• 文献检索
  • 文档翻译
  • 深度研究
  • 学术资讯
  • Suppr Zotero 插件Zotero 插件
  • 邀请有礼
  • 套餐&价格
  • 历史记录
应用&插件
Suppr Zotero 插件Zotero 插件浏览器插件Mac 客户端Windows 客户端微信小程序
定价
高级版会员购买积分包购买API积分包
服务
文献检索文档翻译深度研究API 文档MCP 服务
关于我们
关于 Suppr公司介绍联系我们用户协议隐私条款
关注我们

Suppr 超能文献

核心技术专利:CN118964589B侵权必究
粤ICP备2023148730 号-1Suppr @ 2026

文献检索

告别复杂PubMed语法,用中文像聊天一样搜索,搜遍4000万医学文献。AI智能推荐,让科研检索更轻松。

立即免费搜索

文件翻译

保留排版,准确专业,支持PDF/Word/PPT等文件格式,支持 12+语言互译。

免费翻译文档

深度研究

AI帮你快速写综述,25分钟生成高质量综述,智能提取关键信息,辅助科研写作。

立即免费体验

黄连富含原小檗碱部位对子宫内膜异位症消退的影响。

Effect of Protoberberine-Rich Fraction of L. on Endometriosis Regression.

作者信息

Warowicka Alicja, Qasem Badr, Dera-Szymanowska Anna, Wołuń-Cholewa Maria, Florczak Patryk, Horst Nikodem, Napierała Marta, Szymanowski Krzysztof, Popenda Łukasz, Bartkowiak Grażyna, Florek Ewa, Goździcka-Józefiak Anna, Młynarz Piotr

机构信息

Department of Animal Physiology and Development, Faculty of Biology, Adam Mickiewicz University in Poznań, 61614 Poznań, Poland.

NanoBioMedical Centre, Adam Mickiewicz University in Poznań, 61614 Poznań, Poland.

出版信息

Pharmaceutics. 2021 Jun 23;13(7):931. doi: 10.3390/pharmaceutics13070931.

DOI:10.3390/pharmaceutics13070931
PMID:34201532
原文链接:https://pmc.ncbi.nlm.nih.gov/articles/PMC8309065/
Abstract

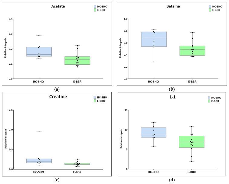
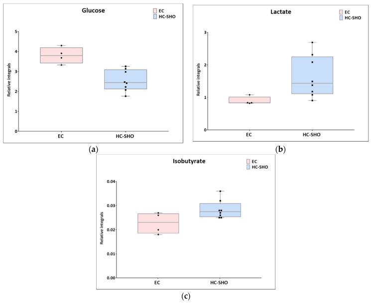
Endometriosis is a gynecological disease defined by the presence of endometrial tissue outside the uterus. To date, the effective treatment of this disease is still based on invasive surgery or laparoscopy. L. (Papaveraceae) belongs to medicinal, latex-bearing plants. Extracts from the plant are a rich source of pharmacologically active agents. Protoberberine compounds derived from possess anticancer and antiproliferative activities. In the present study of a rat model of endometriosis, we investigated the influence of the plant protoberberine-rich fraction (BBR) obtained from the medicinal plant on the development of endometriosis. To understand of BBR therapeutic potential for endometriosis, metabolomics has been applied to study. BBR was prepared from an ethanolic extract of dry plants . Rats ( = 16) with confirmed endometriosis were treated with BBR administered orally (1 g/kg) for 14 days. Blood serum samples were collected from all of the animals and metabolites were studied using the NMR method. The metabolomic pattern was compared before and after the protoberberine treatment. The performed analysis showed significant changes in the concentrations of metabolites that are involved in energy homeostasis, including glucose, glutamine, and lactate. Histopathological studies showed no recurrence of endometriosis loci after treatment with BBR. The results of the study found that BBR treatment prevents the recurrence of endometriosis in rats. Moreover, metabolomics profiling can be applied to better understand the mechanisms of action of these protoberberine secondary plant metabolites. Our findings provide new insights into the pharmaceutical activity of natural protoberberine plant compounds.

摘要

子宫内膜异位症是一种妇科疾病,其定义为子宫外存在子宫内膜组织。迄今为止,这种疾病的有效治疗仍基于侵入性手术或腹腔镜检查。博落回属罂粟科药用、含乳胶植物。该植物提取物富含药理活性剂。从博落回中提取的原小檗碱化合物具有抗癌和抗增殖活性。在本项针对子宫内膜异位症大鼠模型的研究中,我们研究了从药用植物博落回中提取的富含原小檗碱的组分(BBR)对子宫内膜异位症发展的影响。为了解BBR对子宫内膜异位症的治疗潜力,已应用代谢组学进行研究。BBR由干燥植物博落回的乙醇提取物制备而成。对确诊为子宫内膜异位症的16只大鼠口服给予BBR(1 g/kg),持续14天。从所有动物采集血清样本,并使用核磁共振方法研究代谢物。比较原小檗碱治疗前后的代谢组学模式。所进行的分析表明,参与能量稳态的代谢物浓度发生了显著变化,包括葡萄糖、谷氨酰胺和乳酸。组织病理学研究表明,BBR治疗后子宫内膜异位症病灶未复发。研究结果发现,BBR治疗可预防大鼠子宫内膜异位症的复发。此外,代谢组学分析可用于更好地理解这些原小檗碱次生植物代谢物的作用机制。我们的研究结果为天然原小檗碱植物化合物的药理活性提供了新的见解。

https://cdn.ncbi.nlm.nih.gov/pmc/blobs/c3d8/8309065/1883c7443ba6/pharmaceutics-13-00931-g007.jpg
https://cdn.ncbi.nlm.nih.gov/pmc/blobs/c3d8/8309065/ed74ef15ecdf/pharmaceutics-13-00931-g001.jpg
https://cdn.ncbi.nlm.nih.gov/pmc/blobs/c3d8/8309065/0f7f2988ff74/pharmaceutics-13-00931-g002.jpg
https://cdn.ncbi.nlm.nih.gov/pmc/blobs/c3d8/8309065/f2f4c180bb7d/pharmaceutics-13-00931-g003.jpg
https://cdn.ncbi.nlm.nih.gov/pmc/blobs/c3d8/8309065/122b61be886b/pharmaceutics-13-00931-g004.jpg
https://cdn.ncbi.nlm.nih.gov/pmc/blobs/c3d8/8309065/b1c1754cdaea/pharmaceutics-13-00931-g005.jpg
https://cdn.ncbi.nlm.nih.gov/pmc/blobs/c3d8/8309065/ad0af80f241b/pharmaceutics-13-00931-g006.jpg
https://cdn.ncbi.nlm.nih.gov/pmc/blobs/c3d8/8309065/1883c7443ba6/pharmaceutics-13-00931-g007.jpg
https://cdn.ncbi.nlm.nih.gov/pmc/blobs/c3d8/8309065/ed74ef15ecdf/pharmaceutics-13-00931-g001.jpg
https://cdn.ncbi.nlm.nih.gov/pmc/blobs/c3d8/8309065/0f7f2988ff74/pharmaceutics-13-00931-g002.jpg
https://cdn.ncbi.nlm.nih.gov/pmc/blobs/c3d8/8309065/f2f4c180bb7d/pharmaceutics-13-00931-g003.jpg
https://cdn.ncbi.nlm.nih.gov/pmc/blobs/c3d8/8309065/122b61be886b/pharmaceutics-13-00931-g004.jpg
https://cdn.ncbi.nlm.nih.gov/pmc/blobs/c3d8/8309065/b1c1754cdaea/pharmaceutics-13-00931-g005.jpg
https://cdn.ncbi.nlm.nih.gov/pmc/blobs/c3d8/8309065/ad0af80f241b/pharmaceutics-13-00931-g006.jpg
https://cdn.ncbi.nlm.nih.gov/pmc/blobs/c3d8/8309065/1883c7443ba6/pharmaceutics-13-00931-g007.jpg

相似文献

1
Effect of Protoberberine-Rich Fraction of L. on Endometriosis Regression.黄连富含原小檗碱部位对子宫内膜异位症消退的影响。
Pharmaceutics. 2021 Jun 23;13(7):931. doi: 10.3390/pharmaceutics13070931.
2
Protoberberine compounds extracted from Chelidonium majus L. as novel natural photosensitizers for cancer therapy.从白屈菜中提取的原小檗碱类化合物作为新型天然光敏剂用于癌症治疗。
Phytomedicine. 2019 Nov;64:152919. doi: 10.1016/j.phymed.2019.152919. Epub 2019 Apr 9.
3
In vitro and in vivo investigations on the antitumour activity of Chelidonium majus.白屈菜抗肿瘤活性的体外和体内研究。
Phytomedicine. 2015 Dec 15;22(14):1279-87. doi: 10.1016/j.phymed.2015.10.013. Epub 2015 Nov 10.
4
Alkaloids in L: a review of its phytochemistry, pharmacology and toxicology.L中的生物碱:其植物化学、药理学及毒理学综述
Front Pharmacol. 2024 Aug 22;15:1440979. doi: 10.3389/fphar.2024.1440979. eCollection 2024.
5
Combination of transcriptomic and proteomic approaches helps to unravel the protein composition of Chelidonium majus L. milky sap.转录组学和蛋白质组学方法的结合有助于揭示白屈菜乳状汁液的蛋白质组成。
Planta. 2016 Nov;244(5):1055-1064. doi: 10.1007/s00425-016-2566-7. Epub 2016 Jul 11.
6
Global proteomic analysis of Chelidonium majus and Corydalis cava (Papaveraceae) extracts revealed similar defense-related protein compositions.对欧洲白屈菜和延胡索(罂粟科)提取物的全球蛋白质组学分析表明,它们具有相似的防御相关蛋白组成。
Fitoterapia. 2014 Apr;94:77-87. doi: 10.1016/j.fitote.2014.01.015. Epub 2014 Jan 30.
7
Chelidonium majus crude extract inhibits migration and induces cell cycle arrest and apoptosis in tumor cell lines.白屈菜粗提取物可抑制肿瘤细胞系的迁移,并诱导细胞周期停滞和凋亡。
J Ethnopharmacol. 2016 Aug 22;190:362-71. doi: 10.1016/j.jep.2016.06.056. Epub 2016 Jun 25.
8
Proteomic comparison of Chelidonium majus L. latex in different phases of plant development.白屈菜不同发育阶段乳汁的蛋白质组学比较。
Plant Physiol Biochem. 2017 Mar;112:312-325. doi: 10.1016/j.plaphy.2017.01.010. Epub 2017 Jan 13.
9
Chelidonium majus--an integrative review: traditional knowledge versus modern findings.白屈菜——一项综合综述:传统知识与现代研究结果
Forsch Komplementmed. 2010 Oct;17(5):241-8. doi: 10.1159/000321397. Epub 2010 Oct 8.
10
A sensitive and selective liquid chromatography-tandem mass spectrometry method for simultaneous determination of five isoquinoline alkaloids from Chelidonium majus L. in rat plasma and its application to a pharmacokinetic study.一种灵敏且选择性的液相色谱-串联质谱法,用于同时测定大鼠血浆中来自白屈菜Chelidonium majus L. 的五种异喹啉生物碱,并将其应用于药代动力学研究。
J Mass Spectrom. 2013 Jan;48(1):111-8. doi: 10.1002/jms.3133.

引用本文的文献

1
The Current Applications of Metabolomics in Understanding Endometriosis: A Systematic Review.代谢组学在理解子宫内膜异位症中的当前应用:一项系统综述。
Metabolites. 2025 Jan 14;15(1):50. doi: 10.3390/metabo15010050.
2
Enhancing Wound Healing: A Comprehensive Review of Sericin and L. as Potential Dressings.促进伤口愈合:对丝胶蛋白和潜在敷料乳酸菌的综合综述。
Materials (Basel). 2024 Aug 24;17(17):4199. doi: 10.3390/ma17174199.
3
Alkaloids in L: a review of its phytochemistry, pharmacology and toxicology.L中的生物碱:其植物化学、药理学及毒理学综述

本文引用的文献

1
Modulatory Effect of Extract and Its Alkaloids on LPS-Stimulated Cytokine Secretion in Human Neutrophils.提取物及其生物碱对 LPS 刺激的人中性粒细胞细胞因子分泌的调节作用。
Molecules. 2020 Feb 14;25(4):842. doi: 10.3390/molecules25040842.
2
Berberine Inhibits Growth of Liver Cancer Cells by Suppressing Glutamine Uptake.黄连素通过抑制谷氨酰胺摄取来抑制肝癌细胞生长。
Onco Targets Ther. 2019 Dec 31;12:11751-11763. doi: 10.2147/OTT.S235667. eCollection 2019.
3
Correction to: Endometrium metabolomic profiling reveals potential biomarkers for diagnosis of endometriosis at minimal-mild stages.
Front Pharmacol. 2024 Aug 22;15:1440979. doi: 10.3389/fphar.2024.1440979. eCollection 2024.
4
Herbgenomics meets Papaveraceae: a promising -omics perspective on medicinal plant research.草药基因组学与罂粟科相遇:药用植物研究的一个有前景的“组学”视角。
Brief Funct Genomics. 2024 Sep 27;23(5):579-594. doi: 10.1093/bfgp/elad050.
5
The impact of herbal medicine in regulating intestinal flora on female reproductive disorders.草药调节肠道菌群对女性生殖系统疾病的影响。
Front Pharmacol. 2022 Oct 14;13:1026141. doi: 10.3389/fphar.2022.1026141. eCollection 2022.
6
New Understanding of Diagnosis, Treatment and Prevention of Endometriosis.子宫内膜异位症的诊断、治疗和预防的新认识。
Int J Environ Res Public Health. 2022 May 31;19(11):6725. doi: 10.3390/ijerph19116725.
对《子宫内膜代谢组学分析揭示极轻微至轻度子宫内膜异位症诊断的潜在生物标志物》的更正
Reprod Biol Endocrinol. 2019 Nov 6;17(1):89. doi: 10.1186/s12958-019-0532-5.
4
Protoberberine compounds extracted from Chelidonium majus L. as novel natural photosensitizers for cancer therapy.从白屈菜中提取的原小檗碱类化合物作为新型天然光敏剂用于癌症治疗。
Phytomedicine. 2019 Nov;64:152919. doi: 10.1016/j.phymed.2019.152919. Epub 2019 Apr 9.
5
Berberine inhibits angiogenesis in glioblastoma xenografts by targeting the VEGFR2/ERK pathway.小檗碱通过靶向 VEGFR2/ERK 通路抑制胶质母细胞瘤异种移植物中的血管生成。
Pharm Biol. 2018 Dec;56(1):665-671. doi: 10.1080/13880209.2018.1548627.
6
The Endobiota Study: Comparison of Vaginal, Cervical and Gut Microbiota Between Women with Stage 3/4 Endometriosis and Healthy Controls.内共生体研究:3/4 期子宫内膜异位症患者与健康对照者阴道、宫颈和肠道微生物群的比较。
Sci Rep. 2019 Feb 18;9(1):2204. doi: 10.1038/s41598-019-39700-6.
7
Betaine increases mitochondrial content and improves hepatic lipid metabolism.甜菜碱增加线粒体含量并改善肝脏脂质代谢。
Food Funct. 2019 Jan 22;10(1):216-223. doi: 10.1039/c8fo02004c.
8
Plant-derived medicines for treatment of endometriosis: A comprehensive review of molecular mechanisms.植物药治疗子宫内膜异位症的分子机制:全面综述。
Pharmacol Res. 2019 Jan;139:76-90. doi: 10.1016/j.phrs.2018.11.008. Epub 2018 Nov 6.
9
Berberine Directly Affects the Gut Microbiota to Promote Intestinal Farnesoid X Receptor Activation.小檗碱通过直接作用于肠道微生物群促进法尼醇 X 受体激活。
Drug Metab Dispos. 2019 Feb;47(2):86-93. doi: 10.1124/dmd.118.083691. Epub 2018 Nov 8.
10
Anti-Angiogenic Alternative and Complementary Medicines for the Treatment of Endometriosis: A Review of Potential Molecular Mechanisms.用于治疗子宫内膜异位症的抗血管生成替代和补充药物:潜在分子机制综述
Evid Based Complement Alternat Med. 2018 Oct 1;2018:4128984. doi: 10.1155/2018/4128984. eCollection 2018.