Suppr超能文献

在人结肠癌小鼠模型中,二甲双胍在体外和体内均可增强分泌人可溶性肿瘤坏死因子相关凋亡诱导配体(TRAIL)的细菌的抗肿瘤作用。

The Anti-Tumor Effect of Bacteria-Secreting Human Soluble TRAIL Can Be Enhanced by Metformin Both In Vitro and In Vivo in a Mouse Model of Human Colorectal Cancer.

作者信息

Kaczmarek Katarzyna, Więckiewicz Jerzy, Węglarczyk Kazimierz, Siedlar Maciej, Baran Jarek

机构信息

Department of Clinical Immunology, Institute of Pediatrics, Jagiellonian University Medical College, Wielicka Str. 265, 30-663 Kraków, Poland.

出版信息

Cancers (Basel). 2021 Jun 15;13(12):3004. doi: 10.3390/cancers13123004.

Abstract

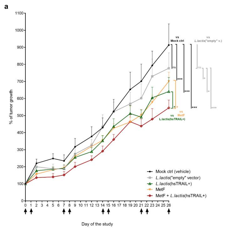
(TRAIL) induces apoptosis of many cancer cells, including CRC cells, being non-harmful for normal ones. However, recombinant form of human TRAIL failed in clinical trial when administered intravenously. To assess the importance of TRAIL in CRC patients, new form of TRAIL delivery would be required. Here we used genetically modified, non-pathogenic bacteria as a vehicle for local delivery of human soluble TRAIL (hsTRAIL) in CRC. Operating under the Nisin Controlled Gene Expression System (NICE), the modified bacteria ((hsTRAIL+)) were able to induce cell death of HCT116 and SW480 human cancer cells and reduce the growth of HCT116-tumor spheres in vitro. This effect was cancer cell specific as the cells of normal colon epithelium (FHC cells) were not affected by hsTRAIL-producing bacteria. Metformin (MetF), 5-fluorouracil (5-FU) and irinotecan (CPT-11) enhanced the anti-tumor actions of hsTRAIL in vitro. In the NOD-SCID mouse model, treatment of subcutaneous HCT116-tumors with (hsTRAIL+) bacteria given intratumorally, significantly reduced the tumor growth. This anti-tumor activity of hsTRAIL in vivo was further enhanced by oral administration of MetF. These findings indicate that bacteria could be suitable for local delivery of biologically active human proteins. At the same time, we documented that anti-tumor activity of hsTRAIL in experimental therapy of CRC can be further enhanced by MetF given orally, opening a venue for alternative CRC-treatment strategies.

摘要

肿瘤坏死因子相关凋亡诱导配体(TRAIL)可诱导包括结直肠癌细胞在内的多种癌细胞凋亡,而对正常细胞无害。然而,重组人TRAIL静脉给药的临床试验失败了。为了评估TRAIL在结直肠癌患者中的重要性,需要新的TRAIL递送形式。在这里,我们使用基因改造的非致病性细菌作为载体,在结直肠癌中局部递送人可溶性TRAIL(hsTRAIL)。在乳酸乳球菌双组分调控表达系统(NICE)的控制下,改造后的细菌((hsTRAIL+))能够诱导HCT116和SW480人癌细胞死亡,并在体外抑制HCT116肿瘤球的生长。这种作用具有癌细胞特异性,因为正常结肠上皮细胞(FHC细胞)不受产生hsTRAIL细菌的影响。二甲双胍(MetF)、5-氟尿嘧啶(5-FU)和伊立替康(CPT-11)在体外增强了hsTRAIL的抗肿瘤作用。在NOD-SCID小鼠模型中,瘤内注射(hsTRAIL+)细菌治疗皮下HCT116肿瘤,显著降低了肿瘤生长。口服MetF进一步增强了hsTRAIL在体内的这种抗肿瘤活性。这些发现表明,细菌可能适合局部递送生物活性人蛋白。同时,我们证明了口服MetF可进一步增强hsTRAIL在结直肠癌实验治疗中的抗肿瘤活性,为结直肠癌治疗的替代策略开辟了道路。

https://cdn.ncbi.nlm.nih.gov/pmc/blobs/5128/8232584/02c4c154e730/cancers-13-03004-g001.jpg

文献AI研究员

20分钟写一篇综述,助力文献阅读效率提升50倍。

立即体验

用中文搜PubMed

大模型驱动的PubMed中文搜索引擎

马上搜索

文档翻译

学术文献翻译模型,支持多种主流文档格式。

立即体验