Suppr超能文献

富含玉米黄质二棕榈酸酯的残渣油的超临界流体CO萃取及微胶囊制备

Supercritical Fluid CO Extraction and Microcapsule Preparation of Residue Oil Rich in Zeaxanthin Dipalmitate.

作者信息

Men Yan, Fu Shaoping, Xu Chao, Zhu Yueming, Sun Yuanxia

机构信息

National Engineering Laboratory for Industrial Enzymes, Tianjin Institute of Industrial Biotechnology, Chinese Academy of Sciences, Tianjin 300308, China.

National Technology Innovation Center of Synthetic Biology, Tianjin 300308, China.

出版信息

Foods. 2021 Jun 24;10(7):1468. doi: 10.3390/foods10071468.

Abstract

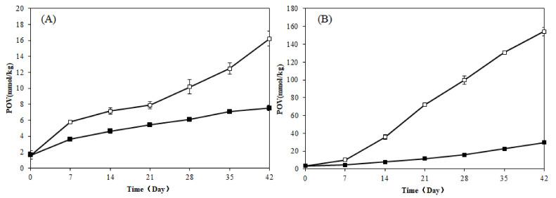
The scope of this investigation aimed at obtaining and stabilizing bioactive products derived from seeds and peels, which were the byproducts in the processing of fruit juice. Zeaxanthin dipalmitate is a major carotenoid, comprising approximately 80% of the total carotenoid content in the seeds and peels. The method of obtainment was supercritical fluid CO extraction, studying different parameters that affect the oil yield and content of zeaxanthin dipalmitate. The optimized protocol to enact successful supercritical fluid CO extraction included optimum extraction pressure of 250 bar, temperature at 60 °C over a time span of 2.0 h, and a CO flow of 30 g/min, together with the use of a cosolvent (2% ethanol). The yields of oil and zeaxanthin dipalmitate under these optimal conditions were 17 g/100 g and 0.08 g/100 g, respectively. The unsaturated fatty acids were primarily linoleic acid (C18:2), oleic acid (C18:1), and γ-linolenic acid (C18:3), with their contents being as high as 91.85 ± 0.27% of the total fatty acids. The extract was a red-colored oil that was consequently microencapsulated through spray-drying with octenylsuccinate starch, gum arabic, and maltodextrin (13.5:7.5:3, /) as wall materials to circumvent lipid disintegration during storage and add to fruit juice in a dissolved form. The mass ratio of core material and wall material was 4:1. These materials exhibited the highest microencapsulation efficiency (92.83 ± 0.13%), with a moisture content of 1.98 ± 0.05% and solubility of 66.22 ± 0.24%. The peroxide content level within the microencapsulated zeaxanthin dipalmitate-rich oil remained at one part per eight in comparison to the unencapsulated oil, following fast-tracked oxidation at 60 °C for 6 weeks. This indicated the potential oxidation stability properties of microcapsule powders. Consequently, this microencapsulated powder has good prospects for development, and can be utilized for a vast spectrum of consumer health and beauty products.

摘要

本研究旨在获取并稳定从种子和果皮中提取的生物活性产品,这些是果汁加工过程中的副产品。玉米黄质二棕榈酸酯是主要的类胡萝卜素,约占种子和果皮中总类胡萝卜素含量的80%。获取方法是超临界流体CO₂萃取,研究影响出油率和玉米黄质二棕榈酸酯含量的不同参数。成功进行超临界流体CO₂萃取的优化方案包括:最佳萃取压力为250巴,温度为60℃,时间为2.0小时,CO₂流速为30克/分钟,以及使用助溶剂(2%乙醇)。在这些最佳条件下,油和玉米黄质二棕榈酸酯的产量分别为17克/100克和0.08克/100克。不饱和脂肪酸主要是亚油酸(C18:2)、油酸(C18:1)和γ-亚麻酸(C18:3),其含量高达总脂肪酸的91.85±0.27%。提取物是一种红色油状物,因此通过喷雾干燥用辛烯基琥珀酸淀粉、阿拉伯胶和麦芽糊精(13.5:7.5:3,/)作为壁材进行微胶囊化,以避免储存期间脂质分解并以溶解形式添加到果汁中。芯材与壁材的质量比为4:1。这些材料表现出最高的微胶囊化效率(92.83±0.13%),水分含量为1.98±0.05%,溶解度为66.22±0.24%。与未包封的油相比,在60℃快速氧化6周后,微胶囊化富含玉米黄质二棕榈酸酯的油中的过氧化物含量水平保持在八分之一。这表明微胶囊粉末具有潜在的氧化稳定性。因此,这种微胶囊粉末具有良好的开发前景,可用于多种消费健康和美容产品。

https://cdn.ncbi.nlm.nih.gov/pmc/blobs/3e21/8306551/31bbb57cf311/foods-10-01468-g001.jpg

文献检索

告别复杂PubMed语法,用中文像聊天一样搜索,搜遍4000万医学文献。AI智能推荐,让科研检索更轻松。

立即免费搜索

文件翻译

保留排版,准确专业,支持PDF/Word/PPT等文件格式,支持 12+语言互译。

免费翻译文档

深度研究

AI帮你快速写综述,25分钟生成高质量综述,智能提取关键信息,辅助科研写作。

立即免费体验