical and epidemiological factors. Dynamic change of symptoms should be considered in clinical practice and research design.

摘要

英国生物银行此前的研究表明,症状和体格检查对普通人群的长期临床结局具有出色的预测能力。症状和体征能够直观且无创地预测和监测疾病进展,尤其是对于远程医疗而言,但在糖尿病和肾脏医学领域相关研究有限。这项回顾性队列研究旨在评估基于症状的分层框架及个体症状对糖尿病的预测能力。连续从香港门诊选取302例成年糖尿病患者进行前瞻性症状评估。从关联的医疗记录中回顾性提取人口统计学信息及生化参数的纵向测量数据。通过混合回归分析评估估算肾小球滤过率(GFR)(自变量)与生化、流行病学因素及个体症状之间的关联。采用德尔菲共识法制定了基于症状群的糖尿病分层框架。比较了包含不同生化、流行病学及症状变量组合的统计模型的赤池信息准则(AIC)和贝叶斯信息准则(BIC)。在4.2年的随访期内,水肿的基线表现(-1.8 ml/min/1.73m²,95%CI:-2.5至-1.2,P<0.001)、上腹部胀满(-0.8 ml/min/1.73m²,95%CI:-1.4至-0.2,P = 0.014)以及大便干结与稀溏交替(-1.1 ml/min/1.73m²,95%CI:-1.9至-0.4,P = 0.004)均与GFR年度下降更快独立相关。从文献中识别出11个症状群,主要根据胃肠道表型对糖尿病进行分层。与使用个体症状相比,在统计模型中使用经德尔菲共识同步的症状群作为自变量可降低复杂性并提高解释力。与症状模型、症状-流行病学模型和生物学-流行病学模型相比,症状-生物学-流行病学联合模型的AIC最低(分别为4478、5824、4966、7926),BIC也最低(分别为4597、5870、5065、8026)。同时出现疲劳、不适、口干和咽干等一系列症状的患者与GFR年度下降更快独立相关(-1.1 ml/min/1.73m²,95%CI:-1.9至-0.2,P = 0.011)。基于关键生化和流行病学因素,附加基于症状的诊断可提高对糖尿病患者肾功能下降的预测能力。在临床实践和研究设计中应考虑症状的动态变化。

https://cdn.ncbi.nlm.nih.gov/pmc/blobs/c763/8236588/65fcf51c387e/fmed-08-682090-g0001.jpg

文献AI研究员

20分钟写一篇综述,助力文献阅读效率提升50倍。

立即体验

用中文搜PubMed

大模型驱动的PubMed中文搜索引擎

马上搜索

文档翻译

学术文献翻译模型,支持多种主流文档格式。

立即体验