Burcher Kimberly M, Faucheux Andrew T, Lantz Jeffrey W, Wilson Harper L, Abreu Arianne, Salafian Kiarash, Patel Manisha J, Song Alexander H, Petro Robin M, Lycan Thomas, Furdui Cristina M, Topaloglu Umit, D'Agostino Ralph B, Zhang Wei, Porosnicu Mercedes
Wake Forest Baptist Medical Center, Winston-Salem, NC 27157, USA.
University of Kentucky Medical Center, Lexington, KY 40536, USA.
Cancers (Basel). 2021 Jun 22;13(13):3118. doi: 10.3390/cancers13133118.
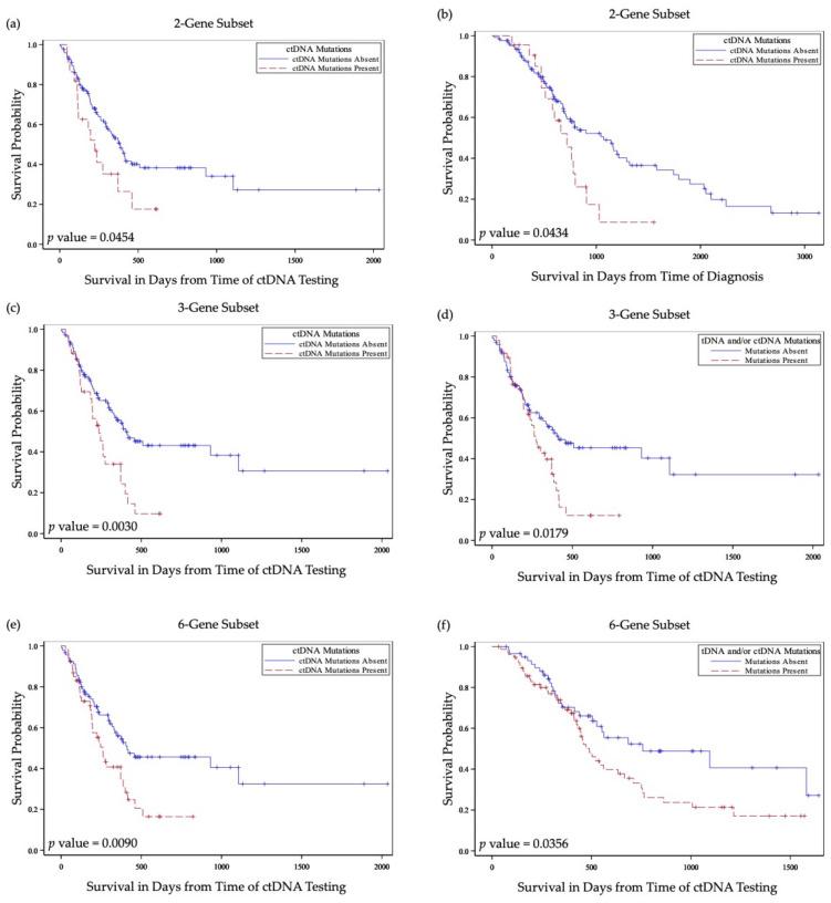
PARP inhibitors are currently approved for a limited number of cancers and targetable mutations in DNA damage repair (DDR) genes. In this single-institution retrospective study, the profiles of 170 patients with head and neck squamous cell cancer (HNSCC) and available tumor tissue DNA (tDNA) and circulating tumor DNA (ctDNA) results were analyzed for mutations in a set of 18 DDR genes as well as in gene subsets defined by technical and clinical significance. Mutations were correlated with demographic and outcome data. The addition of ctDNA to the standard tDNA analysis contributed to identification of a significantly increased incidence of patients with mutations in one or more genes in each of the study subsets of DDR genes in groups of patients older than 60 years, patients with laryngeal primaries, patients with advanced stage at diagnosis and patients previously treated with chemotherapy and/or radiotherapy. Patients with DDR gene mutations were found to be significantly less likely to have primary tumors within the in oropharynx or HPV-positive disease. Patients with ctDNA mutations in all subsets of DDR genes analyzed had significantly worse overall survival in univariate and adjusted multivariate analysis. This study underscores the utility of ctDNA analysis, alone, and in combination with tDNA, for defining the prevalence and the role of DDR gene mutations in HNSCC. Furthermore, this study fosters research promoting the utilization of PARP inhibitors in HNSCC precision oncology treatments.
聚(ADP-核糖)聚合酶(PARP)抑制剂目前仅被批准用于治疗少数几种癌症以及DNA损伤修复(DDR)基因中的可靶向突变。在这项单机构回顾性研究中,分析了170例头颈部鳞状细胞癌(HNSCC)患者的资料以及可用的肿瘤组织DNA(tDNA)和循环肿瘤DNA(ctDNA)结果,以检测一组18个DDR基因以及按技术和临床意义定义的基因亚组中的突变情况。将突变与人口统计学和预后数据进行关联分析。在标准tDNA分析中加入ctDNA有助于发现,在60岁以上患者组、喉原发性肿瘤患者组、诊断时处于晚期的患者组以及先前接受过化疗和/或放疗的患者组中,每个DDR基因研究亚组中一个或多个基因发生突变的患者发生率显著增加。研究发现,DDR基因突变的患者在口咽内发生原发性肿瘤或患人乳头瘤病毒(HPV)阳性疾病的可能性显著降低。在所有分析的DDR基因亚组中,ctDNA发生突变的患者在单变量和校正多变量分析中的总生存期均显著较差。本研究强调了单独进行ctDNA分析以及将其与tDNA分析相结合,对于确定DDR基因突变在HNSCC中的患病率及其作用的实用性。此外,本研究推动了促进PARP抑制剂在HNSCC精准肿瘤治疗中应用的研究。